|
Figure 1. . Action spectra of Xenopus rods at different developmental stages. The normalized dim-flash sensitivity was calculated from r/IF (see text), and the sensitivity at 520 nm was then arbitrarily renormalized to unity. Data from one rod at each stage. Symbols: ○, stage 48; ▴, stage 50; ⋄, stage 55; ▪, stage 62; ★, frog at size of 2.5–5cm. Curve is drawn from Eq. 4.
|
|
Figure 2. . Dark currents and physical dimensions of recorded rod outer segments (ROS) at different developmental stages. Results from tadpoles at stages 46–66 and frogs at sizes of 2.5–5cm. The histograms indicate averaged data and SEM. The number of rods studied at each stage were: 6(stage 46), 2(47), 5(48), 2(49), 10(50), 5(51), 9(52), 3(53), 4(54), 10(55), 5(56), 3(57), 4(58), 1(62), 1(63), 5(66) and 2(frog), respectively.
|
|
Figure 3. . Variation of dark current with rod outer segment length and surface area. Altogether, 77 cells from stage 46–66 tadpoles and young adult frogs. Solid line in B is a linear-regression line, with a slope of 0.0188 pA/μm2.
|
|
Figure 4. . Rod response properties at stages 51 and 56. In each case, top panel indicates flash response-intensity family from an overnight-dark-adapted rod, and bottom panel shows the relation between peak amplitude and flash intensity of the same cell. (A) Flash intensities were 3.86, 7.18, 14.67, 27.95, 57.07, 106.3, 216.9, 413.4, 844.1, and 1571.7 photons.μm−2, respectively. Light flash was delivered at time 0. The solid curve is Eq. 1 with σF equal 33.4 photons.μm−2. (B) Flash intensities were 0.09, 0.20, 0.39, 0.72, 1.47, 2.93, 5.99, 11.2, 22.8, 43.4, 90.5, 172.0, 352.9, and 693.7 photons.μm−2, respectively. The solid curve is Eq. 1 with σF equal 1.5 photons.μm−2.
|
|
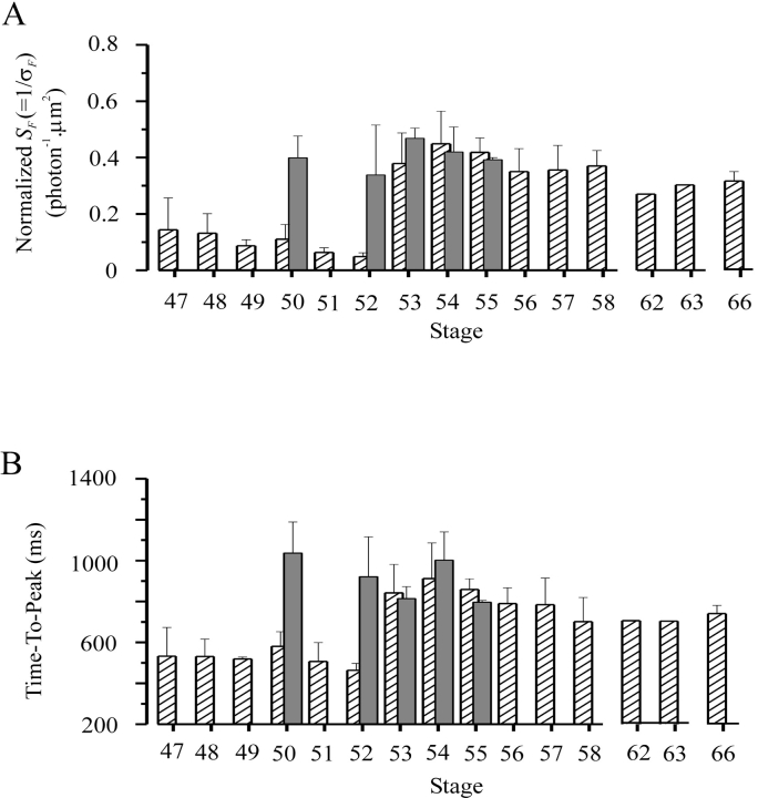
Figure 5. . Change in flash sensitivity and in time-to-peak of half-saturated flash response during development. Collected results from rods of overnight-dark-adapted tadpoles at stages 46–66 and frogs at sizes of 2.5–5 cm. Data are average, with SEM shown. The number of rods measured at each stage is as in Fig. 2.
|
|
Figure 6. . Rod response properties at stages 52 and 56, after incubation with 11-cis retinal. In each case, top panel indicates flash response-intensity family from an overnight-dark-adapted rod, and bottom panel shows the relation between peak amplitude and flash intensity of the same cell. Preincubation of isolated retina with 100 μM 11-cis-retinal in normal Ringer for 40 min in darkness. (A) Flash intensities were 0.09, 0.20, 0.72, 2.93, 11.2, 43.4, and 172.0 photons.μm−2, respectively. Light flash was delivered at time 0. The solid curve is Eq. 1 with σF equal 1.5 photons.μm−2. (B) Flash intensities were 0.09, 0.44, 1.68, 6.86, 26.1, 101.5, and 385.7 photons.μm−2, respectively. The solid curve is Eq. 1 with σF equal 2.4 photons.μm−2. Additional flash intensities not shown in the top panels are included in the bottom panels.
|
|
Figure 7. . Normalized flash sensitivity, time-to-peak of half-saturated flash response, and dark current at different developmental stages, after pretreatment of the isolated retina with 100 μM 11-cis-retinal for 40 min in darkness. Experiments on rods of overnight-dark-adapted tadpoles at stages 46–66 and frogs at sizes of 2.5–5 cm, as in Fig. 5. Dark bars indicate the collected chromophore-pretreatment data, showing average ± SEM. The number of rods measured at each stage are 4(stage 50), 6(52), 5(54) and 2(55). The hatch bars are redrawn from Figs. 5, B and C, and 2 A.
|
|
Figure 8. . Same power-law relation between normalized flash sensitivity and response time-to-peak during development as with light bleaches. Log-log coordinates. □, control, dark-adapted rods from different developmental stages; ▴, rods at stage 53 or later before bleaching (3 cells at stage 54, 1 at stage 56, and 1 at stage 58); ▾, the same cells after bleaching. The straight line fitted to the control rod data has a slope of 2.84. The cells marked by triangles are the same cells as those marked by filled squares in Fig. 9 (see Fig. 9 legend).
|
|
Figure 9. . Calculation of fractional free opsin in prestage 53 rods. The ratio of normalized flash sensitivity pre and postbleach, represented by , is plotted against fraction bleached and used as a standard, obtained from five poststage 53 cells indicated by filled squares. Same cells as those marked by triangles in Fig. 8; the point at zero fractional bleach (open circle) is simply a constraint for the curve fit. The stage, % bleach, and “steady-state” dark current before and after bleach of each cell were: stage 53, 17.5%, 13.9 pA, 7.5 pA; stage 54, 26.2%, 12.2 pA, 4.1 pA; stage 54, 14.3%, 30.3 pA, 17.1 pA; stage 55, 8.7%, 15.3 pA, 10.9 pA; stage 55, 26.2%, 15.3 pA, 10.4 pA. Continuous curves are Eq. 3 with k = 17.8 (Curve 1) and 25 (Curve 2). (Inset) Ratio of flash sensitivity with and without 11-cis-retinal treatment. 10 cells in total before stage 53 (4 at stage 50, 1 at stage 51, and 5 at stage 52) and 5 cells in total after stage 53 (3 at stage 54, 1 at stage 56, and 1 at stage 58). Sensitivity ratio before stage 53 being ∼8.5 and close to unity after stage 53. The reciprocal of 8.5 (horizontal dotted line) is used for estimating percentage of free opsin in prestage 53 rods, which gives 28% from Curve 1 and 22% from Curve 2.
|
|
Figure 10. . Collected results on normalized flash sensitivity and time-to-peak of half-saturated flash response of rods after prolonged dark adaptation at various developmental stages. Dark bars indicate the collected results. The number of rods studied at each stage was: 3(stage 50), 2(stage 52), 3(stage 53), 5(stage 54) and 2(stage 55). Hatched bars are redrawn from Fig. 5, B and C.
|