Click here to close Hello! We notice that you are using Internet Explorer, which is not supported by Xenbase and may cause the site to display incorrectly. We suggest using a current version of Chrome, FireFox, or Safari.
Summary Literature (8)
Literature for DOID 0050696: fetal alcohol spectrum disorder


Xenbase Articles :
( Denotes literature images)
Ethanol exposure affects gene expression in the embryonic organizer and reduces retinoic acid levels., Yelin R,Schyr RB,Kot H,Zins S,Frumkin A,Pillemer G,Fainsod A, Dev Biol. March 1, 2005; 279(1):1095-564X.
Craniofacial malformation in Xenopus laevis tadpoles caused by the exposure of early embryos to ethanol., Nakatsuji N, Teratology. October 1, 1983; 28(2):0040-3709.
Early molecular effects of ethanol during vertebrate embryogenesis., Yelin R,Kot H,Yelin D,Fainsod A, Differentiation. June 1, 2007; 75(5):1432-0436.
The different effects on cranial and trunk neural crest cell behaviour following exposure to a low concentration of alcohol in vitro., Czarnobaj J,Bagnall KM,Bamforth JS,Milos NC, Arch Oral Biol. May 1, 2014; 59(5):1879-1506.
5-Mehtyltetrahydrofolate rescues alcohol-induced neural crest cell migration abnormalities., Shi Y,Shi Y,Li J,Chen C,Gong M,Chen Y,Liu Y,Chen J,Li T,Song W, Mol Brain. September 16, 2014; 7:1756-6606.
A review of interventions against fetal alcohol spectrum disorder targeting oxidative stress., Zhang Y,Zhang Y,Wang H,Li Y,Peng Y, Int J Dev Neurosci. December 1, 2018; 71:0736-5748.
Genetically programmed retinoic acid deficiency during gastrulation phenocopies most known developmental defects due to acute prenatal alcohol exposure in FASD., Petrelli B,Oztürk A,Pind M,Ayele H,Fainsod A,Hicks GG, Front Cell Dev Biol. January 1, 2023; 11:2296-634X.
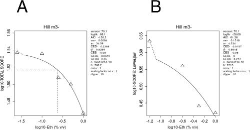
Use of the alternative test R-FETAX (Refined-Frog Embryo Teratogenicity Assay-Xenopus) to evaluate the Fetal Alcohol Spectrum Disorders (FASD)., Battistoni M,Di Renzo F,Metruccio F,Bacchetta R,Menegola E, Reprod Toxicol. May 17, 2025; 134:1873-1708.