|
Graphical Abstract Summary: X-ray tomography was used to examine the African clawed frog (Xenopus laevis). This extensive dataset of specimens from tadpoles to adult frogs opens avenues to novel insights into the changes and developmental dynamics of selected structures, leading eventually to an improved understanding of this crucial animal model.
|
|
Figure 1:The atlas of Xenopus laevis’ late development. (A) 3D renders of soft tissues of selected Xenopus developmental NF stages. (A′) Cross sections of soft tissues. The section level was selected based on capturing the brain area of Xenopus specimens. (A′′) 3D renders of the skeleton. In the first 3 conditions (NF 44–53), the bones are zoomed in and shown in the red rectangle on the left. The relevant scale bar and voxel size are depicted on bottom or top of each picture. All views are from dorsal view with the cranial side pointing to the right. A: anterior; L: left; P: posterior; R: right.
|
|
Figure 1:The atlas of Xenopus laevis’ late development. (A) 3D renders of soft tissues of selected Xenopus developmental NF stages. (A′) Cross sections of soft tissues. The section level was selected based on capturing the brain area of Xenopus specimens. (A′′) 3D renders of the skeleton. In the first 3 conditions (NF 44–53), the bones are zoomed in and shown in the red rectangle on the left. The relevant scale bar and voxel size are depicted on bottom or top of each picture. All views are from dorsal view with the cranial side pointing to the right. A: anterior; L: left; P: posterior; R: right.
|
|
Figure 1:The atlas of Xenopus laevis’ late development. (A) 3D renders of soft tissues of selected Xenopus developmental NF stages. (A′) Cross sections of soft tissues. The section level was selected based on capturing the brain area of Xenopus specimens. (A′′) 3D renders of the skeleton. In the first 3 conditions (NF 44–53), the bones are zoomed in and shown in the red rectangle on the left. The relevant scale bar and voxel size are depicted on bottom or top of each picture. All views are from dorsal view with the cranial side pointing to the right. A: anterior; L: left; P: posterior; R: right.
|
|
Figure 1:The atlas of Xenopus laevis’ late development. (A) 3D renders of soft tissues of selected Xenopus developmental NF stages. (A′) Cross sections of soft tissues. The section level was selected based on capturing the brain area of Xenopus specimens. (A′′) 3D renders of the skeleton. In the first 3 conditions (NF 44–53), the bones are zoomed in and shown in the red rectangle on the left. The relevant scale bar and voxel size are depicted on bottom or top of each picture. All views are from dorsal view with the cranial side pointing to the right. A: anterior; L: left; P: posterior; R: right.
|
|
Figure 2:The analyses of the head development. (A) The series of Xenopus skulls of selected stages. The scale bar with values in mm is shown on the left bottom. (B) The skull thickness of selected stages is displayed. The scale bar with values in mm is shown on the left side. (B′) The relative distribution of bone thickness for each skull is shown. The experiment involved conducting 3 repetitions for each developmental stage, with the results depicted as means accompanied by standard deviations (± SD). (C) The overview of developing heads with highlighted eyes is shown.
|
|
Figure 2:The analyses of the head development. (A) The series of Xenopus skulls of selected stages. The scale bar with values in mm is shown on the left bottom. (B) The skull thickness of selected stages is displayed. The scale bar with values in mm is shown on the left side. (B′) The relative distribution of bone thickness for each skull is shown. The experiment involved conducting 3 repetitions for each developmental stage, with the results depicted as means accompanied by standard deviations (± SD). (C) The overview of developing heads with highlighted eyes is shown.
|
|
Figure 4:The analysis of teeth in an adult frog. (A) The frontal view of an adult female frog skull is depicted with an upper maxillary arch with maxillary teeth visualized in yellow. (B) The lateral and top view on the right half of the maxillary arch with visualized teeth from an adult female frog. Three different developmental stages of teeth are highlighted by different colors (yellow, cyan, orange). (C) The stained micro-CT scan shows that only a small portion of the tooth extends into the oral cavity. The arrows point to teeth rows that do not penetrate the oral cavity. (D) The lateral view of the mandible of an adult female frog confirms the absence of teeth in this area. (E) The lateral view of the rostral part of the maxilla displays different stages of teeth during the replacement of tooth rows in detail.
|
|
Figure 3:
Demonstrative interactive SketchFab visualizations of 3D reconstructions highlighting that Xenopus female heads exhibit an increase in volume compared to males. (A) Skull of Xenopus laevis adult female (link: https://sketchfab.com/3d-models/skull-of-xenopus-laevis-female-321240df5a5741d39937f65d457c1594). (B) Skull of Xenopus laevis adult male (link: https://sketchfab.com/3d-models/skull-of-xenopus-laevis-male-192dbbceb71f4b73a1097a7cdf67e5ae).
|
|
Figure 3:
Demonstrative interactive SketchFab visualizations of 3D reconstructions highlighting that Xenopus female heads exhibit an increase in volume compared to males. (B) Skull of Xenopus laevis adult male (link: https://sketchfab.com/3d-models/skull-of-xenopus-laevis-male-192dbbceb71f4b73a1097a7cdf67e5ae).
|
|
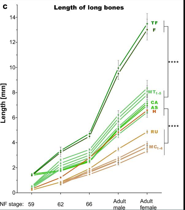
Figure 5:The analysis of frog skeletogenesis. (A) The adult male frog with analyzed bones is depicted. (B) The adult female frog with analyzed bones is displayed. (C) The graph demonstrating the analyzed bones throughout the Xenopus laevis’ late development. The experiment involved conducting 3 repetitions for each long bone measurement, with the results depicted as means accompanied by standard deviations (± SD). However, error bars are depicted only for cases demonstrating statistically significant differences, while they are not displayed for insignificant variations. Statistical analysis was performed using a 2-way analysis of variance (ANOVA) followed by Tukey post hoc test for multiple comparisons; ****P < 0.0001. A: anterior; AS: astragalus; CA: calcaneum; F: femur; H: humerus; L: left; MC: metacarpals; MT: metatarsals; P: posterior; R: right; RU: radioulna; TF: tibiofibular.
|
|
Figure 5:The analysis of frog skeletogenesis. (A) The adult male frog with analyzed bones is depicted. (B) The adult female frog with analyzed bones is displayed. (C) The graph demonstrating the analyzed bones throughout the Xenopus laevis’ late development. The experiment involved conducting 3 repetitions for each long bone measurement, with the results depicted as means accompanied by standard deviations (± SD). However, error bars are depicted only for cases demonstrating statistically significant differences, while they are not displayed for insignificant variations. Statistical analysis was performed using a 2-way analysis of variance (ANOVA) followed by Tukey post hoc test for multiple comparisons; ****P < 0.0001. A: anterior; AS: astragalus; CA: calcaneum; F: femur; H: humerus; L: left; MC: metacarpals; MT: metatarsals; P: posterior; R: right; RU: radioulna; TF: tibiofibular.
|
|
Figure 6:The analysis of long bones, including their cartilage and ossification. (A) The collection of femur bone throughout the late development. (B–B′) The femur from different developmental stages such as NF 59 (B) and an adult female (B′) with a focus on cartilage (in red) and bone (yellow). The view of bones is maximized and not in real proportions. For size proportions, see Fig. 5A. The absolute (in C) and relative (in D) quantification of a bone and cartilage mass for selected long bones such as the femur, humerus, and radioulna for each developmental stage, with the results depicted as means accompanied by standard deviations (± SD). Statistical analysis was performed using a 2-way analysis of variance (ANOVA) followed by Tukey post hoc test for multiple comparisons; **P < 0.01; ns, P > 0.05. Additionally, it should be noted that in (A), the cartilage is not visible, while in (B), the stained data allow for a clear separation of cartilage from bones. The merged data in Fig. 5B emphasize the isolated cartilage.
|
|
Figure 6:The analysis of long bones, including their cartilage and ossification. (A) The collection of femur bone throughout the late development. (B–B′) The femur from different developmental stages such as NF 59 (B) and an adult female (B′) with a focus on cartilage (in red) and bone (yellow). The view of bones is maximized and not in real proportions. For size proportions, see Fig. 5A. The absolute (in C) and relative (in D) quantification of a bone and cartilage mass for selected long bones such as the femur, humerus, and radioulna for each developmental stage, with the results depicted as means accompanied by standard deviations (± SD). Statistical analysis was performed using a 2-way analysis of variance (ANOVA) followed by Tukey post hoc test for multiple comparisons; **P < 0.01; ns, P > 0.05. Additionally, it should be noted that in (A), the cartilage is not visible, while in (B), the stained data allow for a clear separation of cartilage from bones. The merged data in Fig. 5B emphasize the isolated cartilage.
|
|
Figure 7:The analysis of brain development. (A–E) Individual stages of Xenopus brain and their details in (A′–E′), the rostrum pointing to the right, and (F) nervus opticus attached to eyes (in cyan), the rostrum is pointing up. cbh: cerebral hemispheres; cbl: cerebellum; dch: diencephalon; mob: medulla oblongata; opl: optic lobes; sp: spinal cord.
|
|
Figure 7:The analysis of brain development. (A–E) Individual stages of Xenopus brain and their details in (A′–E′), the rostrum pointing to the right, and (F) nervus opticus attached to eyes (in cyan), the rostrum is pointing up. cbh: cerebral hemispheres; cbl: cerebellum; dch: diencephalon; mob: medulla oblongata; opl: optic lobes; sp: spinal cord.
|
|
Figure 8:The analysis of gut development. (A–A′) Ventral and dorsal views of individual stages of Xenopus gut and their details for each developmental stage (B–I, B′–I′), except guts from frog adults.
|
|
Supplementary Figure 1. The macroscopic view of tadpoles used for micro-CT analysis. Numbers above
the organism indicate the corresponding NF stages.
|
|
Supplementary Figure 2. The representation of how the eye distance was calculated. The green line is the
distance between two eyes marked with red balls on left and right. The example with adult male frog is shown.
|
|
Supplementary Figure 3. The diameter analysis method used for long bone measurement. The red circle
inserted to the end of a bone served as a reference for the analysis of bone lengths. The circle was used for
the labelling of the one side of the bone (top). The distance between two circles was measured to determine
the bone length (below).
|
|
Supplementary Figure 4. The bone size analysis in all Xenopus specimens at the left (L) and right (R)
side. X-axis (1 – NF stage 59, 2 – NF stage 62, 3 – NF stage 66, 4 – adult male frog, 5 – adult female
frog). Y-axis is bone length in mm.
AS: astragalus; CA: calcaneum; F: femur; H: humerus; L: left; MC: metacarpals; MT: metatarsals; P:
R: right; RU: radioulna; TF: tibiofibular
|
|
Supplementary Figure 4. The bone size analysis in all Xenopus specimens at the left (L) and right (R)
side. X-axis (1 – NF stage 59, 2 – NF stage 62, 3 – NF stage 66, 4 – adult male frog, 5 – adult female
frog). Y-axis is bone length in mm.
AS: astragalus; CA: calcaneum; F: femur; H: humerus; L: left; MC: metacarpals; MT: metatarsals; P:
R: right; RU: radioulna; TF: tibiofibular
|
|
Graphical Abstract. Summary: X-ray tomography was used to examine the African clawed frog (Xenopus laevis). This extensive dataset of specimens from tadpoles to adult frogs opens avenues to novel insights into the changes and developmental dynamics of selected structures, leading eventually to an improved understanding of this crucial animal model.
|
|
Figure 1:. The atlas of Xenopus laevis’ late development. (A) 3D renders of soft tissues of selected Xenopus developmental NF stages. (A′) Cross sections of soft tissues. The section level was selected based on capturing the brain area of Xenopus specimens. (A′′) 3D renders of the skeleton. In the first 3 conditions (NF 44–53), the bones are zoomed in and shown in the red rectangle on the left. The relevant scale bar and voxel size are depicted on bottom or top of each picture. All views are from dorsal view with the cranial side pointing to the right. A: anterior; L: left; P: posterior; R: right.
|
|
Figure 2:. The analyses of the head development. (A) The series of Xenopus skulls of selected stages. The scale bar with values in mm is shown on the left bottom. (B) The skull thickness of selected stages is displayed. The scale bar with values in mm is shown on the left side. (B′) The relative distribution of bone thickness for each skull is shown. The experiment involved conducting 3 repetitions for each developmental stage, with the results depicted as means accompanied by standard deviations (± SD). (C) The overview of developing heads with highlighted eyes is shown.
|
|
Figure 4:. The analysis of teeth in an adult frog. (A) The frontal view of an adult female frog skull is depicted with an upper maxillary arch with maxillary teeth visualized in yellow. (B) The lateral and top view on the right half of the maxillary arch with visualized teeth from an adult female frog. Three different developmental stages of teeth are highlighted by different colors (yellow, cyan, orange). (C) The stained micro-CT scan shows that only a small portion of the tooth extends into the oral cavity. The arrows point to teeth rows that do not penetrate the oral cavity. (D) The lateral view of the mandible of an adult female frog confirms the absence of teeth in this area. (E) The lateral view of the rostral part of the maxilla displays different stages of teeth during the replacement of tooth rows in detail.
|
|
Figure 5:. The analysis of frog skeletogenesis. (A) The adult male frog with analyzed bones is depicted. (B) The adult female frog with analyzed bones is displayed. (C) The graph demonstrating the analyzed bones throughout the Xenopus laevis’ late development. The experiment involved conducting 3 repetitions for each long bone measurement, with the results depicted as means accompanied by standard deviations (± SD). However, error bars are depicted only for cases demonstrating statistically significant differences, while they are not displayed for insignificant variations. Statistical analysis was performed using a 2-way analysis of variance (ANOVA) followed by Tukey post hoc test for multiple comparisons; ****P < 0.0001. A: anterior; AS: astragalus; CA: calcaneum; F: femur; H: humerus; L: left; MC: metacarpals; MT: metatarsals; P: posterior; R: right; RU: radioulna; TF: tibiofibular.
|
|
Figure 6:. The analysis of long bones, including their cartilage and ossification. (A) The collection of femur bone throughout the late development. (B–B′) The femur from different developmental stages such as NF 59 (B) and an adult female (B′) with a focus on cartilage (in red) and bone (yellow). The view of bones is maximized and not in real proportions. For size proportions, see Fig. 5A. The absolute (in C) and relative (in D) quantification of a bone and cartilage mass for selected long bones such as the femur, humerus, and radioulna for each developmental stage, with the results depicted as means accompanied by standard deviations (± SD). Statistical analysis was performed using a 2-way analysis of variance (ANOVA) followed by Tukey post hoc test for multiple comparisons; **P < 0.01; ns, P > 0.05. Additionally, it should be noted that in (A), the cartilage is not visible, while in (B), the stained data allow for a clear separation of cartilage from bones. The merged data in Fig. 5B emphasize the isolated cartilage.
|
|
Figure 7:. The analysis of brain development. (A–E) Individual stages of Xenopus brain and their details in (A′–E′), the rostrum pointing to the right, and (F) nervus opticus attached to eyes (in cyan), the rostrum is pointing up. cbh: cerebral hemispheres; cbl: cerebellum; dch: diencephalon; mob: medulla oblongata; opl: optic lobes; sp: spinal cord.
|
|
Figure 8:. The analysis of gut development. (A–A′) Ventral and dorsal views of individual stages of Xenopus gut and their details for each developmental stage (B–I, B′–I′), except guts from frog adults.
|