Click here to close
Hello! We notice that you are using Internet Explorer, which is not supported by Xenbase and may cause the site to display incorrectly.
We suggest using a current version of Chrome,
FireFox, or Safari.
Time of day dependent changes in embryonic heart rate are detectable after maturation of rhythmic circadian gene expression in the eye, but before the heart in Xenopus laevis tadpoles cultured in LD.
???displayArticle.abstract???
We systematically characterized onset of expression of circadian genes in the embryonic eye and heart of Xenopus laevis tadpoles. We found that period1 (per1) and nr1d1 ( rev-erbα) were the first circadian genes to display significant 24-hour rhythms in the developing eye and heart in a 12-hour light-dark cycle (LD). Rhythmic expression of both oscillator and output genes were present in the eye by 2.75 days post fertilization (dpf), but not in 15 dpf hearts. Surprisingly, rhythmic oscillation of heart rate occurred after 3.2 dpf suggesting that heart rate may be controlled directly by light or indirectly by the pineal in LD.
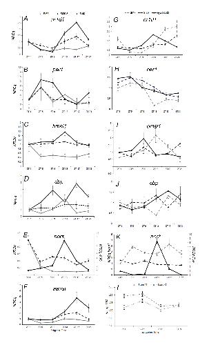
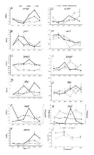
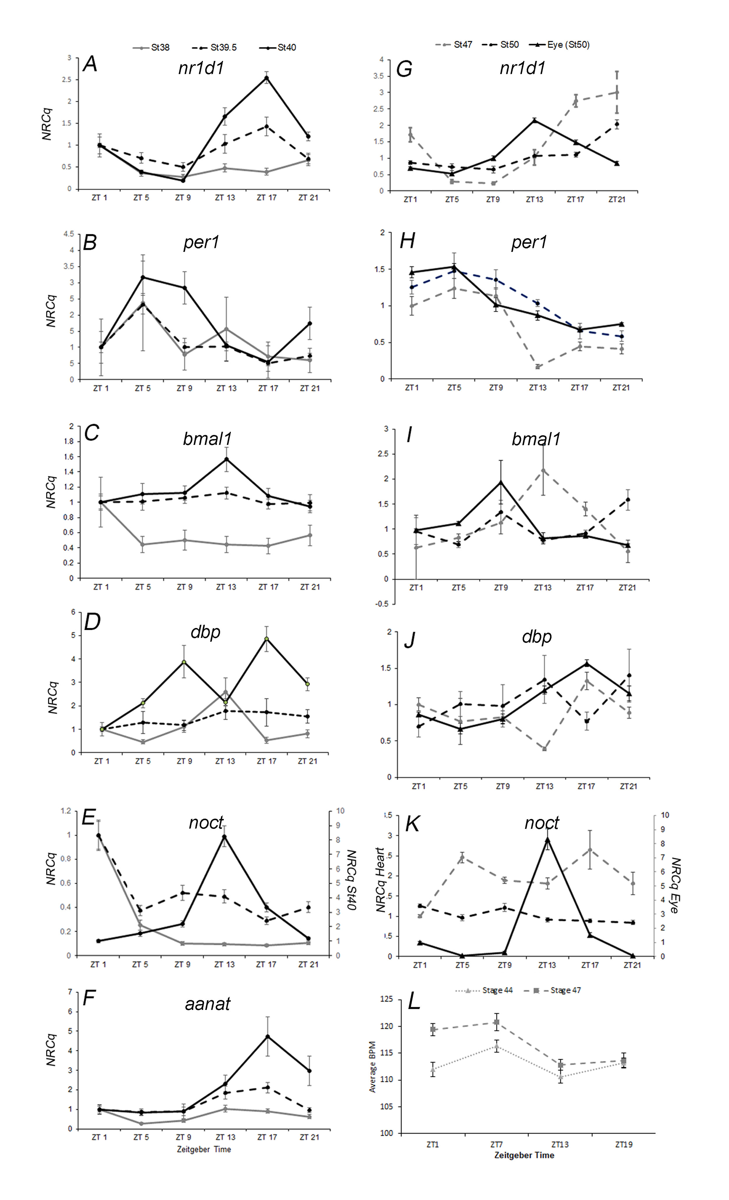
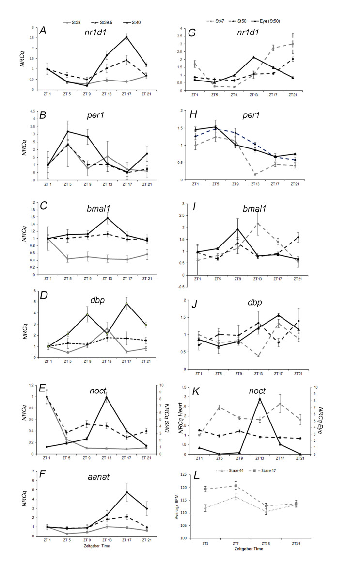
Figure 1. nr1d1 and period1 (per1) were the first genes to display a significant rhythmic expression in the embryonic eye and heart and rhythmic changes in heart rate were detected earlier than expected:
In panels A-F, all circadian genes analyzed in the eye had a significant 24-hour rhythm by stage 40 (2.75 dpf) except dbp. Ten eyes from 10 individuals in each sample were dissected in duplicate with representative plots shown here. Four central oscillator genes (A-D) and two clock-controlled genes (E-F) were analyzed. The y-axis indicates normalized relative Cq value (NRCq) and the x-axis indicates the time of day samples were taken during a 12-hour light-dark cycle (Zeitgeber time, ZT). nr1d1 (A) displayed a significant peak of expression at around ZT17.5 at stage 39.5 (p=0.035, r2=0.52) and 40 (p=1x10-6, r2=0.99). per1 (B) displayed a significant peak of expression at approximately ZT6 at stage 38 (p=0.003, r2=0.92), stage 39.5 (p=0.009, r2=0.65), and stage 40 (0.00045, r2=0.93). bmal1 (C) attained significant rhythmic expression with a peak at ZT12 by stage 40 (p=0.002; r2=0.89). dbp (D) displayed a significant 24-hour rhythm at stage 38 only (p=0.02, r2=0.67). noct (E) and aanat (F) displayed a significant 24-hour rhythm only at stage 40. noct expression peaked at ZT13 (p=0.0008, r2=0.91) and aanat at ZT17.6 (p=0.02; r2=0.58). In panels G-K, stage 50 eyes are represented by a solid line, stage 47 hearts by a grey line, and stage 50 hearts by a dashed black line. Stage 50 embryonic eyes were used as a positive control and all genes analyzed displayed a significant circadian rhythm in the eye (p<0.02; solid line). In panels G-K, embryonic hearts had significant rhythmic expression for nr1d1 (G) and per1 (H) at stage 47 (5.5 dpf) and stage 50 (15 dpf). nr1d1 displayed a peak of expression around ZT20 at stage 47 (G; p=0.007, r2=0.66) and ZT21 at Stage 50 (p=0.0002, r2=0.67). per1 displayed a significant peak of expression around ZT 4.75 at stage 47 (H; p=0.0003, r2=0.83) and at ZT6 at stage 50 (p=0.01, r2=0.43). All other genes had no significant 24-hour rhythm (I-K; p>0.05). Panel L shows time of day dependent changes in heart rate in tadpoles at two separate developmental timepoints, stage 44 (grey triangle, 3.8 dpf) and stage 47 (grey squares, 5.5 dpf). Heart rate was statistically significant at both stage 44 (peak at ZT 5.6; p=0.004, r2=0.138, N=23) and stage 47 (peak at ZT 4.73; p=7.1x10-6, r2=0.265, N=22). Error bars represent standard error of the mean from three qPCR replicates. Time of day dependent rhythms were evaluated using Circwave v1.4.
Figure 1.
nr1d1
and
period1 (per1)
were the first genes to display a significant rhythmic expression in the embryonic eye and heart and rhythmic changes in heart rate were detected earlier than expected.
.
In panels A-F, all circadian genes analyzed in the eye had a significant 24-hour rhythm by stage 40 (2.75 dpf) except
dbp
. Ten eyes from 10 individuals in each sample were dissected in duplicate with representative plots shown here. Four central oscillator genes (A-D) and two clock-controlled genes (E-F) were analyzed. The y-axis indicates normalized relative Cq value (NRCq) and the x-axis indicates the time of day samples were taken during a 12-hour light-dark cycle (Zeitgeber time, ZT).
nr1d1
(A) displayed a significant peak of expression at around ZT17.5 at stage 39.5 (p=0.035, r
2
=0.52) and 40 (p=1x10
-6
, r
2
=0.99).
per1
(B) displayed a significant peak of expression at approximately ZT6 at stage 38 (p=0.003, r
2
=0.92), stage 39.5 (p=0.009, r
2
=0.65), and stage 40 (0.00045, r
2
=0.93).
bmal1
(C) attained significant rhythmic expression with a peak at ZT12 by stage 40 (p=0.002; r
2
=0.89).
dbp
(D) displayed a significant 24-hour rhythm at stage 38 only (p=0.02, r
2
=0.67).
noct
(E) and
aanat
(F) displayed a significant 24-hour rhythm only at stage 40.
noct
expression peaked at ZT13 (p=0.0008, r
2
=0.91) and
aanat
at ZT17.6 (p=0.02; r
2
=0.58). In panels G-K, stage 50 eyes are represented by a solid line, stage 47 hearts by a grey line, and stage 50 hearts by a dashed black line. Stage 50 embryonic eyes were used as a positive control and all genes analyzed displayed a significant circadian rhythm in the eye (p<0.02; solid line). In panels G-K, embryonic hearts had significant rhythmic expression for
nr1d1
(G) and
per1
(H)
at stage 47 (5.5 dpf) and stage 50 (15 dpf).
nr1d1
displayed a peak of expression around ZT20 at stage 47 (G; p=0.007, r
2
=0.66) and ZT21 at Stage 50 (p=0.0002, r
2
=0.67).
per1
displayed a significant peak of expression around ZT 4.75 at stage 47 (H; p=0.0003, r
2
=0.83) and at ZT6 at stage 50 (p=0.01, r
2
=0.43). All other genes had no significant 24-hour rhythm (I-K; p>0.05). Panel L shows time of day dependent changes in heart rate in tadpoles at two separate developmental timepoints, stage 44 (grey triangle, 3.8 dpf) and stage 47 (grey squares, 5.5 dpf). Heart rate was statistically significant at both stage 44 (peak at ZT 5.6; p=0.004, r
2
=0.138, N=23) and stage 47 (peak at ZT 4.73; p=7.1x10
-6
, r
2
=0.265, N=22). Error bars represent standard error of the mean from three qPCR replicates. Time of day dependent rhythms were evaluated using Circwave v1.4.