|
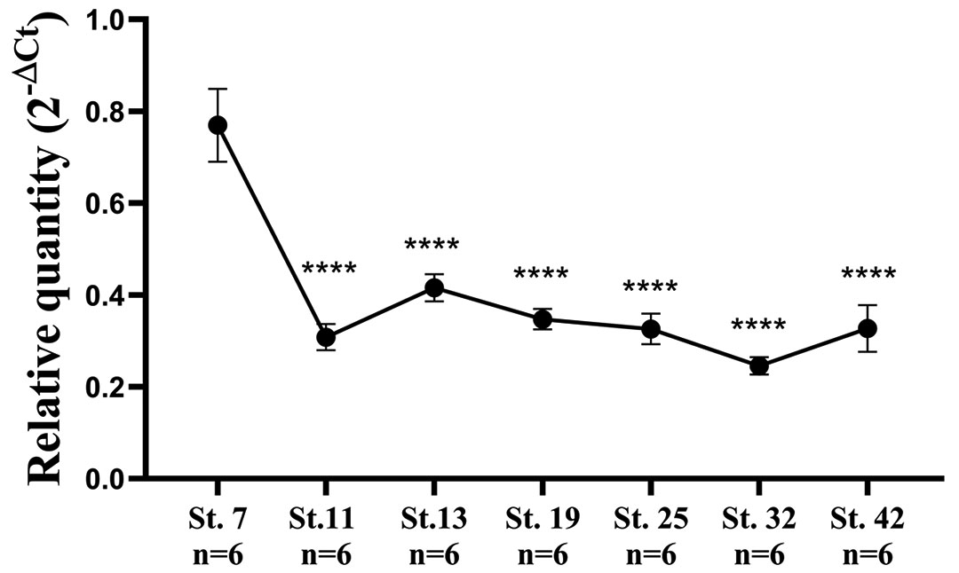
Fig. 1. RT-qPCR analysis of thg1l expression during development.
cDNAs were synthesized from embryos and larvae at different developmental stages (St., indicated at the bottom of the panel) and amplified using specific primers for thg1l, as well as sub1.S, slc35b1.L and ppp1ca.L, used for normalization. As technical control, reverse transcriptase was omitted. Asterisks (*) indicate statistically significant difference between each stage and St. 7. Data are expressed as mean ± standard error of the mean; n, number of samples analysed. ANOVA followed by Tukey post-hoc test: ****p < 0.0001.
|
|
Fig. 2. In situ hybridisation analysis of thg1l during segmentation and gastrulation.
Embryo developmental stages (St.) are indicated at the bottom left corner of each panel. (A,D) Lateral view, animal pole to the top and vegetal pole to the bottom, and (B) animal view, of whole-mount stained embryos. (C,E) Sagittal sections from whole-mount embryos, animal pole to the top and vegetal pole to the bottom. Black arrow in (E) points to the dorsal lip of the blastopore. (F) Magnified view of the boxed region indicated in (C), showing the intracellular localization of thg1l transcripts in animal blastomeres. White arrows show absence of the transcript in the apical portion of cytoplasm, whereas black arrowheads indicate Hoechst-stained nuclei. Bracket in (E) indicate the dorsal involuting mesoderm. Scale bars: 200 µm in (A,B,D); 150 µm in (C,E,F).
|
|
Fig. 3. In situ hybridisation analysis of thg1l during neurulation.
Embryo developmental stages (St.) are indicated at the bottom left corner of each panel. (A,C,E) Frontal view, dorsal to the top, and (B,D,F) dorsal view, frontal to the top, of whole-mount hybridized embryos. Black arrows indicate the anterior neural plate. Yellow arrows point to the neural crests. Red arrows indicate the neural tube. Black arrowheads point to the optic vesicles. Yellow arrowheads indicate migrating neural crest cells. Scale bar: 250 µm.
|
|
Fig. 4. In situ hybridisation analysis of thg1l in tailbud embryos.
Embryo developmental stages (St.) are indicated at the top right corner of each panel. (A,B,C) Lateral views of whole-mount hybridized embryos, anterior to the left; (C') magnified view of (C). Dashed lines in (C) indicate the section planes shown in (D-H). (D-H) Transverse sections from whole-mount St. 33-34 embryos, dorsal to the top. Black arrow in (D) points to the Rathke’s pouch. Black arrowhead in (C') indicates the midbrain-hindbrain boundary; yellow arrowhead indicates lateral line placode; green arrowhead indicates epibranchial placode, and red arrowhead indicates olfactory placode. Scale bars: 500 µm in (A-C, C’); 250 µm in (D-H). ba, branchial arches; di, diencephalon; e, eye; le, lens; me, mesencephalon; n, notochord; ov, otic vesicle; pn, pronephros; pr, prosencephalon; pw, posterior wall; re, retina; rh, rhombencephalon; s, somites; sc, spinal cord; tt, tail tip.
|
|
Fig. 5. In situ hybridisation analysis of thg1l in stage 42 larvae.
(A,B,B’,C,D) Transverse cryosections, dorsal to the top. (E) Lateral views of the larvae, anterior to the left. Dashed lines in (E) indicate the section planes shown in (A,B,B′,C,D). Black arrows indicate the Jacobson's organ in (A), external ocular muscles in (B), and parachordal cartilages in (C); (B′) high magnification of the eye represented in (B). Scale bars, 200 μm in (A,B,C,D); 1 mm in (E) and 100 μm in (B′). cm, cranial muscles; hy, hypothalamus; ipl, inner plexiform layer; irc, infrarostral cartilage; le, lens; me, mesencephalon; mm, mandibular muscles; op, olfactory pit; te, telencephalon; re, retina; rh, rhombencephalon; s, somites; sc, spinal cord; vp, velar plate.
|
|
Supplementary Figure S1. Evaluation of thg1l probes. Lateral views, anterior to the left. Embryo developmental stages (St.) are indicated at the bottom
left of each panel. Representative images of whole-mount in situ hybridizations performed using (A) thg1l antisense probe and (B) thg1l sense control
probe to assess hybridization signal strength and specificity. Scale bars: 500 µm.
|