Click here to close
Hello! We notice that you are using Internet Explorer, which is not supported by Xenbase and may cause the site to display incorrectly.
We suggest using a current version of Chrome,
FireFox, or Safari.
Geroscience
2023 Feb 04;461:945-960. doi: 10.1007/s11357-023-00840-3.
Show Gene links
Show Anatomy links
DNA methylation clocks for clawed frogs reveal evolutionary conservation of epigenetic aging.
Zoller JA
,
Parasyraki E
,
Lu AT
,
Haghani A
,
Niehrs C
,
Horvath S
.
???displayArticle.abstract???
To address how conserved DNA methylation-based epigenetic aging is in diverse branches of the tree of life, we generated DNA methylation data from African clawed frogs (Xenopus laevis) and Western clawed frogs (Xenopus tropicalis) and built multiple epigenetic clocks. Dual species clocks were developed that apply to both humans and frogs (human-clawed frog clocks), supporting that epigenetic aging processes are evolutionary conserved outside mammals. Highly conserved positively age-related CpGs are located in neural-developmental genes such as uncx, tfap2d as well as nr4a2 implicated in age-associated disease. We conclude that signatures of epigenetic aging are evolutionary conserved between frogs and mammals and that the associated genes relate to neural processes, altogether opening opportunities to employ Xenopus as a model organism to study aging.
Fig. 1. Unsupervised hierarchical clustering of Xenopus tissues. The clustering height (y-axis) can be interpreted as distance based on pairwise correlation coefficients. Color bands underneath indicate clustering branch (corresponding to a height cut-off of 0.29 on the y-axis), frog species (blue, tropicalis; turquoise, laevis), tissue type (see the labels), age (red corresponds to old age), and sex (pink, female; blue, male; grey, unknown). Sex was unknown for samples where the animals were too young to determine their sex.
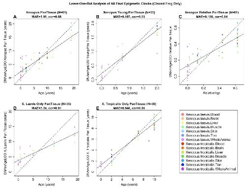
Fig. 2. Cross-validation study of epigenetic clocks for Xenopus. Leave-one-sample-out estimate of DNA methylation age (y-axis, in units of years) versus chronological age (units of years) for A all Xenopus tissues (both species), B all tissues from young Xenopus (age < 2 years), D all tissues from X. laevis, E all tissues from X. tropicalis. C Leave-one-sample-out estimate of DNA methylation relative age (y-axis, values range from 0 to 1) versus relative age for all Xenopus tissues (both species). Relative age was determined by dividing chronological age (measured in years) by the maximum lifespan (also expressed in years). All clocks are pan tissue clocks, i.e., apply to all considered tissues Each panel reports the sample size (in parenthesis), correlation coefficient, median absolute error (MAE).
Fig. 3. Cross-validation study of epigenetic clocks for Xenopus and humans. Ten-fold cross validation analysis of the human-clawed frog clocks for A, B chronological age and C, D relative age, respectively. A, C Human samples are colored in black and Xenopus samples are colored by species and tissue type, and analogous in B, D but restricted to Xenopus samples (colored by Xenopus tissue type). Relative age was determined by dividing chronological age (measured in years) by the maximum lifespan (also expressed in years). The relative age clock allows for alignment and biologically meaningful comparison between species with different lifespan (clawed frogs and humans). Each panel reports the sample size (in parenthesis), correlation coefficient, median absolute error (MAE)
Fig. 4. EWAS of age in Xenopus. The top panels display Manhattan plots for EWAS of age A Stouffer’s method meta-analysis that combines B X. laevis, and C X. tropicalis across all tissue types. The red dash lines indicate suggestive levels of significance at P < 1.0E-05. CpGs are colored in red or blue for positive or negative age correlations, respectively. The y-axis displays -log base 10 transformed P-value and the x-axis displays chromosome number based on the X. tropicalis genome (v9.1.102). Chromosome KV denotes the alias names for the CpGs with unspecified chromosomes. D–F Display the scatter plots between frog EWAS of age and Eutherian EWAS of age, based on Z statistics. Each of the 4239 points in the scatter plot correspond to a CpG that is present on our mammalian array and maps to the X. tropicalis genome. The title presents the Pearson correlation and its P-value between the two EWAS Z statistics. The CpG cg17865363 exhibiting highly significant P-value in frog EWAS is annotated by its nearby gene sox4 and marked in purple. Labels are provided for the top 10 hypermethylated/hypomethylated CpGs according to the product of Z scores in x- and y-axis.
Fig. 5. Genomic region-based GREAT functional enrichment analysis. GREAT functional enrichment analysis was based on the top 500 CpGs that increased or decreased with age from EWAS in (1) meta-analysis, (2) X. laevis, and (3) X. tropicalis, respectively (Suppl. Table 4). The background was based on the genomic regions of the 4239 mammalian CpGs and the assembly in hg19. The y-axis lists the name of a functional gene set/biological pathway, sorted by ontology and the most significant hypergeometric P-value within each ontology. The bar plots in the first column report the total number of genes at each studied gene set adjusted based on our background. The left and right panels of the x-axis list the enrichment results based on the top 500 CpGs with positive and negative age correlation. We list unadjusted hypergeometric P-value (number of overlap genes) at each cell, provided P < 0.1. The heatmap color codes -log10 (P-value). Abbreviations: BENPORATH_EED_TARGETS denotes “EED targets: genes identified by ChIP on chip as targets of the Polycomb protein EED (GeneID = 8726) in human embryonic stem cells.
Fig. 6. Chromatin state analysis of age-related CpGs. The heatmap color-codes the hypergeometric overlap analysis between age-related CpGs (columns) and two groupings of CpGs (a) binding by Polycomb repressive complex 1 and 2 (PRC1, PRC2) defined based on ChipSeq datasets in ENCODE [64] and (b) universal chromatin states analysis [61], see the first two rows. The background is based on the 4239 mammalian CpGs that can map to the X. tropicalis genome (v9.1.102). The first column shows a bar plot that reports the proportion of CpGs bound by PRC2 that ranges from zero (RPC1) to one (PRC2). For each row (chromatin state or PRC annotation), the table reports odds ratios (OR) from hypergeometric test results for the top 500 CpGs that increased/decreased with age from meta-EWAS, X. laevis EWAS and X. tropicalis EWAS, respectively. The heatmap color gradient is based on -log10 (unadjusted hypergeometric P-value) multiplied by the sign of OR greater than one. Red colors denote OR greater than one in contrast with blue colors for OR less than one. Legend lists states based on their group category and PRC group. The y-axis lists chromatin states and PRC2 target sites. The left/right panel lists the results based on the top 500 CpGs with positive/negative age correlation. We display 16 universal chromatin states that show significant enrichment/depletion at P < 0.001 in any of the EWAS
Ammous,
Epigenome-wide association study identifies DNA methylation sites associated with target organ damage in older African Americans.
2021, Pubmed
Ammous,
Epigenome-wide association study identifies DNA methylation sites associated with target organ damage in older African Americans.
2021,
Pubmed
Arneson,
A mammalian methylation array for profiling methylation levels at conserved sequences.
2022,
Pubmed
Bell,
DNA methylation aging clocks: challenges and recommendations.
2019,
Pubmed
Bertolotti,
Skin wound healing in different aged Xenopus laevis.
2013,
Pubmed
,
Xenbase
Bird,
Use of restriction enzymes to study eukaryotic DNA methylation: I. The methylation pattern in ribosomal DNA from Xenopus laevis.
1978,
Pubmed
,
Xenbase
Bird,
The occurrence and transmission of a pattern of DNA methylation in Xenopus laevis ribosomal DNA.
1978,
Pubmed
,
Xenbase
Bogdanović,
Active DNA demethylation at enhancers during the vertebrate phylotypic period.
2016,
Pubmed
,
Xenbase
Boulter,
Molecular cloning and functional expression of glutamate receptor subunit genes.
1990,
Pubmed
,
Xenbase
Bousman,
Telomerase activity is widespread in adult somatic tissues of Xenopus.
2003,
Pubmed
,
Xenbase
Cai,
Frogs with denser group-spawning mature later and live longer.
2019,
Pubmed
Caubit,
TSHZ3 deletion causes an autism syndrome and defects in cortical projection neurons.
2016,
Pubmed
Cayuela,
Thermal conditions predict intraspecific variation in senescence rate in frogs and toads.
2021,
Pubmed
Chang,
Biochemical and Hematologic Reference Intervals for Aged Xenopus laevis in a Research Colony.
2015,
Pubmed
,
Xenbase
Cizelsky,
sox4 and sox11 function during Xenopus laevis eye development.
2013,
Pubmed
,
Xenbase
Coninx,
Hippocampal and cortical tissue-specific epigenetic clocks indicate an increased epigenetic age in a mouse model for Alzheimer's disease.
2020,
Pubmed
Davis,
The Encyclopedia of DNA elements (ENCODE): data portal update.
2018,
Pubmed
de Magalhães,
An analysis of the relationship between metabolism, developmental schedules, and longevity using phylogenetic independent contrasts.
2007,
Pubmed
Dozmorov,
Polycomb repressive complex 2 epigenomic signature defines age-associated hypermethylation and gene expression changes.
2015,
Pubmed
Fénelon,
Deficiency of Dgcr8, a gene disrupted by the 22q11.2 microdeletion, results in altered short-term plasticity in the prefrontal cortex.
2011,
Pubmed
Field,
DNA Methylation Clocks in Aging: Categories, Causes, and Consequences.
2018,
Pubmed
Foronda,
Sox4 links tumor suppression to accelerated aging in mice by modulating stem cell activation.
2014,
Pubmed
Friedman,
Regularization Paths for Generalized Linear Models via Coordinate Descent.
2010,
Pubmed
Gaidatzis,
QuasR: quantification and annotation of short reads in R.
2015,
Pubmed
Gems,
Genetic, behavioral and environmental determinants of male longevity in Caenorhabditis elegans.
2000,
Pubmed
Gierman,
Whole-genome sequencing of the world's oldest people.
2014,
Pubmed
Hearn,
DNA methylation differs extensively between strains of the same geographical origin and changes with age in Daphnia magna.
2021,
Pubmed
Hedges,
TimeTree: a public knowledge-base of divergence times among organisms.
2006,
Pubmed
Hellsten,
The genome of the Western clawed frog Xenopus tropicalis.
2010,
Pubmed
,
Xenbase
Horvath,
DNA methylation age of human tissues and cell types.
2013,
Pubmed
Horvath,
DNA methylation-based biomarkers and the epigenetic clock theory of ageing.
2018,
Pubmed
Horvath,
Perinatally acquired HIV infection accelerates epigenetic aging in South African adolescents.
2018,
Pubmed
Horvath,
Aging effects on DNA methylation modules in human brain and blood tissue.
2012,
Pubmed
Iguchi,
Unlaid Xenopus eggs degrade by apoptosis in the genital tract.
2013,
Pubmed
,
Xenbase
Kabacik,
Epigenetic ageing is distinct from senescence-mediated ageing and is not prevented by telomerase expression.
2018,
Pubmed
Kaeser,
RIM genes differentially contribute to organizing presynaptic release sites.
2012,
Pubmed
Kashiwagi,
The effects of reactive oxygen species on amphibian aging.
2005,
Pubmed
Kresovich,
Reproduction, DNA methylation and biological age.
2019,
Pubmed
Kyono,
Developmental and Thyroid Hormone Regulation of the DNA Methyltransferase 3a Gene in Xenopus Tadpoles.
2016,
Pubmed
,
Xenbase
Langfelder,
WGCNA: an R package for weighted correlation network analysis.
2008,
Pubmed
LAPIN,
[Age factor in resistance in frogs to associated hypoxia and toxic depression of respiratory phosphorylation].
1959,
Pubmed
Leitges,
The paired homeobox gene Uncx4.1 specifies pedicles, transverse processes and proximal ribs of the vertebral column.
2000,
Pubmed
McLean,
GREAT improves functional interpretation of cis-regulatory regions.
2010,
Pubmed
Moore,
Change in Epigenome-Wide DNA Methylation Over 9 Years and Subsequent Mortality: Results From the InCHIANTI Study.
2016,
Pubmed
Morgello,
The National NeuroAIDS Tissue Consortium: a new paradigm in brain banking with an emphasis on infectious disease.
2001,
Pubmed
Morselli,
Age-associated DNA methylation changes in Xenopus frogs.
2023,
Pubmed
,
Xenbase
Niehrs,
Ectopic expression of a homeobox gene changes cell fate in Xenopus embryos in a position-specific manner.
1991,
Pubmed
,
Xenbase
Petkovich,
Using DNA Methylation Profiling to Evaluate Biological Age and Longevity Interventions.
2017,
Pubmed
Piunti,
The roles of Polycomb repressive complexes in mammalian development and cancer.
2021,
Pubmed
Plytycz,
Age-dependent changes in thymuses in the European common frog, Rana temporaria.
1995,
Pubmed
Raddatz,
A chicken DNA methylation clock for the prediction of broiler health.
2021,
Pubmed
Rakyan,
Human aging-associated DNA hypermethylation occurs preferentially at bivalent chromatin domains.
2010,
Pubmed
Rhodes,
KChIPs and Kv4 alpha subunits as integral components of A-type potassium channels in mammalian brain.
2004,
Pubmed
Rowe,
Hippocampal expression analyses reveal selective association of immediate-early, neuroenergetic, and myelinogenic pathways with cognitive impairment in aged rats.
2007,
Pubmed
Sammeta,
Uncx regulates proliferation of neural progenitor cells and neuronal survival in the olfactory epithelium.
2010,
Pubmed
Session,
Genome evolution in the allotetraploid frog Xenopus laevis.
2016,
Pubmed
,
Xenbase
Teschendorff,
Age-dependent DNA methylation of genes that are suppressed in stem cells is a hallmark of cancer.
2010,
Pubmed
Ullrich,
OCD-like behavior is caused by dysfunction of thalamo-amygdala circuits and upregulated TrkB/ERK-MAPK signaling as a result of SPRED2 deficiency.
2018,
Pubmed
van Heeringen,
Principles of nucleation of H3K27 methylation during embryonic development.
2014,
Pubmed
,
Xenbase
Villar,
Evolution of transcription factor binding in metazoans - mechanisms and functional implications.
2014,
Pubmed
Vu,
Universal annotation of the human genome through integration of over a thousand epigenomic datasets.
2022,
Pubmed
Xu,
Tet3 CXXC domain and dioxygenase activity cooperatively regulate key genes for Xenopus eye and neural development.
2012,
Pubmed
,
Xenbase
Ye,
ROS/TGF-β signal mediated accumulation of SOX4 in OA-FLS promotes cell senescence.
2021,
Pubmed
Yu,
ChIPseeker: an R/Bioconductor package for ChIP peak annotation, comparison and visualization.
2015,
Pubmed
Yue,
A comparative encyclopedia of DNA elements in the mouse genome.
2014,
Pubmed
Zhou,
SeSAMe: reducing artifactual detection of DNA methylation by Infinium BeadChips in genomic deletions.
2018,
Pubmed