|
Literature for DOID 1564: fungal infectious disease
Xenbase Articles
(
|
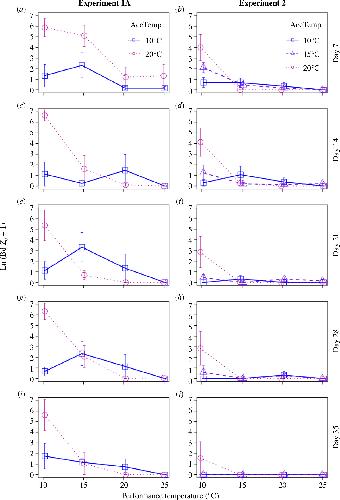
Dynamic effects of thermal acclimation on chytridiomycosis infection intensity and transmission potential in Xenopus laevis.,
Noelker JE,Abreu Ruozzi V,Spengler KD,Craig HM,Raffel TR,
R Soc Open Sci. September 11, 2024; 11(9):2054-5703.
|
