Click here to close
Hello! We notice that you are using Internet Explorer, which is not supported by Xenbase and may cause the site to display incorrectly.
We suggest using a current version of Chrome,
FireFox, or Safari.
Membranes (Basel)
2024 Jan 08;141:. doi: 10.3390/membranes14010018.
Show Gene links
Show Anatomy links
Cannabidiol Strengthening of Gastric Tight Junction Complexes Analyzed in an Improved Xenopus Oocyte Assay.
Stein L
,
Vollstaedt ML
,
Amasheh S
.
???displayArticle.abstract???
Cannabidiol (CBD), the non-psychoactive compound derived from the cannabis plant, has gained attention in recent years as a remedy against gastrointestinal disorders ranging from nausea and inflammation to abdominal pain. Recent advances demonstrated an effect on inflammatory pathways and barrier proteins. However, information on possible direct effects is scarce and needs to be addressed, as applications are currently increasing in popularity. To accomplish this, we have employed Xenopus laevis oocytes as a heterologous expression system for analysis of the direct effects on stomach-specific claudins and further developed tight junction (TJ) protein interaction assays. Human claudin-4, claudin-5, and claudin-18.2 were expressed in Xenopus oocytes, clustered in pairs to form contact areas, and analyzed in a two-cell model approach, including measurement of the contact area and contact strength. CLDN4/5/18 + CLDN4/5/18 oocyte pairs were incubated with 20 µM CBD or with 40 µM CBD and were compared to cells without CBD treatment (ctrl). For interaction analysis, the contact area was measured after 24 h and 48 h. Whereas CBD did not affect the size of the protein interaction area, Double Orbital Challenge experiments revealed an increased contact strength after 24 h incubation with CBD. In addition, the Xenopus oocyte experiments were accompanied by an analysis of claudin-4, -5, and -18 expression in gastric epithelium by immunoblotting and immunohistochemistry. Claudin-4, -5, and -18 were strongly expressed, indicating a major role for gastric epithelial barrier function. In summary, our study shows direct effects of 40 µM CBD on Xenopus oocytes heterologously expressing a stomach-specific claudin combination, indicating a supportive and beneficial effect of CBD on gastric TJ proteins.
Figure 1. Schematic depiction of the Double Orbital Challenge (DOC), a standardized adhesion assay. The DOC was carried out with oocyte pairs placed in a 24-well plate for 120 s using a plate reader to apply constant shear stress (lettering of supplier; arrow: direction of double orbital shaking treatment).
Figure 2. (A) Immunoblots of claudin-4, -5, -18 expression in porcine gastric tissue. (B) Localization of claudin-4, -5, -18 by confocal laser scanning immunofluorescence microscopy and (C–E) z-stacks of the respective claudin combinations; location of sections indicated by horizontal green and vertical red lines, respectively. Representative images (scale bars: 20 μm).
Figure 3. (A) Immunoblots of heterologous co-expression of claudin-4, claudin-5, and claudin-18.2 and (B) confocal laser scanning immunofluorescence microscopy to locate protein accumulation within the oocyte membrane. Representative images (scale bars: 20 μm).
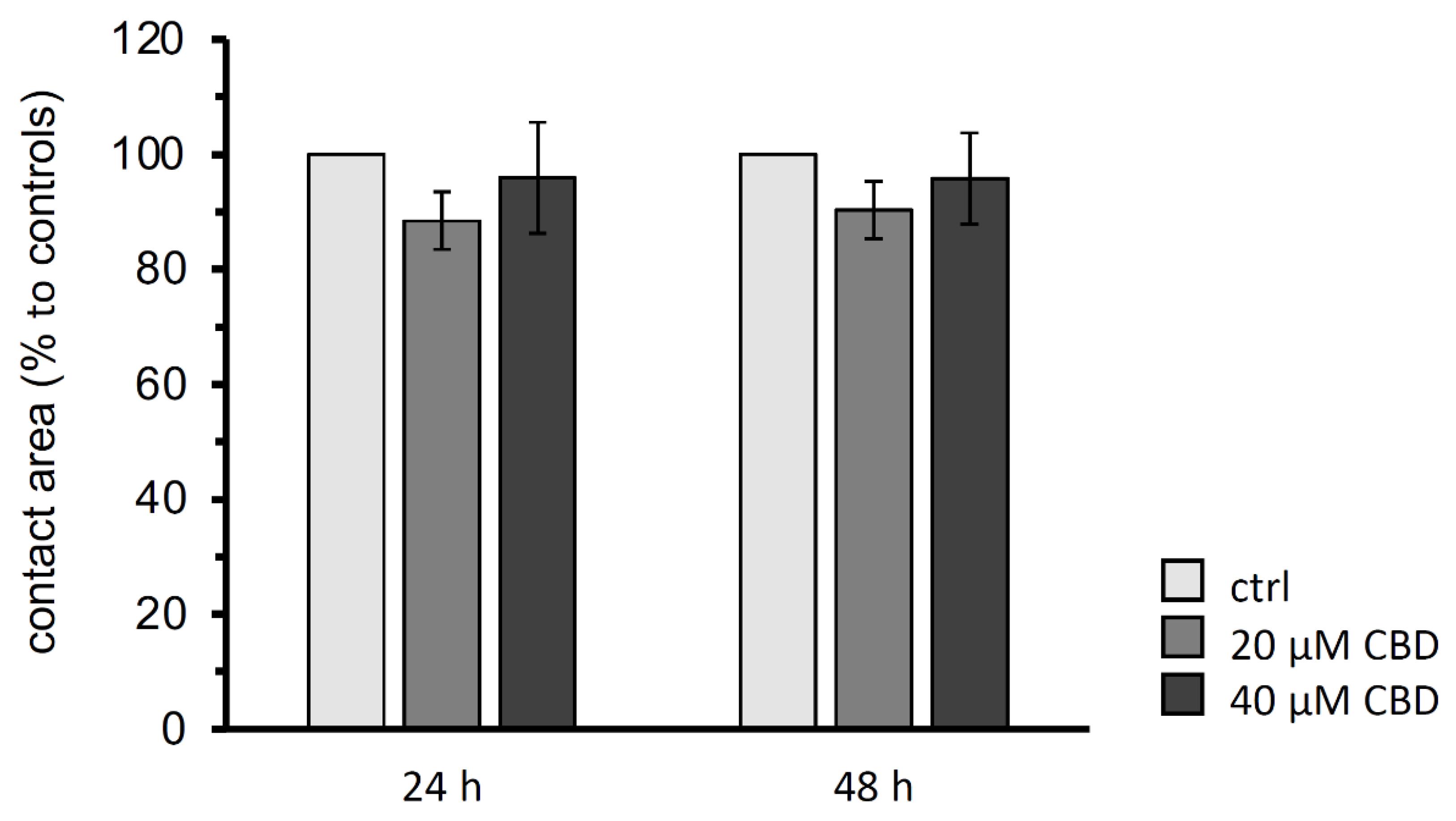
Figure 4. Contact areas size analysis of the paired oocyte assay after 24 h and 48 h. CBD revealed no changes in contact areas of claudin 4/5/18 expressing oocyte pairs (CLDN4/5/18 + CLDN4/5/18). Data are presented in mean ± SEM (N = 6, ctrl: n = 18, 20 µM CBD: n = 28, 40 µM CBD: n = 24, p > 0.05, Kruskal–Wallis test followed by a Dunn–Bonferroni correction).
Figure 5. Contact strength analysis using the Double Orbital Challenge (DOC) (A) in box plots and (B) visualization of paired oocytes (CLDN4/5/18 + CLDN4/5/18) by transmitted light optical microscopy before and after carrying out DOC. The Δ contact area after incubation with 40 µM CBD was significantly larger than in control oocytes (N = 3, n = 11, * p = 0.0472, Kruskal–Wallis test followed by a Dunn–Bonferroni correction). In contrast, the contact area difference of the oocyte pairs incubated with 20 µM CBD and ctrl was not significantly altered. Representative images (scale bars = 100 µm).
Abdel-Salam,
Gastric acid inhibitory and gastric protective effects of Cannabis and cannabinoids.
2016, Pubmed
Abdel-Salam,
Gastric acid inhibitory and gastric protective effects of Cannabis and cannabinoids.
2016,
Pubmed
Adejumo,
Reduced Risk of Alcohol-Induced Pancreatitis With Cannabis Use.
2019,
Pubmed
Amasheh,
Transport of charged dipeptides by the intestinal H+/peptide symporter PepT1 expressed in Xenopus laevis oocytes.
1997,
Pubmed
,
Xenbase
Amasheh,
Contribution of claudin-5 to barrier properties in tight junctions of epithelial cells.
2005,
Pubmed
Amasheh,
Electrophysiological analysis of the function of the mammalian renal peptide transporter expressed in Xenopus laevis oocytes.
1997,
Pubmed
,
Xenbase
Boehm,
Cannabidiol attenuates inflammatory impairment of intestinal cells expanding biomaterial-based therapeutic approaches.
2023,
Pubmed
Brunner,
Cellular Distribution Pattern of tjp1 (ZO-1) in Xenopus laevis Oocytes Heterologously Expressing Claudins.
2023,
Pubmed
,
Xenbase
Brunner,
Blood-Brain Barrier Protein Claudin-5 Expressed in Paired Xenopus laevis Oocytes Mediates Cell-Cell Interaction.
2020,
Pubmed
,
Xenbase
Burstein,
Cannabidiol (CBD) and its analogs: a review of their effects on inflammation.
2015,
Pubmed
Caron,
Tight junction disruption: Helicobacter pylori and dysregulation of the gastric mucosal barrier.
2015,
Pubmed
Cohen,
Cannabis and the Gastrointestinal Tract.
2020,
Pubmed
De Filippis,
Cannabidiol reduces intestinal inflammation through the control of neuroimmune axis.
2011,
Pubmed
Forooghi Nia,
The Anti-Helicobacter pylori effects of Limosilactobacillus reuteri strain 2892 isolated from Camel milk in C57BL/6 mice.
2023,
Pubmed
Garcia-Hernandez,
Intestinal epithelial claudins: expression and regulation in homeostasis and inflammation.
2017,
Pubmed
Gigli,
Cannabidiol restores intestinal barrier dysfunction and inhibits the apoptotic process induced by Clostridium difficile toxin A in Caco-2 cells.
2017,
Pubmed
Gurdon,
Use of frog eggs and oocytes for the study of messenger RNA and its translation in living cells.
1971,
Pubmed
,
Xenbase
Hayashi,
Deficiency of claudin-18 causes paracellular H+ leakage, up-regulation of interleukin-1β, and atrophic gastritis in mice.
2012,
Pubmed
Jovov,
Claudin-18: a dominant tight junction protein in Barrett's esophagus and likely contributor to its acid resistance.
2007,
Pubmed
Mayar,
Direct Regulation of Hyperpolarization-Activated Cyclic-Nucleotide Gated (HCN1) Channels by Cannabinoids.
2022,
Pubmed
,
Xenbase
Niimi,
claudin-18, a novel downstream target gene for the T/EBP/NKX2.1 homeodomain transcription factor, encodes lung- and stomach-specific isoforms through alternative splicing.
2001,
Pubmed
Nitta,
Size-selective loosening of the blood-brain barrier in claudin-5-deficient mice.
2003,
Pubmed
Otani,
Tight Junction Structure and Function Revisited.
2020,
Pubmed
Phelan,
Drosophila Shaking-B protein forms gap junctions in paired Xenopus oocytes.
1998,
Pubmed
,
Xenbase
Piontek,
Formation of tight junction: determinants of homophilic interaction between classic claudins.
2008,
Pubmed
Radloff,
Molecular Characterization of Barrier Properties in Follicle-Associated Epithelium of Porcine Peyer's Patches Reveals Major Sealing Function of Claudin-4.
2017,
Pubmed
Rahner,
Heterogeneity in expression and subcellular localization of claudins 2, 3, 4, and 5 in the rat liver, pancreas, and gut.
2001,
Pubmed
Reifarth,
The Ca2+-inactivated Cl- channel at work: selectivity, blocker kinetics and transport visualization.
1997,
Pubmed
,
Xenbase
Ruffolo,
GABAergic Neurotransmission in Human Tissues Is Modulated by Cannabidiol.
2022,
Pubmed
,
Xenbase
Schreiber,
Demonstration of a pH gradient in the gastric gland of the acid-secreting guinea pig mucosa.
2000,
Pubmed
Shui,
Recording Gap Junction Current from Xenopus Oocytes.
2022,
Pubmed
,
Xenbase
Stein,
Functional Analysis of Gastric Tight Junction Proteins in Xenopus laevis Oocytes.
2022,
Pubmed
,
Xenbase
Suzuki,
Deficiency of Stomach-Type Claudin-18 in Mice Induces Gastric Tumor Formation Independent of H pylori Infection.
2019,
Pubmed
Swenson,
Formation of gap junctions by expression of connexins in Xenopus oocyte pairs.
1989,
Pubmed
,
Xenbase
Tamura,
Claudin-based paracellular proton barrier in the stomach.
2012,
Pubmed
Tsukita,
Multifunctional strands in tight junctions.
2001,
Pubmed
Van Itallie,
Claudins and epithelial paracellular transport.
2006,
Pubmed
Vitzthum,
Xenopus oocytes as a heterologous expression system for analysis of tight junction proteins.
2019,
Pubmed
,
Xenbase
Wagner,
The use of Xenopus laevis oocytes for the functional characterization of heterologously expressed membrane proteins.
2000,
Pubmed
,
Xenbase
Zeng,
Using Xenopus oocytes in neurological disease drug discovery.
2020,
Pubmed
,
Xenbase