Click here to close
Hello! We notice that you are using Internet Explorer, which is not supported by Xenbase and may cause the site to display incorrectly.
We suggest using a current version of Chrome,
FireFox, or Safari.
Pflugers Arch
2024 Mar 20; doi: 10.1007/s00424-024-02941-0.
Show Gene links
Show Anatomy links
XPR1: a regulator of cellular phosphate homeostasis rather than a Pi exporter.
Burns D
,
Berlinguer-Palmini R
,
Werner A
.
???displayArticle.abstract???
Phosphate (Pi) is an essential nutrient, and its plasma levels are under tight hormonal control. Uphill transport of Pi into cells is mediated by the two Na-dependent Pi transporter families SLC34 and SLC20. The molecular identity of a potential Pi export pathway is controversial, though XPR1 has recently been suggested by Giovannini and coworkers to mediate Pi export. We expressed XPR1 in Xenopus oocytes to determine its functional characteristics. Xenopus isoforms of proteins were used to avoid species incompatibility. Protein tagging confirmed the localization of XPR1 at the plasma membrane. Efflux experiments, however, failed to detect translocation of Pi attributable to XPR1. We tested various counter ions and export medium compositions (pH, plasma) as well as potential protein co-factors that could stimulate the activity of XPR1, though without success. Expression of truncated XPR1 constructs and individual domains of XPR1 (SPX, transmembrane core, C-terminus) demonstrated downregulation of the uptake of Pi mediated by the C-terminal domain of XPR1. Tethering the C-terminus to the transmembrane core changed the kinetics of the inhibition and the presence of the SPX domain blunted the inhibitory effect. Our observations suggest a regulatory role of XPR1 in cellular Pi handling rather than a function as Pi exporter. Accordingly, XPR1 senses intracellular Pi levels via its SPX domain and downregulates cellular Pi uptake via the C-terminal domain. The molecular identity of a potential Pi export protein remains therefore elusive.
Fig. 1
XPR1 is expressed at the membrane of Xenopus oocytes. Various constructs including the flurescent tags mCherry, mKate and GFP were tested with qualitatively comparable results for both localization and efflux of Pi. A mCherry-tagged XPR1 displays enhanced fluorescence (right panel) as compared to non-injected oocytes (left panel). B Quantification of fluorescence in arbitrary units. C Xenopus XPR1 wild type and tagged with fluorescent proteins did not affect Pi efflux from oocytes. D Native oocytes were exposed to varying concentrations of Pi for 24 h followed by measurement of Pi uptake. The reduction of Pi transport to even small increases in Pi in the medium indicates that oocytes have an endogenous system for sensing and responding to environmental Pi
Fig. 2
Pi efflux from oocytes injected with XPR1, flSlc34 and potential cofactors under various experimental conditions. A Oocytes were injected with XPR1 and flSlc34 + Xpr1 and efflux was assayed at pH 6 and 7.4, respectively. B Oocytes were injected with RNAs encoding XPR1, flSlc34 and total kidney RNA from Xenopus. In general, oocytes with higher net uptake of Pi (i.e. expressing flSlc34) tend to show lower efflux, as observed in many experiments. No significant effect of XPR1 on Pi export is detectable (compare the two groups on the right). The apparent change in efflux between 3 and 5 day incubation in groups 1 and 2 on the left reflects intrinsic changes in oocytes rather than the effects of injected material. A representative experiment is shown. C Oocytes were injected with flSlc34 and a mix of pooled IP6K1 and IP6K2 cRNAs. Co-expression of the kinases did not affect Pi efflux. Oocytes from three different experiments are included
Fig. 3
Pi uptake into oocytes expressing XPR1 constructs that lack the SPX domain. Constructs that lacked either part or the entire SPX domain were generated and expressed in oocytes. Oocytes were incubated for 5 days (left group) and 7 days (right group). Non-injected oocytes and the truncated constructs alone did not stimulate Pi uptake. flSlc34 and flSlc34 + XPR1-177 showed significant Pi uptake that increased and became more variable between days 5 and 7 (light and dark blue bars). flSlc34 + XPR1-205 showed a downregulation of Pi uptake to basal level between day 5 and day 7 (orange bars). Right panel, alpha fold-based model of human XPR1. The individual protein domains are indicated: SPX, SPX-domain; TM, transmembrane domain or ‘core’ and C-Term, C-terminal domain
Fig. 4
Pi uptake into oocytes expressing XPR1 protein domains. A Schematic representation of XPR1 with the domains SPX, core and C-terminus. B Cells were injected with constructs of XPR1 domains; SPX domain, core domain, the C- terminus and XPR1 without C-terminus (SPX-core) and assayed after 5 days. C The effect is specific for Pi transport as expression of XPR1 fragments has no effect on.3H arginine uptake into oocytes (representative experiment of 3 repetitions is shown). One-way ANOVA with Tukey’s post hoc test, *p < 0.05
Fig. 5
Efflux measurements with oocytes expressing potential Pi exporters. Anion exchangers were identified as potential Pi exporters based on substrate specificity and expression pattern. The transporters (Slc26A1, Slc29A3, Slc37A3 and Slc37A4) were expressed in oocytes, and efflux was assessed in the presence of 2 mM Pi, 50 µM oxalate or 2 mM suphate. Whereas the exogenous exchangers did not show enhanced export activity, though intrinsic export shows preference of Pi over oxalate and sulphate. One-way ANOVA with Tukey’s post hoc test, *p < 0.05, **p < 0.01, ***p < 0.001
Supplementary Figure 1: Strategy to synthesize cRNA from tissue extracted mRNA.
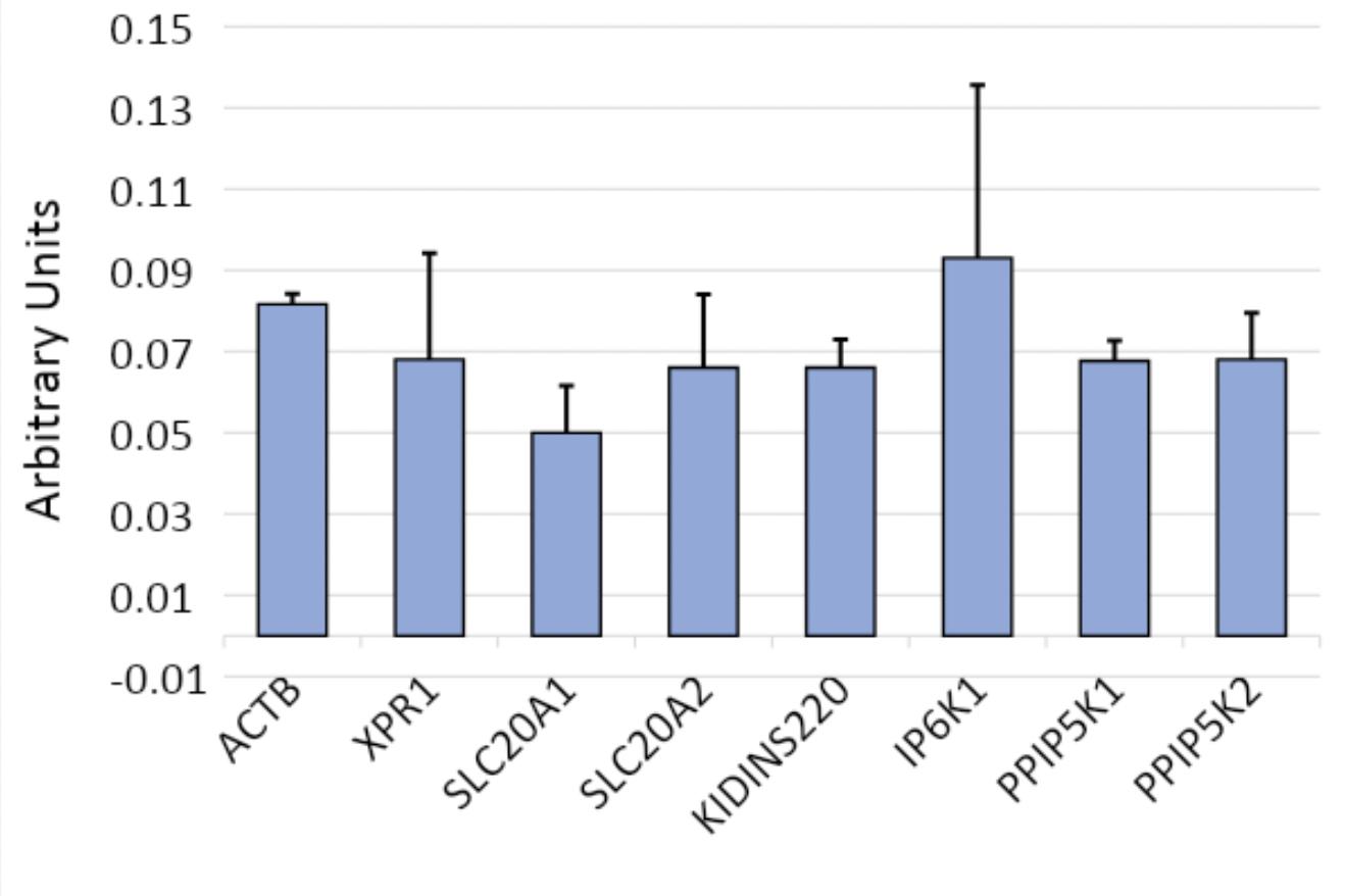
Supplementary Figure 2: Expression levels of proteins expressed in stage VI Xenopus oocytes that are potentially involved in sensing and uptake of Pi. Data from https://www.xenbase.org/xenbase/gene/geneExpressionChart.do?method=drawProtein.
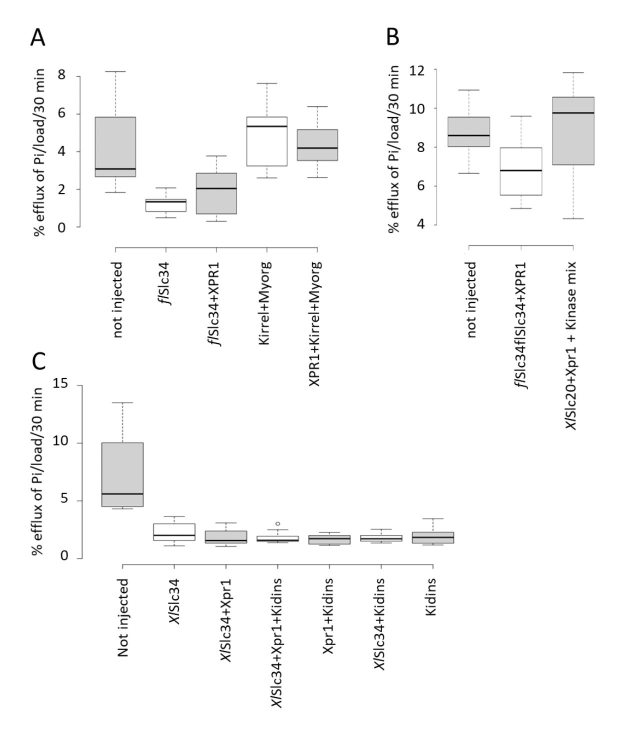
Supplementary Figure 3: Efflux experiments testing different co-factors that potentially stimulate the action of Xpr1. A positive effect of the potential Xpr1 modulators would lead to enhanced Pi export through stimulation of endogenously expressed proteins. Addition of exogenous components such as Slc20, Slc34 or Xpr1 would enhance the signal. Though, stimulation of efflux was not observed. (A) Myorg and Kirrel were tested together but failed to enhance Pi export. (B) A mix of cRNA encoding kinases (IP6K1/2, PPIP5K1/2) was injected. (C) cRNA encoding the Xpr1 cofactor Kidins220 was injected in various combinations with XlSlc34 and Xpr1 and had no effect on Pi export. Experiments were performed twice. Center lines show the medians; box limits indicate the 25th and 75th percentiles; whiskers extend 1.5 times the interquartile range from the 25th and 75th percentiles, an outliers is represented by a dot.
Supplementary Figure 4: Pi uptake into oocytes expressing XPR1 protein domains. Cells were injected with constructs of XPR1 domains; SPX- domain, core domain, the C- terminus and XPR1 without C- terminus (SPX-core) and assayed after 5 days. In addition, oocytes were incubated in 1 mM Pi for 20’ prior to the uptake. The pre-incubation reduced the variability between individual oocytes, all groups were similarly affected. (This figure compares to Figure 5B in the main text.) One-Way ANOVA with Tukey’s post hoc test, *** = p<0.001.
Ansermet,
Renal Fanconi Syndrome and Hypophosphatemic Rickets in the Absence of Xenotropic and Polytropic Retroviral Receptor in the Nephron.
2017, Pubmed
Ansermet,
Renal Fanconi Syndrome and Hypophosphatemic Rickets in the Absence of Xenotropic and Polytropic Retroviral Receptor in the Nephron.
2017,
Pubmed
Balck,
Genotype-Phenotype Relations in Primary Familial Brain Calcification: Systematic MDSGene Review.
2021,
Pubmed
Beck,
The phosphate transporter PiT1 (Slc20a1) revealed as a new essential gene for mouse liver development.
2010,
Pubmed
Boller,
Familial idiopathic cerebral calcifications.
1977,
Pubmed
Bon,
Phosphate (Pi)-regulated heterodimerization of the high-affinity sodium-dependent Pi transporters PiT1/Slc20a1 and PiT2/Slc20a2 underlies extracellular Pi sensing independently of Pi uptake.
2018,
Pubmed
Bondeson,
Phosphate dysregulation via the XPR1-KIDINS220 protein complex is a therapeutic vulnerability in ovarian cancer.
2022,
Pubmed
Chande,
Slc20a1/Pit1 and Slc20a2/Pit2 are essential for normal skeletal myofiber function and survival.
2020,
Pubmed
Chen,
The Genetics of Primary Familial Brain Calcification: A Literature Review.
2023,
Pubmed
Forster,
Electrophysiological characterization of the flounder type II Na+/Pi cotransporter (NaPi-5) expressed in Xenopus laevis oocytes.
1997,
Pubmed
,
Xenbase
Giovannini,
Inorganic phosphate export by the retrovirus receptor XPR1 in metazoans.
2013,
Pubmed
Guo,
Spectrum of SLC20A2, PDGFRB, PDGFB, and XPR1 mutations in a large cohort of patients with primary familial brain calcification.
2019,
Pubmed
Hernando,
Phosphate Transport in Epithelial and Nonepithelial Tissue.
2021,
Pubmed
Hernando,
Intestinal Depletion of NaPi-IIb/Slc34a2 in Mice: Renal and Hormonal Adaptation.
2015,
Pubmed
Ito,
Unique uptake and efflux systems of inorganic phosphate in osteoclast-like cells.
2007,
Pubmed
Jennings,
Role of transporters in regulating mammalian intracellular inorganic phosphate.
2023,
Pubmed
Lederer,
Understanding renal phosphate handling: unfinished business.
2023,
Pubmed
Legati,
Mutations in XPR1 cause primary familial brain calcification associated with altered phosphate export.
2015,
Pubmed
Levi,
Mechanisms of phosphate transport.
2019,
Pubmed
Markovich,
Expression cloning and radiotracer uptakes in Xenopus laevis oocytes.
2008,
Pubmed
,
Xenbase
Marks,
The role of SLC34A2 in intestinal phosphate absorption and phosphate homeostasis.
2019,
Pubmed
Marks,
The role of the gastrointestinal tract in phosphate homeostasis in health and chronic kidney disease.
2013,
Pubmed
Meireles,
The phosphate exporter xpr1b is required for differentiation of tissue-resident macrophages.
2014,
Pubmed
Onaga,
High SLC20A1 Expression Is Associated With Poor Prognoses in Claudin-low and Basal-like Breast Cancers.
2021,
Pubmed
Wagner,
Renal phosphate handling and inherited disorders of phosphate reabsorption: an update.
2019,
Pubmed
Wang,
Mutations in SLC20A2 link familial idiopathic basal ganglia calcification with phosphate homeostasis.
2012,
Pubmed
,
Xenbase
Wege,
Expression of the mammalian Xenotropic Polytropic Virus Receptor 1 (XPR1) in tobacco leaves leads to phosphate export.
2014,
Pubmed
Werner,
Expression of renal transport systems for inorganic phosphate and sulfate in Xenopus laevis oocytes.
1990,
Pubmed
,
Xenbase
Werner,
Cloning and expression of a renal Na-Pi cotransport system from flounder.
1994,
Pubmed
,
Xenbase
Zarb,
Ossified blood vessels in primary familial brain calcification elicit a neurotoxic astrocyte response.
2019,
Pubmed
Zhou,
Kidney glycolysis serves as a mammalian phosphate sensor that maintains phosphate homeostasis.
2023,
Pubmed