|
Graphical Abstract
An easily synthesized caged inducer for the glucocorticoid receptor is demonstrated to spatially and temporally control gene-expression and development in two well-known vertebrate models: Zebrafish and Xenopus. Biologically orthogonal to the ones for photo-activating proteins fused to the estrogen ERT receptor, it brings great prospect for activating two distinct proteins down to the single cell level.
|
|
Scheme 1
The strategy used to photo-activate a protein. a: A protein of interest (Prot) fused to a receptor (R) is inactivated by its assembly with a chaperone complex (CC). Upon photoactivation of a caged precursor (cInd), the inducer (Ind) is released and binds to the receptor. Its concomitant conformational change causes assembly disruption and activates the R-fused protein; b: implementation of this strategy with caged dexamethasone (cDEX-E, cDEX-A) to photoactivate a GR-fused protein; c: implementation of this strategy with caged cyclofen (cCYC)9a to photoactivate an ERT-fused protein.
|
|
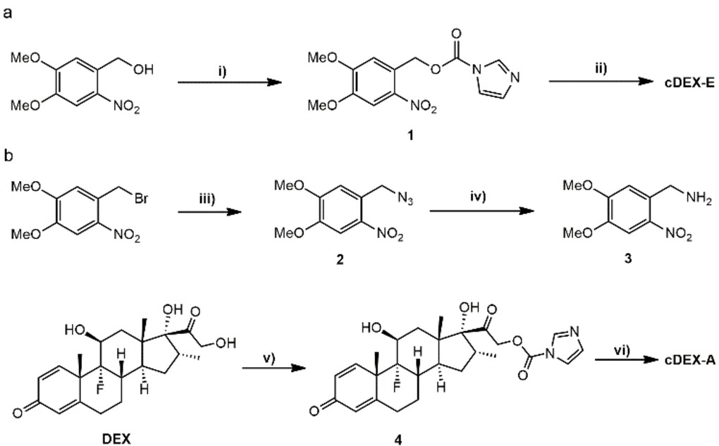
Scheme 2
Synthesis of the caged-dexamethasone derivatives, cDEX-E (a) and cDEX-A (b). i) CDI, DCM, RT, 2 h; ii) DEX, DMAP, THF, reflux, 48 h; iii) NaN3, acetone/water (1/1; v/v), RT, 18 h; iv) PPh3, water, THF, RT, 18 h; v) CDI, THF, reflux, 48 h; vi) 4,5-dimethoxy-2-nitrobenzylamine, THF, reflux, 48 h.
|
|
Figure 1
Kinetics and yield of cDEX-E and cDEX-A uncaging at 365 nm as evidenced by HPLC. Time evolution of the composition of 3 μM cDEX-E (a) and 7 μM cDEX-A (b) solutions upon 365 nm illumination at 1.6×10−4 (a) and 1.1×10−4 (b) E.m−2.s−1. Markers: concentrations of the caged compounds cDEX-E or cDEX-A (squares) and photoreleased DEX (circles) as extracted from the peak areas in the HPLC chromatograms; Solid lines: Monoexponential fit with Eq. (S1) respectively yielding 800 and 904 s for the characteristic times of cDEX-E and cDEX-A, and 1061 s and 1434 s for DEX. Solvent: 10 mM PBS pH=7.4. T=293 K.
|
|
Figure 2
cDEX-A photoactivation in Ventx-GR-injected zebrafish and Xenopus embryos. Whereas the zebrafish (a) and Xenopus (d) embryos injected with Ventx-GR mRNA and incubated in the dark with 15 μM cDEX-A at 4 hpf (a,b; inset; scale bar: 100 μm) and blastula stage (d,e; inset; scale bar: 500 μm) exhibit normal phenotypes at 24 hpf and tailbud stage respectively, upon illumination at 365 nm for 600 s these zebrafish (b) and Xenopus (e) embryos reveal strong phenotypes at 24 hpf (b) and tailbud stage (e); c,f: Extent of Ventx-GR-induced phenotype determined at 24 hpf (c) and tailbud stage (f) in zebrafish (c) and Xenopus (f) embryos incubated (+) or not (−) at 4 hpf (c) and blastula stage (f) with 7 or 15 μM DEX or cDEX-A and illuminated (+) or not (−) at 4 hpf (c) and blastula stage (f) at 365 nm with 5.7×10−4 E.m−2.s−1 for 600 s (see Tables S3 and S4 for zebrafish and Xenopus embryos respectively). Bars: Extent of phenotypes C–I (dark cyan), C–II (orange), and C–III (dark red) (see Figures S3 and S4 and Tables S3 and S4). T=293 K.
|
|
Figure 3
Towards orthogonal light-driven phenotype generation from using caged dexamethasone and caged cyclofen. a-b: Evidence that photoreleased cyclofen CYC does not activate the GR receptor activated by photoreleased dexamethasone DEX in vivo. Representative phenotypes generated at 24 hpf from illuminating Ventx-GR-injected zebrafish embryos conditioned with 10 μM solution of cDEX-A (a) and cCYC (b) at 4 hfp and illuminated with 365 nm light to fully release DEX promoting GR activation (inset; scale bar: 100 μm). White and red arrow represent head and tail part of the zebrafish embryos respectively; c: Phenotype extents from a,b evaluated as reported in Figure S3 and Table S5; d-e: Evidence that DEX does not activate the ERT receptor targeted by photoreleased cyclofen CYC in vivo. d: Observed at 3 dpf, Tg(β−actin:loxP-EOS-stop-loxP-KRASG12V−T2A−H2B-mTFP; ubi:Cre-ERT; myl7:EGFP) zebrafish transgenic growing embryos ubiquitously express the EOS fluorescent protein in the cell cytoplasm in the absence of any CRE-ERT activation (no cCYC and UV); it results in the observation of cytoplasmic green fluorescence (top). In contrast, when these embryos have been further conditioned at 24 hfp with 6 μM cCYC and illuminated with 365 nm light to fully liberate CYC that promotes CRE-ERT activation, they express the H2B-mTFP fluorescent protein in their nuclei (bottom). e: Upon 10 μM DEX treatment at 24 hfp, the zebrafish transgenic growing embryos do not exhibit any CRE-ERT activation as evidenced by the observation of ubiquitous green fluorescence from EOS (top) and by the absence of any nuclear blue fluorescence from TFP (bottom). In d,e, the asterisk (*) indicates the eyes and the white arrow the heart, whereas a (anterior), p (posterior), d (dorsal), and v (ventral) indicate the body axes of the zebrafish transgenic growing embryos (inset; scale bar: 250 μm); f: Phenotype extents determined from d,e in the zebrafish transgenic growing embryos (see Table S6). T=301 K.
|
|
Figure S1. UV-vis absorption spectra of the free and caged derivative of dexamethasone and cyclofen. a: Absorption
spectra of DEX (solid line), cDEX-E (dashed line), and cDEX-A (dotted line) recorded at 10 µM concentration in 10 mM
pH 7.4 PBS; b: absorption spectra of CYC (solid line) and cCYC (dashed line) recorded at 5 µM concentration in 10
mM pH 7.4 PBS. T = 293 K.
|
|
Figure S2. Quantitative analysis of cDEX-A uncaging at 365 nm from UV absorption reporting. a: Time evolution of the
absorption spectra of 7 µM cDEX-A in 10 mM pH = 7.4 PBS contained in a 1×1 cm2 quartz cuvette exposed to irradiation
at constant light intensity equal to 1.1×10-4 E.m-2
.s-1 at 365 nm. Time (s): 0, 60, 120, 180, 600, 900, 1200, 1500, 2100,
2700; b: Temporal evolution of the absorbance at 350 nm, which has been normalized at initial time. Markers:
Experimental data from a, lines: Monoexponential fit with Eq. (S1). The characteristic time 891 s has been retrieved
from the absorbance data. T = 293 K.
|
|
Figure S3. Classification of ventx-gr-injected zebrafish embryos at 24 hpf based on the degree of anomalies generated
by DEX treatment. a: C-I = normal phenotype; b: C-II = mild anomalies (smaller head or bent tail); c,d: C-III = strong
anomalies (smaller or lack of head and tail) (inset; scale bar: 100 μm). White and red arrow represent head and tail
part of the zebrafish embryos respectively. T = 293 K.
|
|
Figure S4. Classification of ventx-gr-injected xenopus embryos at stage 28 based on the degree of anomalies
generated by DEX treatment. a: C-I = normal phenotype; b: C-II = mild anomalies (smaller head or bent tail); c,d: C-III
= strong anomalies (smaller or lack of head and tail) (inset; scale bar: 500 μm). White and red arrow represent head
and tail part of the xenopus embryos respectively. T = 293 K.
|
|
Figure S5. Degree of anomalies of ventx-gr-injected zebrafish embryos upon activation of VENTX-gr with cDEX-E.
The zebrafish embryos were conditioned at 4 hfp with embryo medium (a; control), 15 μM DEX (b), 7 μM (c) and 15
μM cDEX-E (d) solution in the darkness (inset; scale bar: 100 μm) and the degree of anomalies of zebrafish embryos
were determined at 24 hpf. C-I = normal phenotype; C-III = strong anomalies (smaller or lack of head and tail). White
and red arrow represent head and tail part of the zebrafish embryos respectively. T = 293 K.
|
|
Figure S6. Degree of anomalies of ventx-gr-injected zebrafish embryos upon activation of VENTX-gr with cDEX-A
under illumination with 365 nm light. a,b: The zebrafish embryos at 4 hfp were conditioned with embryo medium (a;
control) and 15 μM cDEX-A solution (b; leakage test) under dark condition (inset; scale bar: 100 μm); c-f: The zebrafish
embryos conditioned at 4 hpf with 7 μM (zoom factor: 10x (c) and 20x (d)) and 15 μM (zoom factor: 10x (e) and 20x
(f)) for 40 min were illuminated for 600 s with 365 nm (I = 5.7×10-4 E.m-2
.s-1
) light (inset; scale bar: 100 μm (c and e)
and 50 μm (d and f)). The degree of anomalies of zebrafish embryos were determined at 24 hpf. C-I = normal
phenotype; C-II = mild anomalies (smaller head or bent tail); C-III = strong anomalies (smaller or lack of head and tail).
White and red arrow represent head and tail part of the zebrafish embryos respectively. T = 293 K.
|
|
Figure S7. Degree of anomalies of ventx-gr-injected xenopus embryos upon activation of VENTX-gr with cDEX-A
under illumination with 365 nm light. a,b: Xenopus embryos at blastula stage incubated for 1 h with embryo medium (a;
control) and 15 μM cDEX-A solution (b; leakage test) under dark condition; c,d: Xenopus embryos at blastula stage
incubated for 1 h with 7 μM (c) and 15 μM (d) for 40 min followed illumination for 600 s with 365 nm (I = 5.7×10-4 E.m2
.s-1
) light (inset; scale bar: 500 μm). The degree of anomalies of the xenopus embryos were determined at stage 28.
C-I = normal phenotype; C-II = mild anomalies (smaller head or bent tail); C-III = strong anomalies (smaller or lack of
head and tail). White and red arrow represent head and tail part of the xenopus embryos respectively. T = 293 K.
|
|
Figure S8. Degree of anomalies of ventx-gr-injected xenopus embryos upon activation of VENTX-gr with cDEX-A
under illumination with 365 nm light. a,b: Xenopus embryos at blastula stage incubated for 1 h with embryo medium (a;
control) and 15 μM cDEX-A solution (b; leakage test) under dark condition; c,d: Xenopus embryos at blastula stage
incubated for 1 h with 7 μM (c) and 15 μM (d) for 40 min followed by illumination for 600 s with 365 nm (I = 5.7×10-4
E.m-2
.s-1
) light (inset; scale bar: 500 μm). The degree of anomalies of the xenopus embryos were determined at stage
32. C-I = normal phenotype; C-II = mild anomalies (smaller head or bent tail); C-III = strong anomalies (smaller or lack
of head and tail). White and red arrow represent head and tail part of the xenopus embryos respectively. T = 293 K.
|