Click here to close
Hello! We notice that you are using Internet Explorer, which is not supported by Xenbase and may cause the site to display incorrectly.
We suggest using a current version of Chrome,
FireFox, or Safari.
Zool Res
2023 May 18;443:663-674. doi: 10.24272/j.issn.2095-8137.2022.418.
Show Gene links
Show Anatomy links
Genome-wide identification and spatiotemporal expression profiling of zinc finger SWIM domain-containing protein family genes.
Hassan IU
,
Rehman HM
,
Liu Z
,
Zhou L
,
Samma MK
,
Wang C
,
Rong Z
,
Qi X
,
Cai D
,
Zhao H
.
???displayArticle.abstract???
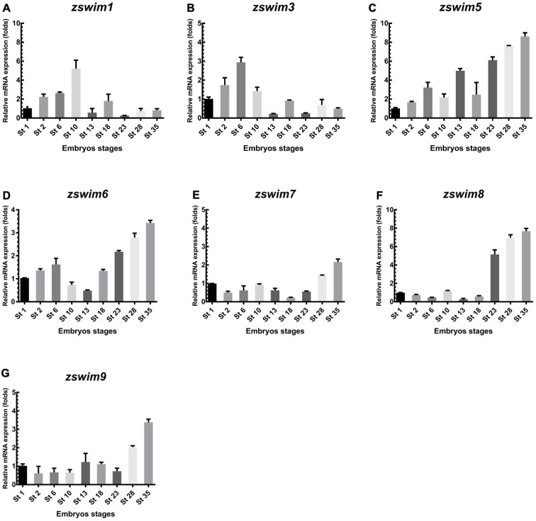
The biological function of the novel zinc-finger SWIM domain-containing protein family (ZSWIM) during embryonic development remains elusive. Here, we conducted a genome-wide analysis to explore the evolutionary processes of the ZSWIM gene family members in mice, Xenopus tropicalis, zebrafish, and humans. We identified nine putative ZSWIM genes in the human and mouse genome, eight in the Xenopus genome, and five in the zebrafish genome. Based on multiple sequence alignment, three members, ZSWIM5, ZSWIM6, and ZSWIM8, demonstrated the highest homology across all four species. Using available RNA sequencing (RNA-seq) data, ZSWIM genes were found to be widely expressed across different tissues, with distinct tissue-specific properties. To identify the functions of the ZSWIM protein family during embryogenesis, we examined temporal and spatial expression patterns of zswim family genes in Xenopus embryos. Quantitative real-time polymerase chain reaction (qRT-PCR) revealed that each member had a distinct expression profile. Whole-mount in situ hybridization showed that both zswim1 and zswim3 were maternally expressed genes; zswim5 and zswim6 were expressed throughout embryogenesis and displayed dynamic expression in the brain, eyes, somite, and bronchial arch at the late tailbud stages; zswim7 was detected in the eye area; zswim8 showed a dynamic expression pattern during the tailbud stages, with expression detected in the brain, eyes, and somite; zswim9 was faintly expressed throughout embryonic development. This study provides a foundation for future research to delineate the functions of ZSWIM gene members.
Aasland,
The PHD finger: implications for chromatin-mediated transcriptional regulation.
1995, Pubmed
Aasland,
The PHD finger: implications for chromatin-mediated transcriptional regulation.
1995,
Pubmed
Bailey,
The MEME Suite.
2015,
Pubmed
Benito,
Characterization of the maize Mutator transposable element MURA transposase as a DNA-binding protein.
1997,
Pubmed
Cao,
Structural, Evolutionary, and Functional Analysis of the Class III Peroxidase Gene Family in Chinese Pear (Pyrus bretschneideri).
2016,
Pubmed
Cassandri,
Zinc-finger proteins in health and disease.
2017,
Pubmed
Dawid,
Xenopus laevis in developmental and molecular biology.
1988,
Pubmed
,
Xenbase
Droll,
Post-transcriptional regulation of the trypanosome heat shock response by a zinc finger protein.
2013,
Pubmed
Fagerberg,
Analysis of the human tissue-specific expression by genome-wide integration of transcriptomics and antibody-based proteomics.
2014,
Pubmed
Flaus,
Identification of multiple distinct Snf2 subfamilies with conserved structural motifs.
2006,
Pubmed
Forde,
Evidence for an early endometrial response to pregnancy in cattle: both dependent upon and independent of interferon tau.
2012,
Pubmed
Gray,
Genenames.org: the HGNC resources in 2015.
2015,
Pubmed
Hagemann,
The ups and downs of MEK kinase interactions.
2001,
Pubmed
Harland,
In situ hybridization: an improved whole-mount method for Xenopus embryos.
1991,
Pubmed
,
Xenbase
Hershberger,
Characterization of the major transcripts encoded by the regulatory MuDR transposable element of maize.
1995,
Pubmed
Kadrmas,
The LIM domain: from the cytoskeleton to the nucleus.
2004,
Pubmed
Klug,
The discovery of zinc fingers and their applications in gene regulation and genome manipulation.
2010,
Pubmed
,
Xenbase
Klug,
Zinc fingers: a novel protein fold for nucleic acid recognition.
1987,
Pubmed
,
Xenbase
Ko,
ZSWIM1: a novel biomarker in T helper cell differentiation.
2014,
Pubmed
Linke,
Structure of the MDM2/MDMX RING domain heterodimer reveals dimerization is required for their ubiquitylation in trans.
2008,
Pubmed
Livak,
Analysis of relative gene expression data using real-time quantitative PCR and the 2(-Delta Delta C(T)) Method.
2001,
Pubmed
Makarova,
SWIM, a novel Zn-chelating domain present in bacteria, archaea and eukaryotes.
2002,
Pubmed
Martín,
Sws1 is a conserved regulator of homologous recombination in eukaryotic cells.
2006,
Pubmed
Mercereau-Puijalon,
Three multigene families in Plasmodium parasites: facts and questions.
2002,
Pubmed
Miller,
Repetitive zinc-binding domains in the protein transcription factor IIIA from Xenopus oocytes.
1985,
Pubmed
,
Xenbase
Nishito,
MEX is a testis-specific E3 ubiquitin ligase that promotes death receptor-induced apoptosis.
2006,
Pubmed
Nunez,
The multi-zinc finger protein ZNF217 contacts DNA through a two-finger domain.
2011,
Pubmed
Pellicer,
Genome Size Diversity and Its Impact on the Evolution of Land Plants.
2018,
Pubmed
Powell,
Ikaros Zinc Finger Transcription Factors: Regulators of Cytokine Signaling Pathways and CD4+ T Helper Cell Differentiation.
2019,
Pubmed
Rieger,
The MEKK1 SWIM domain is a novel substrate receptor for c-Jun ubiquitylation.
2012,
Pubmed
Shi,
The ZSWIM8 ubiquitin ligase mediates target-directed microRNA degradation.
2020,
Pubmed
Tamura,
MEGA11: Molecular Evolutionary Genetics Analysis Version 11.
2021,
Pubmed
Twigg,
Acromelic frontonasal dysostosis and ZSWIM6 mutation: phenotypic spectrum and mosaicism.
2016,
Pubmed
Vrana,
Mapping functional regions of transcription factor TFIIIA.
1988,
Pubmed
,
Xenbase
Xu,
A novel SWIM domain protein ZSWIM5 inhibits the malignant progression of non-small-cell lung cancer.
2018,
Pubmed
Zhang,
The zinc finger transcription factor ZKSCAN3 promotes prostate cancer cell migration.
2012,
Pubmed