Click here to close
Hello! We notice that you are using Internet Explorer, which is not supported by Xenbase and may cause the site to display incorrectly.
We suggest using a current version of Chrome,
FireFox, or Safari.
Curr Res Physiol
2023 Jan 01;6:100100. doi: 10.1016/j.crphys.2023.100100.
Show Gene links
Show Anatomy links
Long-term Xenopus laevis tadpole -heart-organ-culture: Physiological changes in cholinergic and adrenergic sensitivities of tadpoleheart with thyroxine-treatment.
???displayArticle.abstract???
The present study clarified changes in physiological sensitivities of cultured Nieuwkoop and Faber stage 57 Xenopus laevis tadpole-organ-heart exposed to thyroxine (T4) using acetylcholine (ACh), norepinephrine (NE) and atropine. For preliminary life span and the chemical tests, 60% minimum essential medium (MEM), two types of modified Hank's balanced salt-solution-culture-media (MHBSS-CM) I and II containing relatively lower concentrations of amino acids and collagen were prepared. In preliminary lifespan-test of cultured tadpole hearts, the hearts maintained in 60% MEM was 50 days on average, whereas that of the tadpole-hearts in MHBSS-CMs was extended by 109 days on average, showing superior effectiveness of MHBSS-CMs. 4 min-stimulation by 5 × 10-9 M T4 tended to increase the tadpole heartbeat. 10-9 M ACh decreased the tadpole heartbeat. Frog-heart at 2-4 weeks after metamorphosis completion and tadpoleheart treated with 5 × 10-10 M T4 for 45 h also responded to 10-9 M ACh, and low-resting hearts were restored to the control level with the competitive muscarinic antagonist 10-8 M atropine, whereas excessive exposure of 10-5 M atropine to T4-treated tadpoleheart did not increase heartbeat in spite of the increased frog heartbeat over the control. 10-14 -10-12 M NE increase the tadpole heartbeat in a concentration-dependent manner, however, 10-12 M NE did not act to stimulate adrenergic receptors on both T4-treated tadpole- and the frog-hearts. These results suggest that T4 induces the desensitization of atropine-sensitive muscarinic and adrenergic receptors in organ-cultured tadpole-heart.
Fig. 1. Culture days of st. 57 X. laevis heart in 60% MEM and MHBSS-CM I and II. This experiment was carried out using 4 hearts in 60% MEM and 6 hearts in MHBSS-CM I-II. Values given represent the mean value ± standard error. *Significantly greater (P < 0.05) than the corresponding value for 60% MEM. Long-term culture of spontaneously beating tadpole-hearts. Each medium composition of MHBSS-CM I and II was mentioned in the section of ‘Materials and Methods’.
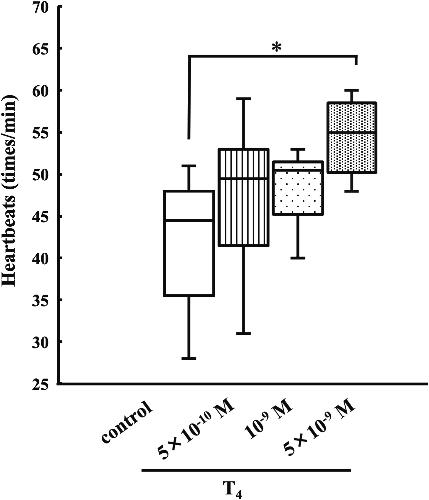
Fig. 2. Effect of T4 on st. 57 tadpoleheart. Box length indicates the interquartile range or IQR (25th to 75th percentile), and the horizontal line shows the median. The whiskers show distance 1.5 times IQR. This experiment was carried out using 6 hearts. *Significantly greater (P < 0.05) than the corresponding control value.
Fig. 3. ACh-decreased heartbeats frequency of organ-cultured st. 57 hearts. Each value was measured by number of heartbeats times per minute, and represented by ratio to the control value. Experiment was carried out using 4 hearts. Values given represent the mean value ± standard error.
Fig. 4. Effects of ACh and atropine on T4-treated tadpole- and 2–4 weeks frog-hearts. This experiment was carried out using four hearts. Values given represent the mean value ± standard error. Atropine treatments were carried out at 2 min (10−8 M atropine) and 4 min (10−5 M atropine) after ACh treatment. Each value was measured by number of heartbeats times per minute, and represented by ratio given to the control value. Experiment was carried out using 4 hearts. *Significantly less (P < 0.05) than the corresponding value for the rate for the frog heartbeats.
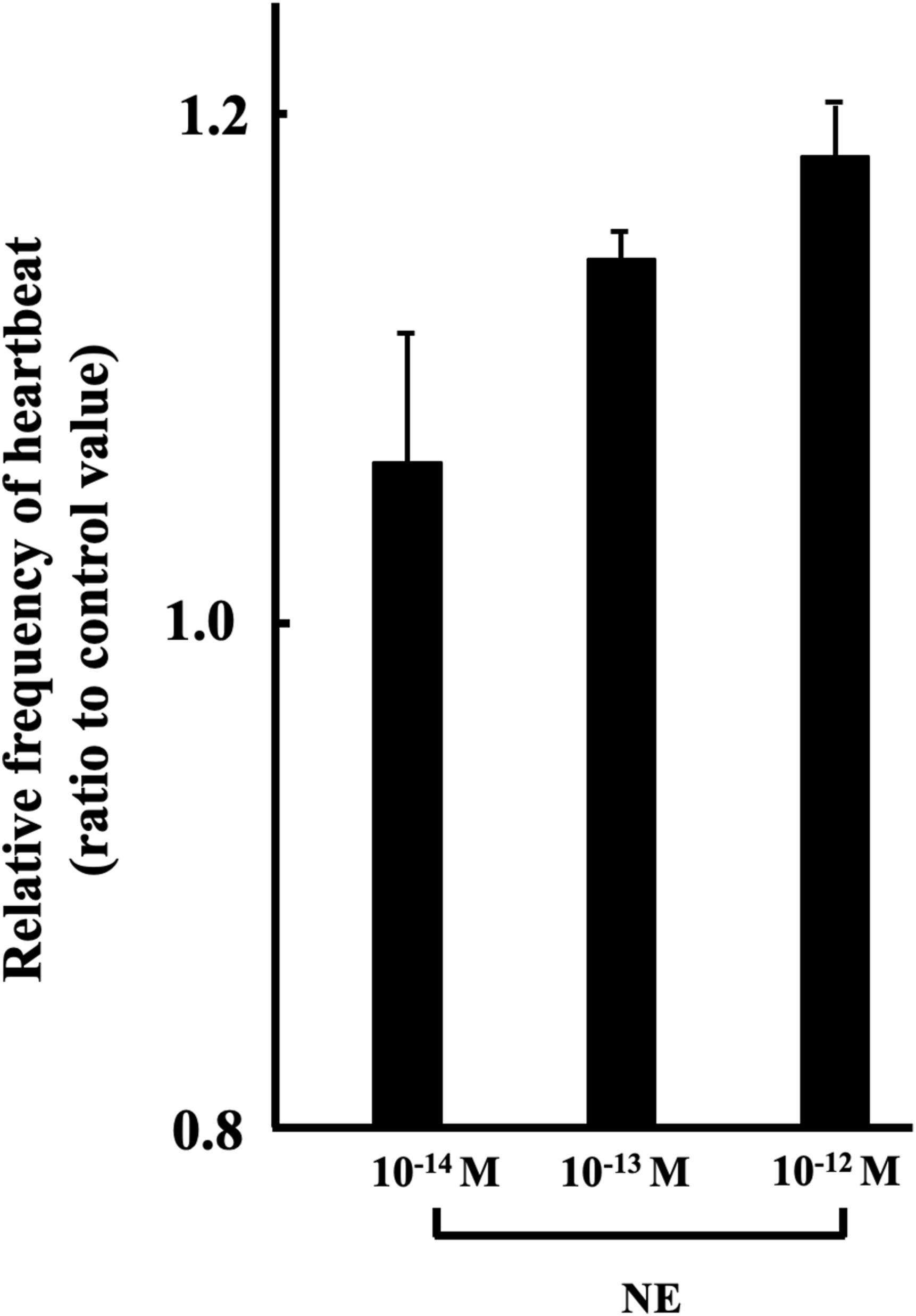
Fig. 5. Effect of NE on in vitro st. 57 hearts in 60% MEM. Each value was measured by number of heartbeats times per minute, and represented by ratio given to the control value. Experiment was carried out using 4 hearts. Values given represent the mean value ± standard error.
Fig. 6. Effect of NE on T4-treated st. 57- and 2–4 weeks frog-hearts after metamorphosis completion. Values given represent the mean value ± standard error. Each value was measured by number of heartbeats times per minute, and represented by ratio given to the control value. Experiment was carried out using 4 hearts. *Significantly less (P < 0.05) than the corresponding values for the ratio given to the value from st. 57 hearts. *Significantly less (P < 0.05) than the corresponding values for the ratio given to the value from st. 57 hearts (control). **Significantly less (P < 0.01) than the corresponding values for the ratio given to the value from st. 57 hearts (control).
Aceves,
Effects of norepinephrine on tissues of the frog heart atrium poisoned by tetrodotoxin.
1967, Pubmed
Aceves,
Effects of norepinephrine on tissues of the frog heart atrium poisoned by tetrodotoxin.
1967,
Pubmed
Bradford,
A rapid and sensitive method for the quantitation of microgram quantities of protein utilizing the principle of protein-dye binding.
1976,
Pubmed
Buckley,
Temperature modulation of alpha- and beta-adrenoceptors in the isolated frog heart.
1970,
Pubmed
Burggren,
Amphibians as animal models for laboratory research in physiology.
2007,
Pubmed
,
Xenbase
Burggren,
The action of acetylcholine upon heart rate changes markedly with development in bullfrogs.
1986,
Pubmed
Chang,
Chronotropic responses of human heart tissue cultures.
1972,
Pubmed
DEL CASTILLO,
Production of membrane potential changes in the frog's heart by inhibitory nerve impulses.
1955,
Pubmed
Hamada,
Biochemical metamorphosis of hemoglobin in Rana catesbeiana. 3. Molecular change of hemoglobin during spontaneous metamorphosis.
1966,
Pubmed
Hanada,
Dl-α-tocopherol enhances the herbicide 1,1'-dimetyl-4,4'-bipyridium dichloride (paraquat, PQ) genotoxicity in cultured anuran leukocytes.
2011,
Pubmed
Hanada,
Phenolic antioxidant 2,6-di-tert-butyl-p-cresol (vitamin E synthetic analogue) does not inhibit 1,1'-dimetyl-4,4'-bipyridium dichloride (paraquat)-induced structural chromosomal damage in cultured leukocytes of the dark-spotted-frog Pelophylax (Rana) nigromaculatus.
2012,
Pubmed
Hanada,
Do reactive oxygen species underlie the mechanism of apoptosis in the tadpole tail?
1997,
Pubmed
Hartzell,
Distribution of muscarinic acetylcholine receptors and presynaptic nerve terminals in amphibian heart.
1980,
Pubmed
,
Xenbase
Hernández,
Electrophysiological characteristics of cardiac pacemaker cells of the frog Caudiverbera caudiverbera.
1987,
Pubmed
Hoit,
Effects of thyroid hormone on cardiac beta-adrenergic responsiveness in conscious baboons.
1997,
Pubmed
Hsu,
Role of vitamin B6 status on antioxidant defenses, glutathione, and related enzyme activities in mice with homocysteine-induced oxidative stress.
2015,
Pubmed
HUTTER,
Effect of vagal stimulation on the sinus venosus of the frog's heart.
1955,
Pubmed
HUTTER,
Vagal and sympathetic effects on the pacemaker fibers in the sinus venosus of the heart.
1956,
Pubmed
Jacobsson,
Development of adrenergic and cholinergic cardiac control in larvae of the African clawed frog Xenopus laevis.
1999,
Pubmed
,
Xenbase
Jensen,
Alpha-1-adrenergic receptors: targets for agonist drugs to treat heart failure.
2011,
Pubmed
Ju,
Intracellular calcium and Na+-Ca2+ exchange current in isolated toad pacemaker cells.
1998,
Pubmed
Kashiwagi,
Peroxisomal enzyme activity changes in the tail of anuran tadpoles during metamorphosis.
1995,
Pubmed
Kashiwagi,
Xenopus tropicalis: an ideal experimental animal in amphibia.
2010,
Pubmed
,
Xenbase
Lajmanovich,
Insecticide pyriproxyfen (Dragón®) damage biotransformation, thyroid hormones, heart rate, and swimming performance of Odontophrynus americanus tadpoles.
2019,
Pubmed
Okai,
Potent radical-scavenging activities of thiamin and thiamin diphosphate.
2007,
Pubmed
Olejnickova,
Isolated heart models: cardiovascular system studies and technological advances.
2015,
Pubmed
Peltzer,
Biotoxicity of diclofenac on two larval amphibians: Assessment of development, growth, cardiac function and rhythm, behavior and antioxidant system.
2019,
Pubmed
Puia,
Thyroid hormones reduce nicotinic receptor mediated currents in SH-SY5Y neuroblastoma cells.
2020,
Pubmed
Ruthsatz,
Shifts in sensitivity of amphibian metamorphosis to endocrine disruption: the common frog (Rana temporaria) as a case study.
2020,
Pubmed
Stene-Larsen,
Cardiac beta2-adrenoceptor in the frog.
1978,
Pubmed
Taguchi,
Development of the heartbeat during normal ontogeny and during long-term organ culture of hearts of the newt, Cynops pyrrhogaster.
1989,
Pubmed
Takahashi,
Engineered Human Contractile Myofiber Sheets as a Platform for Studies of Skeletal Muscle Physiology.
2018,
Pubmed
Uehara,
Developmental physiology of cardiac contraction in the Japanese newt in vivo and in vitro.
1989,
Pubmed
Williams,
Thyroid hormone regulation of beta-adrenergic receptor number.
1977,
Pubmed
Wright,
Amphibious fishes: evolution and phenotypic plasticity.
2016,
Pubmed