Click here to close
Hello! We notice that you are using Internet Explorer, which is not supported by Xenbase and may cause the site to display incorrectly.
We suggest using a current version of Chrome,
FireFox, or Safari.
ATP-dependent adenophostin activation of inositol 1,4,5-trisphosphate receptor channel gating: kinetic implications for the durations of calcium puffs in cells.
Mak DO
,
McBride S
,
Foskett JK
.
???displayArticle.abstract???
The inositol 1,4,5-trisphosphate (InsP(3)) receptor (InsP(3)R) is a ligand-gated intracellular Ca(2+) release channel that plays a central role in modulating cytoplasmic free Ca(2+) concentration ([Ca(2+)](i)). The fungal metabolite adenophostin A (AdA) is a potent agonist of the InsP(3)R that is structurally different from InsP(3) and elicits distinct calcium signals in cells. We have investigated the effects of AdA and its analogues on single-channel activities of the InsP(3)R in the outer membrane of isolated Xenopus laevis oocyte nuclei. InsP(3)R activated by either AdA or InsP(3) have identical channel conductance properties. Furthermore, AdA, like InsP(3), activates the channel by tuning Ca(2+) inhibition of gating. However, gating of the AdA-liganded InsP(3)R has a critical dependence on cytoplasmic ATP free acid concentration not observed for InsP(3)-liganded channels. Channel gating activated by AdA is indistinguishable from that elicited by InsP(3) in the presence of 0.5 mM ATP, although the functional affinity of the channel is 60-fold higher for AdA. However, in the absence of ATP, gating kinetics of AdA-liganded InsP(3)R were very different. Channel open time was reduced by 50%, resulting in substantially lower maximum open probability than channels activated by AdA in the presence of ATP, or by InsP(3) in the presence or absence of ATP. Also, the higher functional affinity of InsP(3)R for AdA than for InsP(3) is nearly abolished in the absence of ATP. Low affinity AdA analogues furanophostin and ribophostin activated InsP(3)R channels with gating properties similar to those of AdA. These results provide novel insights for interpretations of observed effects of AdA on calcium signaling, including the mechanisms that determine the durations of elementary Ca(2+) release events in cells. Comparisons of single-channel gating kinetics of the InsP(3)R activated by InsP(3), AdA, and its analogues also identify molecular elements in InsP(3)R ligands that contribute to binding and activation of channel gating.
Figure 1. Molecular structures of various InsP3R-binding ligands.
Figure 2. Typical single-channel current traces of X-InsP3R-1 in various [Ca2+]i, activated by InsP3 or AdA as indicated. Arrows indicate the closed channel current levels. (A) In the presence of 0.5 mM ATP. (B) In the absence of ATP.
Figure 3. [Ca2+]i dependence of the Po of the X-InsP3R-1 channel in the presence of 0.5 mM ATP, activated by AdA or InsP3 (Mak and Foskett 1998). The solid and dashed curves are theoretical fits by the Hill equation () of the Po data from [AdA] = 100 nM and 0.5 nM, respectively.
Figure 4. [Ca2+]i dependence of the Po of the X-InsP3R-1 channel in the absence of ATP, activated by saturating (10 μM) or subsaturating (33 nM) concentrations of InsP3. The solid and dashed curves are theoretical fits by the Hill equation () of the Po data.
Figure 5. [Ca2+]i dependence of the Po of the X-InsP3R-1 channel activated by saturating concentrations of ligands in the presence or absence of ATP. (A) 10 μM InsP3; (B) 100 nM AdA. The solid and dashed curves are theoretical fits by the Hill equation () of the data in 0 or 0.5 mM of ATP, respectively.
Figure 6. [Ca2+]i dependence of the Po of the X-InsP3R-1 channel activated by AdA or InsP3 in the absence of ATP. The solid and dashed curves are theoretical fits by the Hill equation () of the Po data from [InsP3] = 10 μM and [AdA] = 100 nM, respectively.
Figure 7. [Ca2+]i dependence of the Po of the X-InsP3R-1 channel in the absence of ATP, activated by saturating (100 nM) or subsaturating (20 nM) concentrations of AdA. The solid and dashed curves are theoretical fits by the Hill equation () of the Po data. Note that the scale of the Po axis is different from that in the previous Po versus [Ca2+]i graphs.
Figure 8. Typical single-channel current traces of the X-InsP3R-1 activated by 10 μM Fur or Rib. In 0.5 mM ATP (+ ATP), [Ca2+]i = 5.0 μM. In the absence of ATP (0 ATP), [Ca2+]i = 6.2 μM. The arrows indicate the closed channel current levels.
Figure 9. Po of the X-InsP3R-1 channel in optimal [Ca2+]i (4.4–6.2 μM) and saturating concentrations of various ligands in 0 (white bars) and 0.5 mM (shaded bars) ATP.
Figure 10. [Ca2+]i dependencies of the mean open (〈τo〉) and closed (〈τc〉) dwell times of the X-InsP3R-1 channel. In the 〈τc〉 graphs, data points from the same experimental conditions are connected with solid or dashed lines for clarity. (A) Channel activated by AdA or InsP3 (Mak and Foskett 1998), in 0.5 mM ATP. (B) Channel activated by saturating (10 μM) or subsaturating (33 nM) concentrations of InsP3 in the absence of ATP. (C) Channel activated by saturating (100 nM) or subsaturating (20 nM) concentrations of AdA in the absence of ATP.
Figure 11. Open and closed dwell time histograms of the X-InsP3R-1 channel in 0.5 mM ATP and various [Ca2+]i, activated by saturating concentrations of InsP3 (10 μM) or AdA (100 nM). The smooth curves are the pdf. The time constant and relative weight of each exponential component of the pdf are tabulated next to the corresponding peak in the curves. [Ca2+]i used in each of the analyzed experiments and its Po are tabulated next to the corresponding graphs.
Figure 12. Open and closed dwell time histograms of the X-InsP3R-1 channel in the absence of ATP and various [Ca2+]i, activated by saturating concentrations of InsP3 (10 μM) or AdA (100 nM). The smooth curves are the pdf. The time constant and relative weight of each exponential component of the pdf are tabulated next to the corresponding peak in the curves. [Ca2+]i used in each of the analyzed experiments and its Po are tabulated next to the corresponding graphs.
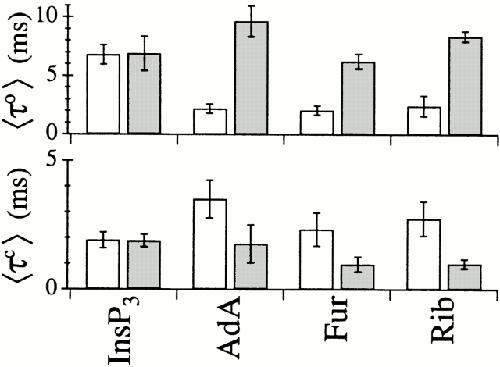
Figure 13. 〈τc〉 and 〈τo〉 of X-InsP3R-1 channels in optimal [Ca2+]i (4.4–6.2 μM) and saturating concentrations of various ligands in 0 (white bars) and 0.5 mM (shaded bars) ATP.
Figure 14. Schematic diagrams representing interactions between the X-InsP3R-1 molecule and various ligands. (A) Interaction between X-InsP3R-1 and InsP3 in the presence of ATP. (B) Interaction between X-InsP3R-1 and AdA in the presence of ATP. (C) Interaction of X-InsP3R-1 and InsP3 in the absence of ATP. (D) Interaction of X-InsP3R-1 and AdA in the absence of ATP.
Adkins,
Ca2+-calmodulin inhibits Ca2+ release mediated by type-1, -2 and -3 inositol trisphosphate receptors.
2000, Pubmed
Adkins,
Ca2+-calmodulin inhibits Ca2+ release mediated by type-1, -2 and -3 inositol trisphosphate receptors.
2000,
Pubmed
Baudet,
How to make and use calcium-specific mini- and microelectrodes.
1994,
Pubmed
Beecroft,
Acyclophostin: a ribose-modified analog of adenophostin A with high affinity for inositol 1,4,5-trisphosphate receptors and pH-dependent efficacy.
1999,
Pubmed
Berridge,
Elementary and global aspects of calcium signalling.
1997,
Pubmed
Bezprozvanny,
ATP modulates the function of inositol 1,4,5-trisphosphate-gated channels at two sites.
1993,
Pubmed
Bezprozvanny,
Bell-shaped calcium-response curves of Ins(1,4,5)P3- and calcium-gated channels from endoplasmic reticulum of cerebellum.
1991,
Pubmed
Bird,
Adenophostin A induces spatially restricted calcium signaling in Xenopus laevis oocytes.
1999,
Pubmed
,
Xenbase
Bootman,
The elemental principles of calcium signaling.
1995,
Pubmed
Broad,
Role of the inositol 1,4,5-trisphosphate receptor in Ca(2+) feedback inhibition of calcium release-activated calcium current (I(crac)).
1999,
Pubmed
DeLisle,
Adenophostin A can stimulate Ca2+ influx without depleting the inositol 1,4,5-trisphosphate-sensitive Ca2+ stores in the Xenopus oocyte.
1997,
Pubmed
,
Xenbase
Ferris,
Calcium flux mediated by purified inositol 1,4,5-trisphosphate receptor in reconstituted lipid vesicles is allosterically regulated by adenine nucleotides.
1990,
Pubmed
Finch,
Calcium as a coagonist of inositol 1,4,5-trisphosphate-induced calcium release.
1991,
Pubmed
Flatman,
Mechanisms of magnesium transport.
1991,
Pubmed
Glouchankova,
Association of the inositol (1,4,5)-trisphosphate receptor ligand binding site with phosphatidylinositol (4,5)-bisphosphate and adenophostin A.
2000,
Pubmed
Gregory,
Evidence for the involvement of a small subregion of the endoplasmic reticulum in the inositol trisphosphate receptor-induced activation of Ca2+ inflow in rat hepatocytes.
1999,
Pubmed
Hagar,
Regulation of the type III InsP(3) receptor by InsP(3) and ATP.
2000,
Pubmed
Hajnóczky,
The inositol trisphosphate calcium channel is inactivated by inositol trisphosphate.
1994,
Pubmed
Hartzell,
Effects of adenophostin-A and inositol-1,4,5-trisphosphate on Cl- currents in Xenopus laevis oocytes.
1997,
Pubmed
,
Xenbase
Hartzell,
Activation of different Cl currents in Xenopus oocytes by Ca liberated from stores and by capacitative Ca influx.
1996,
Pubmed
,
Xenbase
He,
Isoforms of the inositol 1,4,5-trisphosphate receptor are expressed in bovine oocytes and ovaries: the type-1 isoform is down-regulated by fertilization and by injection of adenophostin A.
1999,
Pubmed
Hirota,
Adenophostin-medicated quantal Ca2+ release in the purified and reconstituted inositol 1,4,5-trisphosphate receptor type 1.
1995,
Pubmed
Hotoda,
Molecular recognition of adenophostin, a very potent Ca2+ inducer, at the D-myo-inositol 1,4,5-trisphosphate receptor.
1999,
Pubmed
Huang,
Effect of adenophostin A on Ca2+ entry and calcium release-activated calcium current (Icrac) in rat basophilic leukemia cells.
1998,
Pubmed
,
Xenbase
Iino,
Effects of adenine nucleotides on inositol 1,4,5-trisphosphate-induced calcium release in vascular smooth muscle cells.
1991,
Pubmed
Iino,
Biphasic Ca2+ dependence of inositol 1,4,5-trisphosphate-induced Ca release in smooth muscle cells of the guinea pig taenia caeci.
1990,
Pubmed
Irvine,
Specificity of inositol trisphosphate-induced calcium release from permeabilized Swiss-mouse 3T3 cells.
1984,
Pubmed
Jellerette,
Down-regulation of the inositol 1,4,5-trisphosphate receptor in mouse eggs following fertilization or parthenogenetic activation.
2000,
Pubmed
Kashiwayanagi,
Inositol 1,4,5-trisphosphate and adenophostin analogues induce responses in turtle olfactory sensory neurons.
2000,
Pubmed
Kume,
The Xenopus IP3 receptor: structure, function, and localization in oocytes and eggs.
1993,
Pubmed
,
Xenbase
Kuruma,
Dynamics of calcium regulation of chloride currents in Xenopus oocytes.
1999,
Pubmed
,
Xenbase
Lacampagne,
Two mechanisms for termination of individual Ca2+ sparks in skeletal muscle.
2000,
Pubmed
Landolfi,
Ca2+ homeostasis in the agonist-sensitive internal store: functional interactions between mitochondria and the ER measured In situ in intact cells.
1998,
Pubmed
Machaca,
Adenophostin A and inositol 1,4,5-trisphosphate differentially activate Cl- currents in Xenopus oocytes because of disparate Ca2+ release kinetics.
1999,
Pubmed
,
Xenbase
Maeda,
Structural and functional characterization of inositol 1,4,5-trisphosphate receptor channel from mouse cerebellum.
1991,
Pubmed
Maes,
Differential modulation of inositol 1,4,5-trisphosphate receptor type 1 and type 3 by ATP.
2000,
Pubmed
Maes,
Adenine-nucleotide binding sites on the inositol 1,4,5-trisphosphate receptor bind caffeine, but not adenophostin A or cyclic ADP-ribose.
1999,
Pubmed
Mak,
Effects of divalent cations on single-channel conduction properties of Xenopus IP3 receptor.
1998,
Pubmed
,
Xenbase
Mak,
Inositol 1,4,5-trisphosphate [correction of tris-phosphate] activation of inositol trisphosphate [correction of tris-phosphate] receptor Ca2+ channel by ligand tuning of Ca2+ inhibition.
1998,
Pubmed
,
Xenbase
Mak,
Single-channel kinetics, inactivation, and spatial distribution of inositol trisphosphate (IP3) receptors in Xenopus oocyte nucleus.
1997,
Pubmed
,
Xenbase
Mak,
Single-channel inositol 1,4,5-trisphosphate receptor currents revealed by patch clamp of isolated Xenopus oocyte nuclei.
1994,
Pubmed
,
Xenbase
Mak,
ATP regulation of type 1 inositol 1,4,5-trisphosphate receptor channel gating by allosteric tuning of Ca(2+) activation.
1999,
Pubmed
,
Xenbase
Marchant,
Disaccharide polyphosphates based upon adenophostin A activate hepatic D-myo-inositol 1,4,5-trisphosphate receptors.
1997,
Pubmed
Marchant,
Kinetics of elementary Ca2+ puffs evoked in Xenopus oocytes by different Ins(1,4,5)P3 receptor agonists.
1998,
Pubmed
,
Xenbase
Marx,
Coupled gating between individual skeletal muscle Ca2+ release channels (ryanodine receptors).
1998,
Pubmed
Meyer,
Highly cooperative opening of calcium channels by inositol 1,4,5-trisphosphate.
1988,
Pubmed
Mignery,
Putative receptor for inositol 1,4,5-trisphosphate similar to ryanodine receptor.
1989,
Pubmed
Mikoshiba,
Inositol 1,4,5-trisphosphate receptor.
1993,
Pubmed
Missiaen,
Functional properties of the type-3 InsP3 receptor in 16HBE14o- bronchial mucosal cells.
1998,
Pubmed
Missiaen,
Effect of adenine nucleotides on myo-inositol-1,4,5-trisphosphate-induced calcium release.
1997,
Pubmed
Murphy,
Structural analogues of D-myo-inositol-1,4,5-trisphosphate and adenophostin A: recognition by cerebellar and platelet inositol-1,4,5-trisphosphate receptors.
1997,
Pubmed
Niggli,
Localized intracellular calcium signaling in muscle: calcium sparks and calcium quarks.
1999,
Pubmed
Parker,
Inhibition by Ca2+ of inositol trisphosphate-mediated Ca2+ liberation: a possible mechanism for oscillatory release of Ca2+.
1990,
Pubmed
,
Xenbase
Sigworth,
Data transformations for improved display and fitting of single-channel dwell time histograms.
1987,
Pubmed
Stern,
Theory of excitation-contraction coupling in cardiac muscle.
1992,
Pubmed
Stern,
Local control models of cardiac excitation-contraction coupling. A possible role for allosteric interactions between ryanodine receptors.
1999,
Pubmed
Sun,
A continuum of InsP3-mediated elementary Ca2+ signalling events in Xenopus oocytes.
1998,
Pubmed
,
Xenbase
Takahashi,
Adenophostins, newly discovered metabolites of Penicillium brevicompactum, act as potent agonists of the inositol 1,4,5-trisphosphate receptor.
1994,
Pubmed
Thomas,
Hormone-evoked elementary Ca2+ signals are not stereotypic, but reflect activation of different size channel clusters and variable recruitment of channels within a cluster.
1998,
Pubmed
Toescu,
Temporal and spatial heterogeneities of Ca2+ signaling: mechanisms and physiological roles.
1995,
Pubmed
Vanlingen,
Ca2+ and calmodulin differentially modulate myo-inositol 1,4, 5-trisphosphate (IP3)-binding to the recombinant ligand-binding domains of the various IP3 receptor isoforms.
2000,
Pubmed
Wilcox,
2-Hydroxyethyl alpha-D-glucopyranoside 2,3',4'-trisphosphate: a novel metabolically resistant adenophostin A and myo-inositol 1,4,5-trisphosphate analogue potently interacts with the myo-inositol 1,4,5-trisphosphate receptor.
1995,
Pubmed
Yao,
Quantal puffs of intracellular Ca2+ evoked by inositol trisphosphate in Xenopus oocytes.
1995,
Pubmed
,
Xenbase