|
Figure 1. . Conservation of four amino acid residues critical for inward rectification among the inward rectifier K+ channel family. (A) Alignment of the amino acid sequences of the inwardly rectifying K+ channel family at D172, E224, E299, and E165 of Kir2.1 and the surrounding region. The original reports used for the alignment are as follows. Kir 2.1 (Kubo et al., 1993a), Kir 2.2 (Koyama et al., 1994), Kir 3.1 (Kubo et al., 1993b), Kir 3.2 (Lesage et al., 1994), Kir 6.1 (Inagaki et al., 1995a), Kir 6.2 (Inagaki et al., 1995b), Kir 1.1 (Ho et al., 1993), Kir 4.1 (Bond et al., 1994; Takumi et al., 1995), and sWIRK (Kubo et al., 1996). (B) Schematic diagram of the structure of Kir2.1 based on the initial model by Kubo et al. (1993a). Both D172 and S165L are located within the α-helix of the second transmembrane region (M2). E224, situated just after M2, and E299, situated at the center of the putative cytoplasmic chain after M2, are also depicted.
|
|
Figure 2. . Comparison of macroscopic currents through wild-type and mutant Kir2.1 expressed in Xenopus oocytes. (A) Macroscopic currents recorded using two-electrode voltage clamp with Xenopus oocytes expressing wild-type Kir2.1 or S165L, D172N, D172N, & S165L double mutant, D172N & E224G & E299S triple mutant, or triple mutant & S165L. Representative current traces recorded in 10 mM K+o. The holding potential was −50 mV; step pulses from 50 to −160 mV were applied in 10-mV decrements. (B) I-V relationships for the data in A; values were measured 50 ms after the onset each step pulse. (C) Conductance-voltage (G-V) relationship for the data in B.
|
|
Figure 3. . Macroscopic currents recorded by two-electrode voltage-clamp of Xenopus oocytes expressing various mutants in which S165 in the D172N & E224G & E299Q triple Kir2.1 mutant was substituted with E, D, T, G, or L. The data were recorded and analyzed as in Fig. 2.
|
|
Figure 4. . Inward rectification of currents through wild-type and mutant Kir2.1. (A and B) The ratios of the current amplitudes measured 50 ms after the onset of step pulses to 50 and −100 mV were calculated as an index of rectification intensity. Bars depict means ± SD (n = 4 of each group). A and B reflect the data shown in Figs. 2 and 3, respectively.
|
|
Figure 5. . Macroscopic currents recorded in the presence of the indicated concentrations of spermine from excised patches of HEK293T cells expressing wild-type or mutant Kir2.1. Note the difference in concentration ranges used for wild-type and S165L (0.01, 0.1, and 1 μM), D172N and D172N & S165L (0.1, 1, and 10 μM), and D172N & E224G & E299Q and D172N & E224G & E299Q & S165L (1, 10, and 100 μM) channels. K+o and K+i were 20 and 140 mM, respectively. The holding potential was −50 mV, and step pulses from 40 to −120 mV were applied in 10-mV decrements.
|
|
Figure 6. . Comparison of the susceptibility of macroscopic currents through wild-type and mutant Kir2.1 to blockade by intracellular spermine. (A) Normalized I-V relationships; values were measured 3 s after the onset of each step pulse. Current amplitudes were normalized to the values at −90 mV. The symbols stand for spermine concentrations of 0 μM (○), 0.01 μM (▴), 0.1 μM (□), 1 μM (•) 10 μM (+) and 100 μM (▪). (B) Concentration-response relationships for spermine blockade of outward K+ currents at −10 mV (left) and 30 mV (right). A rectification index was calculated first as the ratio of the current amplitudes at −10 mV or 30 mV to that at −90 mV. A value of 1 was then set as 100% for the data at −10 mV (left), and a value of 2 was set as 100% for the data at +30 mV (right). Symbols depict means ± SD (n = 3–7) for wild-type (•), S165L (○), D172N (▴), D172N & S165L (▵), triple mutant (▪), and triple mutant & S165L (□) channels. Solid lines (S165) and dotted lines (with S165L mutation) are curves fitted to Hill's equation.
|
|
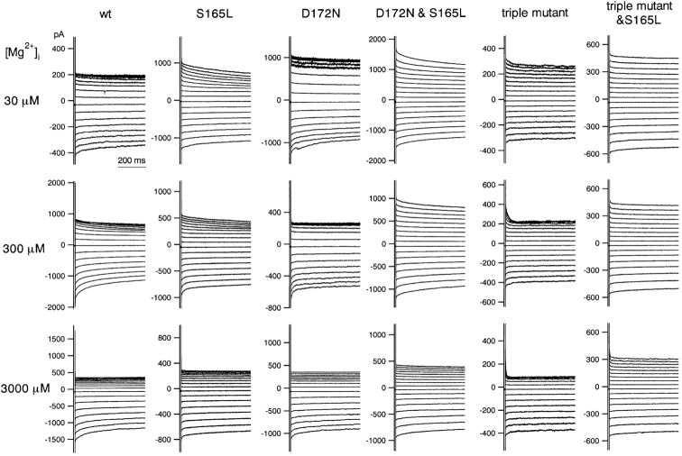
Figure 7. . Macroscopic currents recorded in the presence of the indicated concentrations of intracellular Mg2+ from excised patches of HEK293T cells expressing wild-type and mutant Kir2.1. The concentrations of Mg2+i are shown on the left. K+o in the pipette was 20 mM, and K+i in the bath was 140 mM. The calculated EK was −49 mV. The holding potential was −50 mV, and step pulses from 40 to −120 mV were applied in 10-mV decrements.
|
|
Figure 8. . Comparison of the susceptibility of macroscopic currents through wild-type and mutant Kir2.1 to blockade by intracellular Mg2+. (A) Normalized I-V relationships. Values were measured 500 ms after the onset of each step pulse. The symbols stand for Mg2+ concentrations of: 0 μM (•), 3 μM (+), 30 μM (▪), 300 μM (○), and 3,000 μM (▴). The current amplitudes were normalized to the values at −90 mV. (B) Dose–response relationships for Mg2+i blockade of outward K+ currents at −10 mV (○) and at 30 mV (•). The rectification index was calculated first as the ratio of the current amplitudes at −10 or 30 mV to that at −90 mV. A value of 1 was set as 100% for the data at −10 mV, and a value of 2 was set for the data at 30 mV. Symbols depict means ± SD (n = 3–7). To improve the fitting, the rectification index of 1.75 at 30 mV was set as 100% in the case of the D172N mutant, and 2.25 was set as 100% in the case of the triple & S165L mutant. This is thought to be because of changes in rectification properties in the absence of blockers.
|
|
Figure 9. . Comparison of macroscopic K+ and Rb+ currents through wild-type and mutant Kir2.1. (A and B) Currents recorded using two-electrode voltage clamp with Xenopus oocytes expressing wild-type and mutant Kir2.1 in the presence of either 10 mM K+ and 80 mM NMG (A) or 10 mM Rb+ and 80 mM NMG (B). The holding potential was −50 mV, and step pulses from 50 to −160 mV were applied in 10-mV decrements. (C) I-V relationships determined from the data in (A) and (B); values are current amplitudes measured 50 ms after the onset of each step pulse in 10 mM K+ (○) and 10 mM Rb+ (▪).
|
|
Figure 10. . Comparison of Erev (K+o) and Erev (Rb+o) between wild-type and mutant Kir2.1. (A and B) Macroscopic current recordings under inside-out patch clamp from HEK293T cells expressing wild-type Kir2.1 or the mutants in the absence of Mg2+i and spermine. The extracellular solutions contained 20 mM K+ (A) or 20 mM Rb+ (B). The holding potential was −50 mV, and ramp pulses from −150 to 50 mV for 800 ms were applied. Recordings from −130 to 30 mV were shown in the insets, and the ranges between −90 and −30 mV were enlarged to demonstrate the reversal potentials clearly.
|
|
Figure 11. . Quantitative comparison of Rb+ permeance and the permeability ratio of Rb+ and K+ of wild-type Kir2.1 and the mutants. (A) The Rb+/K+ ratios of current amplitudes at −120 mV were calculated from the data in Fig. 9 C; means ± SD (n = 7–12 of each group) and values of P (Student's unpaired t tests) are shown. (B) Means and SD (n = 3–5 of each group) of reversal potentials shown in Fig. 10. The open and filled symbols show values of Erev(K+o) and Erev(Rb+o), respectively. The P values (Student's unpaired t tests) are also indicated.
|
|
Figure 12. . Comparison of single-channel currents through the wild-type Kir2.1 and the mutants. (A) Representative single-channel currents recorded from Xenopus oocytes using the cell-attached patch configuration. The K+o in the pipette and in the bath were 140 mM. The holding potential for the displayed recordings were −80, −120, and −160 mV for the wild-type, D172N, and S165L channels, and were −120, −160, and −200 mV for the D172N & S165L double mutant. The dashed lines indicate the zero current level after subtracting the leak current. (B) Relationship of single-channel current amplitude and holding potential for wild-type (○), D172N (▪), S165L (▴), and D172N & S165L (+) channels. (C) Single-channel conductance calculated from the slopes of the plots in B; plotted are means ± SD (n = 4–6).
|
|
Figure 13. . Accessibility of S165C by cys-modifying reagents from extracellular and intracellular sides. (A) Currents recorded under two-electrode voltage clamp from Xenopus oocytes. The effects of either 100 μM MTSET, 100 μM MTSEA, or 100 μM Cd2+ were shown. The symbols are (○), C149F (negative control); (▴), C149F & F147C (positive control); and (•), C149F & S165C. Test pulses for 100 ms were given every 2 s to −130 mV from a holding potential of −30 mV, and current amplitudes were measured at 50 ms from the onset of each test pulse. (B) Currents recorded from transfected HEK293T cells under inside-out patch clamp. The effects of 2 mM MTSET or 2.5 mM MTSEA were analyzed. Test pulses for 200 ms were given every 3 s to −120 mV from a holding potential of −50 mV, and current amplitudes were measured at 100 ms from the onset of each test pulse. (C and D) Fractions of the residual current amplitudes after application of cys-modifying reagents from extracellular side at 120 s (C) and from intracellular side at 180 s (D). The values of means ± SD (n = 4) are shown.
|
|
Figure 14. . Model of the pore structure of Kir2.1. The scheme explains the location and functional role of T141, S165, D172, E224, and E299.
|