|
Graphical Abstract
|
|
Figure 1. Genetic code expansion in Xenopus. (A) Injection and UAA incorporation into a protein of interest (POI) in embryos. (B) Structure of 1. (C) Titration of 1 in the injection solution and incorporation into Rluc95UAG. (D) Incorporation of 1 (10 mM) over the first 72 h of development. (E) Incorporation of 1 into Rluc95UAG at 16 °C. All bars are means, and error bars are standard deviations from three embryos. (F) Nieuwkoop Faber (NF) stages of Xenopus embryos at certain time points at 23 °C. Panel F reproduced with permission from ref (37). Copyright 2022 The Company of Biologists. NT = nontreated embryo control. hpf = hours post-fertilization.
|
|
Figure 2. Genetic encoding of UAAs 2–6 in Xenopus embryos. Structures of 2–6. Blue represents caging groups that are removed after treatment with 405 nm light or a small molecule trigger. Incorporation of 2–6 into the luciferase reporter was accomplished after injection of all components, including 2, 4, and 5, while UAAs 3 and 6 were added to the media. Embryos were incubated at 23 °C, and assays were conducted at 24 hpf. Bars represent means, and error bars represent standard deviations of measurements from three independent embryos.
|
|
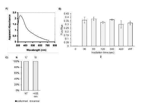
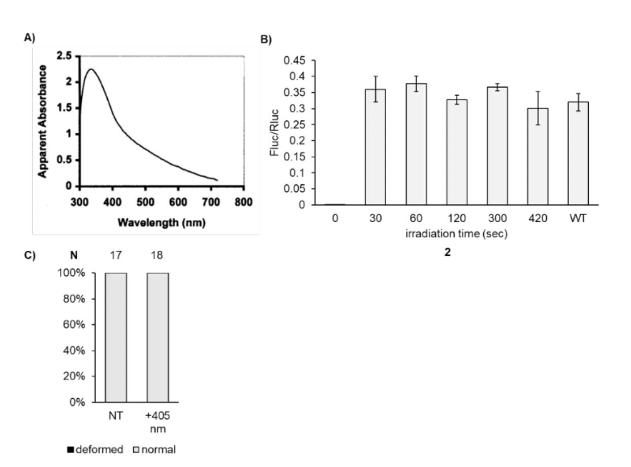
Figure 3. Conditional control of enzymatic activity with photocaged UAAs 2 and 3. (A) Luciferase enzymatic activation in Xenopus embryos with light. Structural representation of caging of the Fluc active site with either (B) 2 or (D) 3 before and after irradiation (PDB: 4G36). Incorporation of (C) 2 or (E) 3 into the dual luciferase reporter and irradiation for increasing duration with a 405 nm light at 24 hpf. Bars represent means, and error bars represent standard deviations of measurements from three independent embryos.
|
|
Figure 4. Conditional control of enzymatic activity through the incorporation of 4. (A) Chemical structures of the different tetrazines tested for decaging of 4 in vivo. (B) Tetrazine screen of dual-luciferase reporter activation. (C) Tetrazine 7 incubation timecourse. Bars represent mean, and error bars represent standard deviation of measurements from three independent embryos. No tet = no tetrazine control.
|
|
Figure 5. Conditional control of enzymatic activity through phosphine-based decaging of 5 incorporated into protein. (A) Chemical structures of the different phosphines tested. (B) Phosphine screen of dual-luciferase reporter activation. (C) Incubation timecourse with 16. Bars represent mean, and error bars represent standard deviation of measurements from three independent embryos. No phos. = no phosphine control.
|
|
Figure 6. Optical control of NRAS activity using photocaged lysine 2. (A) Structural representation of caging of the NRAS active site with 2 (PDB: 5UHV). (B) Western blot of incorporation of 2 into NRAS. (C) Caging of NRAS blocks its activity in the absence of light, and the ERKKTR-Clover reporter is nuclear localized. Irradiation at 405 nm activates NRAS, which leads to ERK activation and nuclear exclusion of the KTR. (D) Representative confocal images of the KTR reporter for each condition. Scale bar: 20 μm. (E) Quantification of the fluorescent cytosol/nucleus ratio. Bars represent means, and error bars represent standard deviations of measurements from 15 cells and three different embryos.
|
|
Figure S1. Plasmid map of constructs used in this study.
|
|
Figure S2. Luciferase assays after addition of UAAs to embryo media. UAAs were added to
Xenopus embryo media at a 1 mM final concentration (0.25 mM for 3) after injection of the
Rluc95UAG mRNA, PylRS mRNA, and PylT. Embryos were incubated at 23 °C and assays
were conducted at 24 hpf.
|
|
Figure S3. Toxicity assay of UAAs 1-6 in xenopus embryos measured at 24 hpf. A volume of 5 nl
of a 10 mM solution of UAAs 1, 2, 4, and 5 were injected and embryos were incubated at 23 °C
for 24 hours. For UAA 3, embryos were incubated at 23 °C in embryo media supplemented with
0.25 mM of 3. For UAA 6, embryos were incubated at 23 °C in embryo media supplemented with
1 mM of 6. N = 10 for each condition.
|
|
Figure S4. Assay after injection of WT Rluc mRNA (50 pg). Injection of 50 pg wild-type Rluc
mRNA, incubation at 23 °C for 24 hpf, then assay of three embryos per condition. Bars represent
mean and error bars represent standard deviation. NT = non-injected embryo control.
|
|
|
|
Figure S6. Toxicity assay of the tetrazines after exposure for 3 hours at 24 hpf and scoring at 48
hpf. Concentration for each tetrazine was 100 µM in embryo media. N = 15 for each condition.
|
|
Figure S7. Toxicity assay of phosphines after treatment at 48 hpf. Concentration was 50 µM for
15 and 100 µM for 16 and 17. Embryos were treated at 24 hpf for 3 hours and then scored at 48
hpf. N = 20 for each condition.
|
|
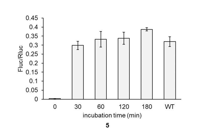
Figure S8. Activation of UAA 5 incorporated dual-luc reporter using phosphine after embryo lysis.
Phosphine 16 (100 µM) was added to the lysate and incubated at 23 °C for the time indicated.
Bars represent mean and error bars represent standard deviation of biological triplicate.
|
|
Figure S9. Schematic of the signaling pathways involving NRAS. Phosphorylation of ERK leads
to gene transcription.
|
|
Figure S10. Schematic of the ERK-KTR reporter. In its unphosphorylated state, the nuclear
localization predominates. Phosphorylation of the NLS sites by ERK inactivates the NLS
sequence, allowing for nuclear exclusion to predominate.
|