Click here to close
Hello! We notice that you are using Internet Explorer, which is not supported by Xenbase and may cause the site to display incorrectly.
We suggest using a current version of Chrome,
FireFox, or Safari.
???displayArticle.abstract???
Amphibian metamorphosis is controlled by thyroid hormone (TH), which binds TH receptors (TRs) to regulate gene expression programs that underlie morphogenesis. Gene expression screens using tissues from premetamorphic tadpoles treated with TH identified some TH target genes, but few studies have analyzed genome-wide changes in gene regulation during spontaneous metamorphosis. We analyzed RNA sequencing data at four developmental stages from the beginning to the end of spontaneous metamorphosis, conducted on the neuroendocrine centers of Xenopus tropicalis tadpolebrain. We also conducted chromatin immunoprecipitation sequencing (ChIP-seq) for TRs, and we compared gene expression changes during metamorphosis with those induced by exogenous TH. The mRNA levels of 26% of protein coding genes changed during metamorphosis; about half were upregulated and half downregulated. Twenty four percent of genes whose mRNA levels changed during metamorphosis had TR ChIP-seq peaks. Genes involved with neural cell differentiation, cell physiology, synaptogenesis and cell-cell signaling were upregulated, while genes involved with cell cycle, protein synthesis, and neural stem/progenitor cell homeostasis were downregulated. There is a shift from building neural structures early in the metamorphic process, to the differentiation and maturation of neural cells and neural signaling pathways characteristic of the adult frog brain. Only half of the genes modulated by treatment of premetamorphic tadpoles with TH for 16 h changed expression during metamorphosis; these represented 33% of the genes whose mRNA levels changed during metamorphosis. Taken together, our results provide a foundation for understanding the molecular basis for metamorphosis of tadpolebrain, and they highlight potential caveats for interpreting gene regulation changes in premetamorphic tadpoles induced by exogenous TH.
Fig 2. Patterns of gene regulation in X. tropicalis tadpolebrain during spontaneous metamorphosis or after T3 treatment analyzed by RNA-sequencing.
A. Clustering analysis showing five patterns of gene expression changes across four stages of metamorphosis. B. Venn diagram showing numbers of genes regulated with overlaps in three developmental stage comparisons. C. Venn diagram showing the overlap between all genes that changed expression during spontaneous metamorphosis with genes induced or repressed by exogenous T3 in premetamorphic tadpoles.
Fig 3. Distribution across the genome of thyroid hormone receptor ChIP-seq peaks in X. tropicalis neural cells.
A. TR ChIP-seq peaks were found across the entire genome and uniformly distributed on the 10 chromosomes of X. tropicalis. B. A majority of TR ChIP-seq peaks were located +/- 1 kb from the transcription start sites (TSS) of genes. C. Pie chart showing the distribution of TR ChIP-seq peaks across the X. tropicalis genome by genomic feature. D. IGV genome browser tracks showing the locations of TR ChIP-seq peaks (TR peaks; light blue bars) at four loci. Shown are two genes that were upregulated (nucleus accumbens associated 1—nacc1, peak range 0–291; thyroid hormone induced bZip protein—thibz, peak range 0–250) and 2 that were downregulated (aurora kinase A—aurka, peak range 0–326; E2F transcription factor 5—e2f5, peak range 0–233) during metamorphosis. Gene structures are shown in dark blue below the genome tracks.
Fig 4. Cell cycle control genes and genes encoding components of the Wnt/b-catenin signaling pathway are downregulated during metamorphosis.
A. Shown are the mean+SEM (n = 3/NF developmental stage) of RNA-seq count data (top) and RTqPCR data (bottom; n = 5/NF developmental stage) for four cell cycle control genes: Cyclin b1—ccnb1.2; cyclin a2—ccna2; cyclin-dependent kinase 1—cdk1; E2F transcription factor—e2f1. B. KEGG pathway analysis of RNA-seq data for gene expression changes during metamorphosis in X. tropicalis tadpolebrain. Shown is the cell cycle control pathway. C. Shown are the mean+SEM (n = 3/NF developmental stage) of RNA-seq count data for 4 genes: Wnt family member 1—wnt1; Wnt family member 3—wnt3; frizzled class receptor 2—fzd2; frizzled class receptor 10—fzd10.
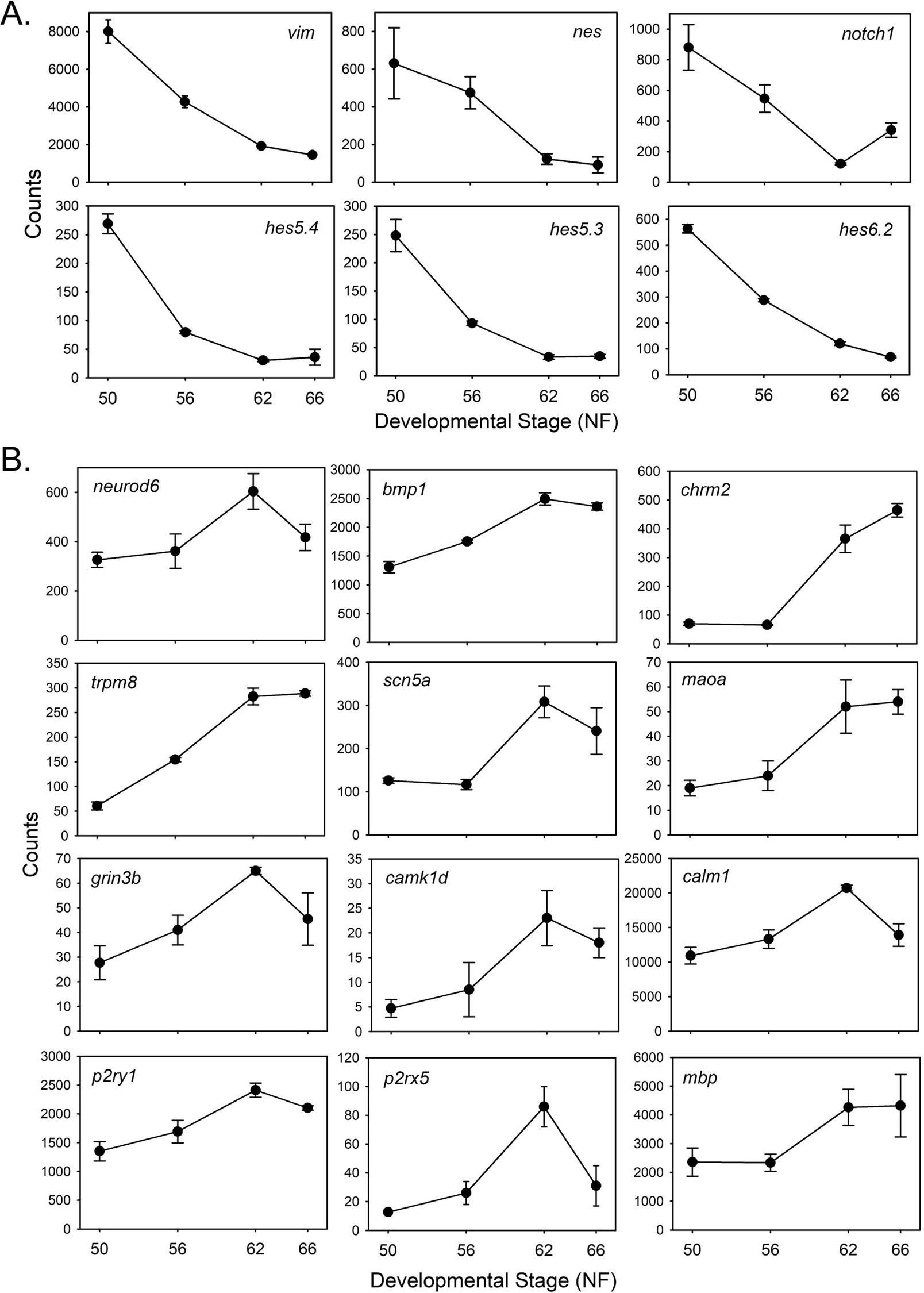
Fig 5. Genes encoding stem/progenitor cell markers are downregulated, while genes encoding neural differentiation-related proteins are upregulated during metamorphosis.
A. Shown are the mean+SEM (n = 3/NF developmental stage) of RNA-seq count data for 6 stem/progenitor cell marker genes: Vimentin—vim; nestin—nes; notch 1 receptor—notch1; hairy and enhancer of split 5 gene 4 –hes5.4; hairy and enhancer of split 5 gene 3—hes5.3; hairy and enhancer of split 6 gene 2—hes6.2. B. Shown are the mean+SEM (n = 3/NF developmental stage) of RNA-seq count data for 12 neural differentiation-related genes: Neuronal differentiation 6—neurod6; bone morphogenetic protein 1—bmp1; cholinergic receptor muscarinic 2—chrm2; transient receptor potential cation channel, subfamily M, member 8—trpm8; sodium channel, voltage gated, type V alpha subunit—scn5a; monoamine oxidase A—maoa; glutamate receptor, ionotropic, N-methyl-D-aspartate 3B - grin3b; calcium/calmodulin dependent protein kinase ID—camk1d; calmodulin 1—calm1; purinergic receptor P2Y, G-protein coupled, 1—p2ry1; purinergic receptor P2X, ligand gated ion channel, 5—p2rx5; myelin basic protein—mbp.
Fig 6. Genes encoding proteins involved with ribosome biogenesis and protein synthesis are downregulated during metamorphosis.
A. KEGG pathway analysis of RNA-seq data for gene expression changes during metamorphosis in X. tropicalis tadpolebrain (preoptic area/thalamus/hypothalamus). Shown is the ribosome biogenesis pathway. B. Shown are the mean+SEM (n = 3/NF developmental stage) of RNA-seq count data for 9 genes: Eukaryotic translation elongation factor 1 alpha 1—eef1a1o; eukaryotic translation elongation factor 1 beta 2—eef1b2; eukaryotic translation elongation factor 1 alpha 1—eef1a1; ribosomal protein L9—rpl9; ribosomal protein L3—rpl3; ribosomal protein S19- rps19; ribosomal oxygenase 2- riox2; eukaryotic translation initiation factor 3 subunit E—eif3e; eukaryotic translation initiation factor 3 subunit D—eif3d.
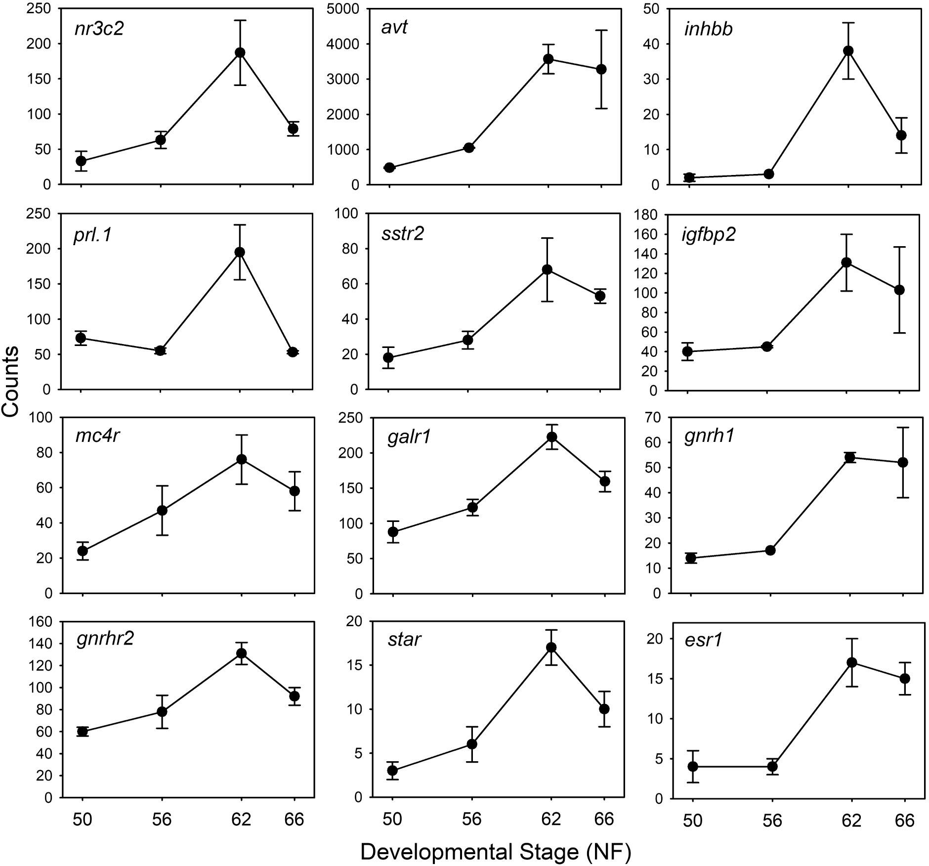
Fig 7. Genes encoding neuroendocrine-related proteins are upregulated during metamorphosis.
Shown are the mean+SEM (n = 3/NF developmental stage) of RNA-seq count data for 12 genes: Nuclear receptor subfamily 3 group C member 2 (mineralocorticoid receptor)—nr3c2; arginine vasotocin—avt*; inhibin subunit beta B—inhbb; prolactin, gene 1—prl.1; somatostatin receptor 2—sstr2; insulin like growth factor binding protein 2—igfbp2; melanocortin 4 receptor—mc4r; galanin receptor 1—galr1; gonadotropin releasing hormone 1—gnrh1; gonadotropin releasing hormone receptor 2—gnrhr2; steroidogenic acute regulatory protein—star; estrogen receptor 1—esr1. *This gene is mislabeled in the genome database as arginine vasopressin (avp) which is a mammalian gene. The amphibian gene is arginine vasotocin (avt).
S1 Fig. Region of the tadpolebrain dissected for RNA extraction and analysis by RNA-seq at four stages of metamorphosis, or after T3 treatment of premetamorphic tadpoles.
The coronal anatomical diagrams of Xenopus brain are from Tuinhof and colleagues [93] with modifications by Yao and colleagues [94]. Dotted lines demarcate the region of the tadpolebrain that was dissected. Abbreviations: Apl, Amygdala pars lateralis; BNST, bed nucleus of the stria terminalis; C, central thalamic nucleus; CeA, central amygdala; dp, dorsal pallium; LA, lateralamygdala; LH, Lateralhypothalamus lp, lateralpallium; Lpv, lateral thalamic nucleus, pars posteroventralis; MeA, medialamygdala; mp, medialpallium; NPv, nucleus of the paraventricular organ; nII, cranial nerve II; OB, olfactory bulb; OT, optic tectum; P, posterior thalamic nucleus; POa, preoptic area; Tel, telencephalon; VH, ventral hypothalamic nucleus; VM, ventromedial thalamic nucleus.
Abu-Jamous,
Clust: automatic extraction of optimal co-expressed gene clusters from gene expression data.
2018, Pubmed
Abu-Jamous,
Clust: automatic extraction of optimal co-expressed gene clusters from gene expression data.
2018,
Pubmed
Ayers,
Genome-wide binding patterns of thyroid hormone receptor beta.
2014,
Pubmed
Babicki,
Heatmapper: web-enabled heat mapping for all.
2016,
Pubmed
Bagamasbad,
Deciphering the regulatory logic of an ancient, ultraconserved nuclear receptor enhancer module.
2015,
Pubmed
,
Xenbase
Bedó,
Early thyroid hormone-induced gene expression changes in N2a-β neuroblastoma cells.
2011,
Pubmed
Bender,
To eat or not to eat: ontogeny of hypothalamic feeding controls and a role for leptin in modulating life-history transition in amphibian tadpoles.
2018,
Pubmed
,
Xenbase
Billon,
Role of thyroid hormone receptors in timing oligodendrocyte differentiation.
2001,
Pubmed
Bonett,
Molecular mechanisms of corticosteroid synergy with thyroid hormone during tadpole metamorphosis.
2010,
Pubmed
,
Xenbase
Brown,
Amphibian metamorphosis.
2007,
Pubmed
,
Xenbase
Buchholz,
Xenopus metamorphosis as a model to study thyroid hormone receptor function during vertebrate developmental transitions.
2017,
Pubmed
,
Xenbase
Buchholz,
Pairing morphology with gene expression in thyroid hormone-induced intestinal remodeling and identification of a core set of TH-induced genes across tadpole tissues.
2007,
Pubmed
,
Xenbase
Buckbinder,
Thyroid hormone-induced gene expression changes in the developing frog limb.
1992,
Pubmed
,
Xenbase
Chatonnet,
A temporary compendium of thyroid hormone target genes in brain.
2015,
Pubmed
Chatonnet,
Genome-wide analysis of thyroid hormone receptors shared and specific functions in neural cells.
2013,
Pubmed
Chen,
Increased Neuronal Differentiation of Neural Progenitor Cells Derived from Phosphovimentin-Deficient Mice.
2018,
Pubmed
Cheng,
Molecular aspects of thyroid hormone actions.
2010,
Pubmed
Cordero-Véliz,
Transcriptome analysis of the response to thyroid hormone in Xenopus neural stem and progenitor cells.
2023,
Pubmed
,
Xenbase
Crespi,
Roles of stress hormones in food intake regulation in anuran amphibians throughout the life cycle.
2005,
Pubmed
Das,
Identification of direct thyroid hormone response genes reveals the earliest gene regulation programs during frog metamorphosis.
2009,
Pubmed
,
Xenbase
Davidson,
Emerging links between CDK cell cycle regulators and Wnt signaling.
2010,
Pubmed
Denver,
Thyroid hormone-dependent gene expression program for Xenopus neural development.
1997,
Pubmed
,
Xenbase
Denver,
Thyroid hormone receptor subtype specificity for hormone-dependent neurogenesis in Xenopus laevis.
2009,
Pubmed
,
Xenbase
Denver,
The molecular basis of thyroid hormone-dependent central nervous system remodeling during amphibian metamorphosis.
1998,
Pubmed
Denver,
Basic transcription element-binding protein (BTEB) is a thyroid hormone-regulated gene in the developing central nervous system. Evidence for a role in neurite outgrowth.
1999,
Pubmed
Dong,
Identification of thyroid hormone receptor binding sites and target genes using ChIP-on-chip in developing mouse cerebellum.
2009,
Pubmed
Fu,
Involvement of epigenetic modifications in thyroid hormone-dependent formation of adult intestinal stem cells during amphibian metamorphosis.
2019,
Pubmed
,
Xenbase
Fu,
Genome-wide identification of thyroid hormone receptor targets in the remodeling intestine during Xenopus tropicalis metamorphosis.
2017,
Pubmed
,
Xenbase
Fullwood,
ChIP-based methods for the identification of long-range chromatin interactions.
2009,
Pubmed
Furlow,
In vitro and in vivo analysis of the regulation of a transcription factor gene by thyroid hormone during Xenopus laevis metamorphosis.
1999,
Pubmed
,
Xenbase
Furlow,
The transcription factor basic transcription element-binding protein 1 is a direct thyroid hormone response gene in the frog Xenopus laevis.
2002,
Pubmed
,
Xenbase
Galouzis,
Regulating specificity in enhancer-promoter communication.
2022,
Pubmed
Grøntved,
Transcriptional activation by the thyroid hormone receptor through ligand-dependent receptor recruitment and chromatin remodelling.
2015,
Pubmed
Guigon,
Regulation of beta-catenin by a novel nongenomic action of thyroid hormone beta receptor.
2008,
Pubmed
Heimeier,
The xenoestrogen bisphenol A inhibits postembryonic vertebrate development by antagonizing gene regulation by thyroid hormone.
2009,
Pubmed
,
Xenbase
Heimeier,
Studies on Xenopus laevis intestine reveal biological pathways underlying vertebrate gut adaptation from embryo to adult.
2010,
Pubmed
,
Xenbase
Hellsten,
The genome of the Western clawed frog Xenopus tropicalis.
2010,
Pubmed
,
Xenbase
Herold,
CTCF: insights into insulator function during development.
2012,
Pubmed
Hönes,
Canonical Thyroid Hormone Receptor β Action Stimulates Hepatocyte Proliferation in Male Mice.
2022,
Pubmed
Hoopfer,
Basic transcription element binding protein is a thyroid hormone-regulated transcription factor expressed during metamorphosis in Xenopus laevis.
2002,
Pubmed
,
Xenbase
Hu,
A Mechanism to Enhance Cellular Responsivity to Hormone Action: Krüppel-Like Factor 9 Promotes Thyroid Hormone Receptor-β Autoinduction During Postembryonic Brain Development.
2016,
Pubmed
,
Xenbase
Kanamori,
Cultured cells as a model for amphibian metamorphosis.
1993,
Pubmed
,
Xenbase
Kanamori,
The regulation of thyroid hormone receptor beta genes by thyroid hormone in Xenopus laevis.
1992,
Pubmed
,
Xenbase
Kikuyama,
Development of the hypothalamo-hypophyseal system in amphibians with special reference to metamorphosis.
2021,
Pubmed
Kikuyama,
Aspects of amphibian metamorphosis: hormonal control.
1993,
Pubmed
,
Xenbase
Kobayashi,
Expression dynamics and functions of Hes factors in development and diseases.
2014,
Pubmed
Krain,
Developmental expression and hormonal regulation of glucocorticoid and thyroid hormone receptors during metamorphosis in Xenopus laevis.
2004,
Pubmed
,
Xenbase
Kress,
Thyroid hormones and the control of cell proliferation or cell differentiation: paradox or duality?
2009,
Pubmed
Kulkarni,
Beyond synergy: corticosterone and thyroid hormone have numerous interaction effects on gene regulation in Xenopus tropicalis tadpoles.
2012,
Pubmed
,
Xenbase
Kulkarni,
Developmental programs and endocrine disruption in frog metamorphosis: the perspective from microarray analysis.
2013,
Pubmed
Kyono,
DNA methylation dynamics underlie metamorphic gene regulation programs in Xenopus tadpole brain.
2020,
Pubmed
,
Xenbase
Lebel,
Overexpression of the beta 1 thyroid receptor induces differentiation in neuro-2a cells.
1994,
Pubmed
Lemkine,
Adult neural stem cell cycling in vivo requires thyroid hormone and its alpha receptor.
2005,
Pubmed
Li,
ChIA-PET tool for comprehensive chromatin interaction analysis with paired-end tag sequencing.
2010,
Pubmed
Liao,
Cell landscape of larval and adult Xenopus laevis at single-cell resolution.
2022,
Pubmed
,
Xenbase
Luo,
Pathview Web: user friendly pathway visualization and data integration.
2017,
Pubmed
Machuca,
Analysis of structure and expression of the Xenopus thyroid hormone receptor-beta gene to explain its autoinduction.
1995,
Pubmed
,
Xenbase
Miller,
Silencing of Wnt signaling and activation of multiple metabolic pathways in response to thyroid hormone-stimulated cell proliferation.
2001,
Pubmed
Morte,
Aberrant maturation of astrocytes in thyroid hormone receptor alpha 1 knockout mice reveals an interplay between thyroid hormone receptor isoforms.
2004,
Pubmed
Mukhi,
Gene switching at Xenopus laevis metamorphosis.
2010,
Pubmed
,
Xenbase
Özdemir,
The Role of Insulation in Patterning Gene Expression.
2019,
Pubmed
Paul,
Thyroid and Corticosteroid Signaling in Amphibian Metamorphosis.
2022,
Pubmed
Perez-Juste,
The cyclin-dependent kinase inhibitor p27(Kip1) is involved in thyroid hormone-mediated neuronal differentiation.
1999,
Pubmed
Pérez-Juste,
An element in the region responsible for premature termination of transcription mediates repression of c-myc gene expression by thyroid hormone in neuroblastoma cells.
2000,
Pubmed
Raj,
Thyroid Hormone Induces DNA Demethylation in Xenopus Tadpole Brain.
2020,
Pubmed
,
Xenbase
Ramadoss,
Novel mechanism of positive versus negative regulation by thyroid hormone receptor β1 (TRβ1) identified by genome-wide profiling of binding sites in mouse liver.
2014,
Pubmed
Ranjan,
Transcriptional repression of Xenopus TR beta gene is mediated by a thyroid hormone response element located near the start site.
1994,
Pubmed
,
Xenbase
Reimand,
g:Profiler--a web server for functional interpretation of gene lists (2011 update).
2011,
Pubmed
Searcy,
Thyroid hormone-dependent development in Xenopus laevis: a sensitive screen of thyroid hormone signaling disruption by municipal wastewater treatment plant effluent.
2012,
Pubmed
,
Xenbase
Shi,
The earliest changes in gene expression in tadpole intestine induced by thyroid hormone.
1993,
Pubmed
,
Xenbase
Shtutman,
The cyclin D1 gene is a target of the beta-catenin/LEF-1 pathway.
1999,
Pubmed
Sun,
Expression profiling of intestinal tissues implicates tissue-specific genes and pathways essential for thyroid hormone-induced adult stem cell development.
2013,
Pubmed
,
Xenbase
Sun,
Epigenetic regulation of thyroid hormone-induced adult intestinal stem cell development during anuran metamorphosis.
2014,
Pubmed
,
Xenbase
Ta,
Temporal and spatial transcriptomic dynamics across brain development in Xenopus laevis tadpoles.
2022,
Pubmed
,
Xenbase
Tanizaki,
Thyroid hormone receptor α controls larval intestinal epithelial cell death by regulating the CDK1 pathway.
2022,
Pubmed
,
Xenbase
Tanizaki,
Analysis of Thyroid Hormone Receptor α-Knockout Tadpoles Reveals That the Activation of Cell Cycle Program Is Involved in Thyroid Hormone-Induced Larval Epithelial Cell Death and Adult Intestinal Stem Cell Development During Xenopus tropicalis Metamorphosis.
2021,
Pubmed
,
Xenbase
Thompson,
Thyroid Hormone Acts Locally to Increase Neurogenesis, Neuronal Differentiation, and Dendritic Arbor Elaboration in the Tadpole Visual System.
2016,
Pubmed
,
Xenbase
Thuret,
Analysis of neural progenitors from embryogenesis to juvenile adult in Xenopus laevis reveals biphasic neurogenesis and continuous lengthening of the cell cycle.
2015,
Pubmed
,
Xenbase
Tuinhof,
Distribution of pro-opiomelanocortin and its peptide end products in the brain and hypophysis of the aquatic toad, Xenopus laevis.
1998,
Pubmed
,
Xenbase
Tutukova,
The Role of Neurod Genes in Brain Development, Function, and Disease.
2021,
Pubmed
Vlaicu,
RGC-32 and diseases: the first 20 years.
2019,
Pubmed
Wang,
Thyroid hormone-induced gene expression program for amphibian tail resorption.
1993,
Pubmed
,
Xenbase
Wang,
A gene expression screen.
1991,
Pubmed
,
Xenbase
Wen,
Thyroid Hormone Receptor Alpha Is Required for Thyroid Hormone-Dependent Neural Cell Proliferation During Tadpole Metamorphosis.
2019,
Pubmed
,
Xenbase
Wilhelmsson,
Nestin Regulates Neurogenesis in Mice Through Notch Signaling From Astrocytes to Neural Stem Cells.
2019,
Pubmed
Yao,
Distribution and acute stressor-induced activation of corticotrophin-releasing hormone neurones in the central nervous system of Xenopus laevis.
2004,
Pubmed
,
Xenbase
Zahn,
Normal Table of Xenopus development: a new graphical resource.
2022,
Pubmed
,
Xenbase
Zekri,
An Atlas of Thyroid Hormone Receptors' Target Genes in Mouse Tissues.
2022,
Pubmed