|
Literature for DOID 1062: Fanconi syndrome
Xenbase Articles
(
|
Multistep mechanism of G-quadruplex resolution during DNA replication.,
Sato K,Martin-Pintado N,Post H,Altelaar M,Knipscheer P,
Sci Adv. September 24, 2021; 7(39):2375-2548.
|
|
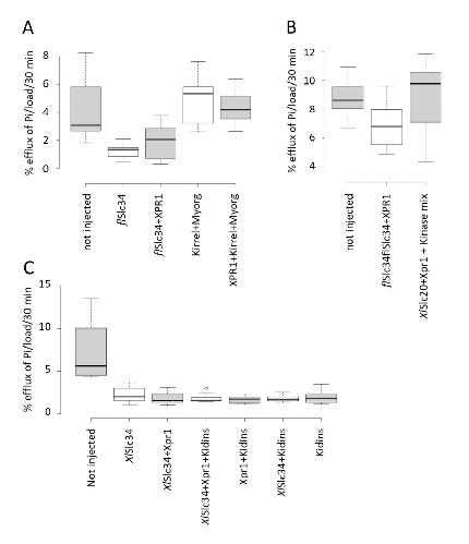
XPR1: a regulator of cellular phosphate homeostasis rather than a Pi exporter.,
Burns D,Berlinguer-Palmini R,Werner A,
Pflugers Arch. March 20, 2024; :1432-2013.
|
