|
FIGURE 1
Single BK channel activated by spontaneous action potentials in a varicosity. A cell-attached patch was formed on a varicosity with sub-giga Ohm seal resistance. NFR was in the pipette and bath solutions. (a) Superimposed traces showing large current deflections, which are mainly capacitive currents induced by spontaneous action potentials, followed in many cases by single-channel-like currents. (b) (A–D) four representative expanded traces (thick lines) from a (labelled with the same number) were superimposed on a blank current trace i.e. without single-channel openings (thin lines). (c) First latency distribution of single-channel openings. The times between the peak of the large current deflection and initiation of single-channel opening in each trace were counted and plotted as a cumulative distribution. The smooth line represents a single exponential fit to the data. Bin width, .1 ms, n = 14. (d) Cell-attached single-channel current (left) and current–voltage relation curve (right) obtained from the same varicosity as in subparts (a,b) at different voltages. Linear regression showed the slope conductance was 87.5 pS. The resting membrane potential was estimated to be −60 mV.
|
|
FIGURE 2
Representative paired recordings from a presynaptic varicosity and postsynaptic myoball. (a) Waveform applied to varicosity. The membrane was held at Vh = −70 mV, stepped up to +130 mV for 10 ms, then stepped back to an intermediate potential (IP) of 0 mV for different lengths of time, then stepped back to +130 mV again to test BK current. (b) Presynaptic current recorded in NFR. (c) In the presence of 2 μM of paxilline, blocking the IBK. (d) After further addition 10-μM Cd2+ to block ICa. (e) EPSCs recorded in NFR. (f) BK current (IBK) obtained by B-C. (g) Ca2+ current (ICa) by C-D.
|
|
FIGURE 3
Relationship of normalized presynaptic BK current (IBK), EPSCs and estimated [Ca2+] as a function of duration of various intermediate potentials (IP). (a) Plots of normalized IBK versus IP at −70 mV (black), −40 mV (red), −20 mV (green), 0 mV (blue), +20 mV (cyan), +40 mV (magenta) and +60 mV (olive). (b) Normalized EPSCs evoked by the voltage waveform against duration at different IPs. (c) Plots of estimated [Ca2+] generated during different IPs, calibrated with single BK channels in inside-out membrane patches exposed to known Ca2+ concentrations (Sun et al., 2004). Data averaged from 13 to 28 varicosities yielding full sets of data.
|
|
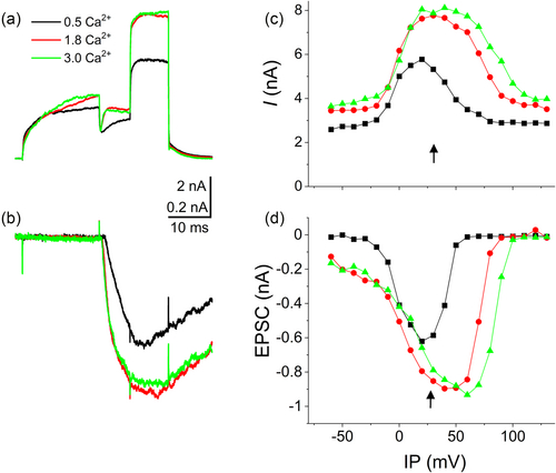
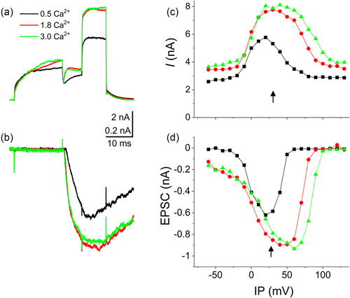
FIGURE 4
Effect of extracellular Ca2+ on BK currents and EPSCs. (a) Presynaptic currents evoked in response to a voltage waveform similar to that described for Figure 2 with an IP of +30 mV in three different external Ca2+ concentrations: .5 mM (black), 1.8 mM Ca2+ (red) and 3.0 mM Ca2+ (green). In brief, the presynaptic voltage was held at −70 mV, stepped to +130 mV for 20 ms followed by a step to the IP of +30 mV for 5 ms, before a test step was made to +130 mV for an additional 10 ms. (b) EPSCs recorded in response to the waveform described in a. (c) Plots of peak presynaptic currents recorded during the test step to +130 mV as a function of IPs between −60 mV and +130 mV for the three different extracellular Ca2+ concentrations tested. (d) Peak EPSCs recorded during the +130 mV test steps as above. (a,b) Taken from IP of +30 mV (arrows).
|
|
FIGURE 5
Differential effects of Ca2+ blockers and paxilline on BK current. (a) Sample traces of IBK activated by a pulse waveform (upper) before and after application of Ca2+ blockers (middle) or the BK channel blocker paxilline (below). The rising rate of the IBK was progressively reduced at both +20 and +130 mV after application of Ca2+ blockers, but showed no major changes after paxilline, though IBK declined in both cases. (b) The whole-cell BK currents elicited by +130 mV test pulses during IPs of +20 mV were reduced either by bath application of paxilline (2 μM), which selectively blocks BK channels or by ω-CgTX (1 μM) and nifedipine (5 μM), which blocks Ca2+ channels. [Ca2+] calculated by obtaining the time constants of activation of BK currents. Data points from different varicosities are shown for paxilline (solid symbols) and for ω-CgTX (open symbols) treatment, respectively. The line was obtained by fitting the data after ω-CgTX and NIF application to a Hill function.
|
|
FIGURE 6
Quantitative dependence of IBK and EPSC on [Ca2+]. Plots for IBK and EPSC against [Ca2+] at an intermediate potential of +20 mV from 10 experiments with paired data. IBK and EPSC are plotted against [Ca2+] determined by activation time constant of IBK and fitted to the Hill function. The [Ca2+] of half maximal activation (K1/2) for IBK and EPSC were 26.3 ± 2.4.1 and 35.9 ± 2.7 μM, respectively, and the Hill coefficients were 2.5 ± .5 and 3.9 ± .8, respectively.
|
|
FIGURE 7
IBK is equivalently dependent on both L- and N-type Ca2+ channels. (a) IBK elucidated by the usual waveform (top) in absence (Ctl, black) and presence of 10 μM nifedipine (NIF, red) to block L-type Ca2+ channels and after further adding 1 μM ωCTX to block N-type channels (blue). Blockers were applied in alternative order. (b) Enlarged IBK blockable by Ca2+ channel blockers (thin line) and the nifedipine (grey line) or ω-CgTX blocked (thick black line) components at an ±intermediate potential of +20 mV, derived by subtraction of current traces shown in (a). (c) Average IBK component blocked by NIF (n = 7) or ωCTX (n = 8). Blocked components were derived by subtraction of the IBK after applying the blocker from the initial current. (d) Reduction of [Ca2+] after NIF or ω-CgTX. Mean values are test was shown as horizontal lines. Two-sample Student's t test used for comparison of means. *p < .01, **p < .001.
|
|
FIGURE 8
Presynaptic BK current, EPSC and fluorescent Ca2+ imaging in response to uncaging Ca2+. (a) Light micrograph showing presynaptic varicosity and patch clamped postsynaptic myoball (left). Fluorescent images taken before UV-uncaging (middle) and after UV-flash (right). (b-A), fluorescent intensity changes of the varicosity after uncaging. (b-B) IBK traces evoked by depolarizing membrane to 100 mV at 10, 50, 100 and 250 ms after UV-flash. (b-C) EPSCs recorded from myoball after flashes. (c-A), expanded and aligned IBK traces b, with their exponential fits (dash lines). (c-B) [Ca2+] calculated by exponential fitting IBK.
|
|
FIGURE 9
Effects of EGTA-AM (a) and BAPTA-AM (b) on IBK and EPSCs. Both the varicosity and the myoball were voltage clamped. The varicosity membrane potential was held at −70 mV and first depolarized to +130 mV (prepulse), then stepped back to an IP of +20 mV for Ca2+ entry. A test pulse of +130 mV was then applied to measure the IBK. (a) At the top, the ratios of IBK evoked by test pulse over that by prepulses; at the bottom, amplitudes of EPSCs were plotted before and after 40 μM EGTA AM was applied by superfusion, as indicated by the horizontal bar. Sample current traces below the curve were taken during the superfusion of chelator at times near the beginning and end of each trial. (b) A similar experiment in which 10 μM BAPTA-AM was applied by superfusion as indicated by the horizontal bar during recording.
|
|
FIGURE 10
Effects of Ca2+-loading duration on the decay of [Ca2+]AZ. (a) Sample waveforms (a-A) and current traces (a-B) in which the varicosity was first depolarized to +100 mV for 10 ms, then stepped down to +20 mV to allow Ca2+ entry for 4 m, and then either stepped up to +100 mV to determine the maximal IBK or stepped back to −70 mV for various lengths of time before another +100 mV test pulse was imposed to generate IBK. (b-A) Mean [Ca2+]AZ after .4–.5, 1, 2, 4 and 8–10 ms of Ca2+ entry during +20 mV were plotted against time at −70 mV. Data were averaged over six experiments. The curves in (b-A) were generated by an AZ model described in Appendix A. The parameters of the model were adjusted to optimize the fit to the data points. The model used a published model (Bischofberger et al., 2002) to generate the Ca2+ current entering via 25 Ca channels at the centre of one face of a 1 × 1 × 1 μm cube (Figure A1) containing Ca2+ and three buffers: (bufa) the charged phospholipid head groups located on the intracellular membranes, and (bufb) a fixed buffer and (bufc) a mobile buffer distributed uniformly over the volume. (b-B) shows the concentration profiles for free Ca2+ and Ca2+ bound to the three buffers, for the case of 4 ms at the IP of +20 mV. The left axis indicates concentration for free Ca2+ and for Ca2+ bound to buffers b and c. For buffer a only, the right axis indicates the surface density (Ca2+ ions/[15 nm]2) of Ca2+ bound to the phospholipids; the left axis indicates the concentration of buffer a after conversion from ions/surface area to μM, obtained by assuming the surface-bound Ca2+ is spread over a 7.5-nm thick layer adjacent to the membrane. The small blips near the beginning of each curve are the result of a small amount of Ca2+ entry during the onset of the 10-ms initial depolarization from −70 to +100 mV. At t = −4 ms, the voltage was stepped to +20 mV, imposing a driving force for Ca2+ entry, and at t = 0 ms, the voltage was stepped to −70 mV, generating a brief tail current that caused a transient increase in [Ca2+], followed by the decay of [Ca2+].
|
|
FIGURE A1
(a) In the model, the terminal is represented by a series of identical cubes filling a portion of the length of the terminal. The x-axis is oriented in the direction of the length of the terminal. Active zones with identical Ca-channel arrays, conducting identical Ca2+ fluxes, are assumed to be spaced at 1-μm intervals in the x-direction. (b) The dark cube in subpart (a) is shown enlarged. The origin of the coordinate system is at the centre of the z = 0 face of the cube, which is also the location of the centre of a 120 × 120 nm, 5 × 5 Ca2+ channel square array on the z = 0 face. The cube is bounded by four (grey) square membrane faces: the two x-y faces at z = 0 μm and z = +1 μm and the two x–z faces at y = ±.5 μm. The other two faces are open, virtual y–z faces at x = ±.5 μm. There is no net Ca2+ flux across these two virtual faces because the fluxes from two adjacent cubes cancel. In a further idealization, it is assumed that each channel has the same Ca2+ flux. Then, by symmetry, there is no net Ca2+ flux across the two virtual faces (parallel striped surfaces) separating the front right quarter cube from the rest of the cube.
|