|
Fig 1 Probiotic persistence. (A) Heatmap abundances of ASV sequence counts per sample by week 0 (day 0; prior to probiotic inoculation), week 1 (day 8), week 2 (day 15), and week 3 (day 22). Sample range by color shade is given in the corresponding legend. Scatterplot of probiotic sequence counts for each probiotic treatment and corresponding linear mixed-effects model equation for (B) ASV18 (Pseudomonas RSB5.4 [P1]), (C) ASV9 (Stenotrophomonas THA2.2 [P2]), (D) ASV10 (Pseudomonas tolaasii RSB5.11, P3), and (E) the three-probiotic cocktail.
|
|
Fig 2 Line plots of anti-Bd bacterial ASV richness, by treatment and timepoint. All treatment groups at the beginning of the experiment pre-inoculation, were similar at day 0 (D0). All treatments at week 1 post-inoculation (W1), week 2 post-inoculation (W2), and week 3 post-inoculation (W3) also had similar or slightly decreasing anti-Bd bacterial ASV richness over time, with P4 having slightly higher richness (data shown is excluding observed probiotics by respective individuals at each timepoint). Treatments are matched by color and are coded as follows: C = no-probiotic control, P1 = Pseudomonas RSB5.4, P2 = Stenotrophomonas THA2.2, P3 = Pseudomonas RSB5.11, and P4 = cocktail. Error bars at each point represent plus or minus one standard deviation.
|
|
Fig 3 Line plots of corrected ASV relative abundance of anti-Bd bacteria, by treatment and timepoint. All treatment groups exhibited a lower relative abundance of anti-Bd bacteria over time as compared to the control (data shown is excluding observed probiotics by respective individuals at each timepoint). Treatments are matched by color and are coded as follows: C = no-probiotic control, P1 = Pseudomonas RSB5.4, P2 = Stenotrophomonas THA2.2, P3 = Pseudomonas tolaasii RSB5.11, and P4 = cocktail. Time points are given for each treatment and are coded as follows: D0 = day 0, W1 = week 1, W2 = week 2, and W3 = week 3. Error bars at each point represent plus or minus one standard deviation.
|
|
Fig 4 Principal coordinate analyses (axes 2 and 3; shown to visualize treatment effects) of microbial community beta diversity using the Bray-Curtis dissimilarity metric, by time point. Data ellipses show an 80% confidence and assume a multivariate t-distribution. The treatment group is given by color and shape in the legend. (A) All treatment groups at the beginning of the experiment, pre-inoculation. (B) All treatments at week 1 post-inoculation. (C) All treatments at week 2 post-inoculation. (D) All treatments at week 3 post-inoculation. Treatments are matched by color across panels and are coded as follows: C = no-probiotic control, P1 = Pseudomonas RSB5.4, P2 = Stenotrophomonas THA2.2, P3 = Pseudomonas tolaasii RSB5.11, and P4 = cocktail.
|
|
Fig 5 Boxplots of 2−ΔΔCT GAPDH normalized expression data at week 1 for (A) CSF1, (B) IL10, (C) FOXP3, and (D) TNFA. The expression (y-axis) scale has been log10 normalized for purposes of visualization only. Bars with * indicate a significant difference of P < 0.05. Treatments are matched by color across panels and are coded as follows: C = no-probiotic control, P1 = Pseudomonas RSB5.4, P2 = Stenotrophomonas THA2.2, P3 = Pseudomonas tolaasii RSB5.11, and P4 = cocktail.
|
|
Fig 6 Upset plot showing overlap between each set of differentially expressed immune-related genes. Horizontal bars show the size of each set, and vertical bars show the size of each intersection between sets (denoted by black points within the central grid). The rows of the central grid are colored by test treatment. Treatments are coded as follows: C = no-probiotic control, P1 = Pseudomonas RSB5.4, P2 = Stenotrophomonas THA2.2, P3 = Pseudomonas tolaasii RSB5.11, and P4 = cocktail.
|
|
Fig 7 An association network of proportional abundance of bacterial genera and gene expression modules across all treatments (A). Nodes are colored by data type (bacterial genus/expression module) and their size is scaled by betweenness centrality. Edge color indicates direction of association (red = negative, blue = positive). The heatmap shows correlations (red = negative, blue = positive) between gene expression modules (B) and bacterial genera. Matrix color shows direction (as in panel A) and strength of correlation; non-significant correlations are set to zero (white). Bacteria are ordered by phylum. Vertical lines highlight the modules with the highest proportion of genes annotated with the “immune system process” GO term.
|
|
Figure S1. Coverage given (pre-rarefaction) with sequence count plotted against richness. Each line represents a
sample. Sample type is given in the legend. C = control, P1 (Pseudomonas RSB5.4), P2 (Stenotrophomonas
THA2.2), P3 (Pseudomonas RSB5.11), and P4 (cocktail) are the corresponding probiotic treatments.
|
|
Figure S2. Bar plots of ASV richness (rarefied) by treatment and timepoint. A slight increase in ASV richness
was observed over time across treatments and control. Treatments are matched by color/shape and are coded as
follows: C = no-probiotic control, P1 = Pseudomonas RSB5.4, P2 = Stenotrophomonas THA2.2, P3 =
Pseudomonas tolaasii RSB5.11, P4 = cocktail. Timepoints are given for each treatment and are coded as
follows: D0 = day 0, W1 = week 1, W2 = week 2, and W3 = week 3. Error bars at each point represent plus or
minus one standard deviation.
|
|
Figure S3. Principal coordinate analyses (axes 1 and 2) of microbial community beta diversity using the BrayCurtis dissimilarity metric. Treatment group is given by color and time is given by shape, as indicated in the
legend. Data ellipses show an 80% confidence and assume a multivariate t-distribution. Treatments are coded as
follows: C = no-probiotic control, P1 = Pseudomonas RSB5.4, P2 = Stenotrophomonas THA2.2, P3 =
Pseudomonas RSB5.11, P4 = cocktail.
|
|
Figure S4. Principal coordinate analyses (axes 2 and 3) of microbial community beta diversity using the Jaccard
dissimilarity metric. Treatment group is given by color and time is given by shape, as indicated in the legend.
Data ellipses show an 80% confidence and assume a multivariate t-distribution. Treatments are coded as follows:
C = no-probiotic control, P1 = Pseudomonas RSB5.4, P2 = Stenotrophomonas THA2.2, P3 = Pseudomonas
RSB5.11, P4 = cocktail.
|
|
Figure S5. Upset plot showing overlap between each set of all differentially expressed genes. Horizontal bars
show the size of each set and vertical bars show the size of each intersection between sets (denoted by black
points within the central grid). The rows of the central grid are colored by test treatment as in figures 1–7.
Treatments are coded as follows: C = no-probiotic control, P1 = Pseudomonas RSB5.4, P2 = Stenotrophomonas
THA2.2, P3 = Pseudomonas RSB5.11, P4 = cocktail.
|
|
Figure S6. A heatmap showing the proportion of genes in each expression module annotated with each of the
level one biological process GO terms. Horizontal lines highlight the “immune systems process” GO term and
vertical lines highlight the modules with the highest proportion of genes annotated to it.
|
|
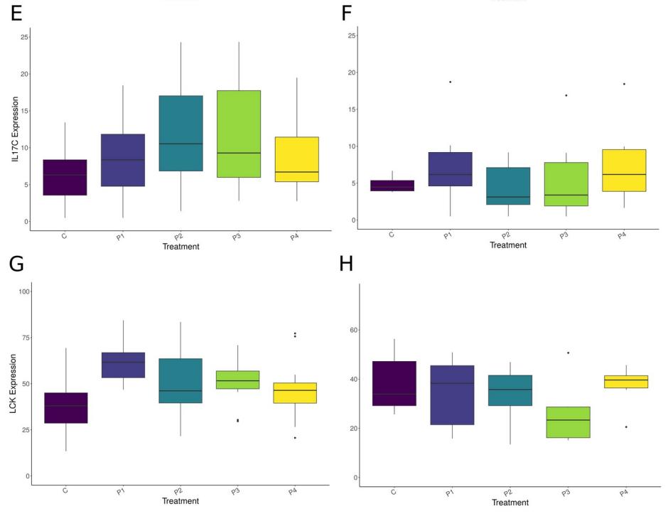
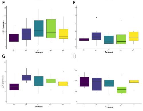
Figure S7. A barplot showing a subset of differentially expressed genes of interest (as compared to control) at
weeks 1 and 3 by respective treatment group (P1–P4) and control (C). This subset of genes includes IgJ in (A)
and (B), IL12B in (C) and (D), IL17C in (E) and (F), and LCK in (G) and (H). All expression data is normalized
by library size. The left column shows week 1 and the right column shows week 3 for the corresponding gene.
Treatments are matched by color across panels and are coded as follows: C = no-probiotic control, P1 =
Pseudomonas RSB5.4, P2 = Stenotrophomonas THA2.2, P3 = Pseudomonas RSB5.11, P4 = cocktail.
|
|
Figure S7. A barplot showing a subset of differentially expressed genes of interest (as compared to control) at
weeks 1 and 3 by respective treatment group (P1–P4) and control (C). This subset of genes includes IgJ in (A)
and (B), IL12B in (C) and (D), IL17C in (E) and (F), and LCK in (G) and (H). All expression data is normalized
by library size. The left column shows week 1 and the right column shows week 3 for the corresponding gene.
Treatments are matched by color across panels and are coded as follows: C = no-probiotic control, P1 =
Pseudomonas RSB5.4, P2 = Stenotrophomonas THA2.2, P3 = Pseudomonas RSB5.11, P4 = cocktail.
|
|
Fig 1. Probiotic persistence. (A) Heatmap abundances of ASV sequence counts per sample by week 0 (day 0; prior to probiotic inoculation), week 1 (day 8), week 2 (day 15), and week 3 (day 22). Sample range by color shade is given in the corresponding legend. Scatterplot of probiotic sequence counts for each probiotic treatment and corresponding linear mixed-effects model equation for (B) ASV18 (Pseudomonas RSB5.4 [P1]), (C) ASV9 (Stenotrophomonas THA2.2 [P2]), (D) ASV10 (Pseudomonas tolaasii RSB5.11, P3), and (E) the three-probiotic cocktail.
|
|
Fig 2. Line plots of anti-Bd bacterial ASV richness, by treatment and timepoint. All treatment groups at the beginning of the experiment pre-inoculation, were similar at day 0 (D0). All treatments at week 1 post-inoculation (W1), week 2 post-inoculation (W2), and week 3 post-inoculation (W3) also had similar or slightly decreasing anti-Bd bacterial ASV richness over time, with P4 having slightly higher richness (data shown is excluding observed probiotics by respective individuals at each timepoint). Treatments are matched by color and are coded as follows: C = no-probiotic control, P1 = Pseudomonas RSB5.4, P2 = Stenotrophomonas THA2.2, P3 = Pseudomonas RSB5.11, and P4 = cocktail. Error bars at each point represent plus or minus one standard deviation.
|
|
Fig 3. Line plots of corrected ASV relative abundance of anti-Bd bacteria, by treatment and timepoint. All treatment groups exhibited a lower relative abundance of anti-Bd bacteria over time as compared to the control (data shown is excluding observed probiotics by respective individuals at each timepoint). Treatments are matched by color and are coded as follows: C = no-probiotic control, P1 = Pseudomonas RSB5.4, P2 = Stenotrophomonas THA2.2, P3 = Pseudomonas tolaasii RSB5.11, and P4 = cocktail. Time points are given for each treatment and are coded as follows: D0 = day 0, W1 = week 1, W2 = week 2, and W3 = week 3. Error bars at each point represent plus or minus one standard deviation.
|
|
Fig 4. Principal coordinate analyses (axes 2 and 3; shown to visualize treatment effects) of microbial community beta diversity using the Bray-Curtis dissimilarity metric, by time point. Data ellipses show an 80% confidence and assume a multivariate t-distribution. The treatment group is given by color and shape in the legend. (A) All treatment groups at the beginning of the experiment, pre-inoculation. (B) All treatments at week 1 post-inoculation. (C) All treatments at week 2 post-inoculation. (D) All treatments at week 3 post-inoculation. Treatments are matched by color across panels and are coded as follows: C = no-probiotic control, P1 = Pseudomonas RSB5.4, P2 = Stenotrophomonas THA2.2, P3 = Pseudomonas tolaasii RSB5.11, and P4 = cocktail.
|
|
Fig 5. Boxplots of 2−ΔΔCT
GAPDH normalized expression data at week 1 for (A) CSF1, (B) IL10, (C) FOXP3, and (D) TNFA. The expression (y-axis) scale has been log10 normalized for purposes of visualization only. Bars with * indicate a significant difference of P < 0.05. Treatments are matched by color across panels and are coded as follows: C = no-probiotic control, P1 = Pseudomonas RSB5.4, P2 = Stenotrophomonas THA2.2, P3 = Pseudomonas tolaasii RSB5.11, and P4 = cocktail.
|
|
Fig 6. Upset plot showing overlap between each set of differentially expressed immune-related genes. Horizontal bars show the size of each set, and vertical bars show the size of each intersection between sets (denoted by black points within the central grid). The rows of the central grid are colored by test treatment. Treatments are coded as follows: C = no-probiotic control, P1 = Pseudomonas RSB5.4, P2 = Stenotrophomonas THA2.2, P3 = Pseudomonas tolaasii RSB5.11, and P4 = cocktail.
|
|
Fig 7. An association network of proportional abundance of bacterial genera and gene expression modules across all treatments (A). Nodes are colored by data type (bacterial genus/expression module) and their size is scaled by betweenness centrality. Edge color indicates direction of association (red = negative, blue = positive). The heatmap shows correlations (red = negative, blue = positive) between gene expression modules (B) and bacterial genera. Matrix color shows direction (as in panel A) and strength of correlation; non-significant correlations are set to zero (white). Bacteria are ordered by phylum. Vertical lines highlight the modules with the highest proportion of genes annotated with the “immune system process” GO term.
|