Click here to close
Hello! We notice that you are using Internet Explorer, which is not supported by Xenbase and may cause the site to display incorrectly.
We suggest using a current version of Chrome,
FireFox, or Safari.
Physiol Rep
2023 Mar 01;116:e15655. doi: 10.14814/phy2.15655.
Show Gene links
Show Anatomy links
Boric acid transport activity of marine teleost aquaporins expressed in Xenopus oocytes.
Kumagai S
,
Watanabe E
,
Hayashi N
,
Kimura Y
,
Kamiya T
,
Nagashima A
,
Ushio K
,
Imaizumi G
,
Kim J
,
Munakata K
,
Umezawa T
,
Hirose S
,
Kasai K
,
Fujiwara T
,
Romero MF
,
Kato A
.
???displayArticle.abstract???
Marine teleosts ingest large amounts of seawater containing various ions, including 0.4 mM boric acid, which can accumulate at toxic levels in the body. However, the molecular mechanisms by which marine teleosts absorb and excrete boric acid are not well understood. Aquaporins (Aqps) are homologous to the nodulin-like intrinsic protein (NIP) family of plant boric acid channels. To investigate the potential roles of Aqps on boric acid transport across the plasma membrane in marine teleosts, we analyzed the function of Aqps of Japanese pufferfish (Takifugu rubripes) expressed in Xenopus laevis oocytes. Takifugu genome database contains 16 genes encoding the aquaporin family members (aqp0a, aqp0b, aqp1aa, aqp1ab, aqp3a, aqp4a, aqp7, aqp8bb, aqp9a, aqp9b, aqp10aa, aqp10bb, aqp11a, aqp11b, aqp12, and aqp14). When T. rubripes Aqps (TrAqps) were expressed in X. laevis oocytes, a swelling assay showed that boric acid permeability was significantly increased in oocytes expressing TrAqp3a, 7, 8bb, 9a, and 9b. The influx of boric acid into these oocytes was also confirmed by elemental quantification. Electrophysiological analysis using a pH microelectrode showed that these TrAqps increase B(OH)3 permeability. These results indicate that TrAqp3a, 7, 8bb, 9a, and 9b act as boric acid transport systems, likely as channels, in marine teleosts.
FIGURE 1. Tissue distribution of aqp family genes in the Japanese pufferfish Takifugu rubripes. Expression profiles of aqp in adult tissues were determined via semiquantitative RT‐PCR. Pseudo‐gel images of the PCR products were generated using a microchip electrophoresis system. actb (β‐Actin gene) was used as an internal control gene.
FIGURE 2. Increase in the volume of TrAqp‐expressing and control oocytes at the indicated timepoints (sec). Relative cell volume to the initial cell volume (V/V
0
) of oocytes in hypo‐osmotic solution (a), iso‐osmotic solution containing 180 mM glycerol (b), urea (c), or boric acid (d) was calculated from the swelling data. Values are shown as the mean ± SEM (n = 9–24).
FIGURE 3. Water (a), glycerol (b), urea (c), and boric acid (d) permeability measurements of TrAqps by Xenopus oocyte swelling assay. Pwater, Pglycerol, Purea, and Pboric acid values are presented as interquartile range from the 25–75 percentiles (box), range (whiskers), outliers (>1.5× interquartile range above upper quartile), mean (square in the box), and median (line in the box). Statistical significance was evaluated by one‐way ANOVA followed by Dunnett's test (*p < 0.05).
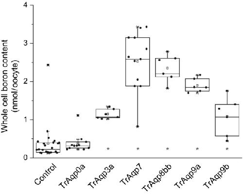
FIGURE 4. Boric acid uptake activity of TrAqp oocytes measured as whole‐cell boron content using inductively coupled plasma‐mass spectrometry. Values are presented as interquartile range from the 25–75 percentiles (box), range (whiskers), outliers (>1.5× interquartile range above upper quartile), mean (square in the box), and median (line in the box). Statistical significance was evaluated by one‐way ANOVA followed by Dunnett's test (*p < 0.05, n = 6–24).
FIGURE 5. B(OH)3 permeability of oocytes expressing TrAqp3a, 7, 8bb, 9a, and 9b. A: Representative traces of changes in the intracellular pH (pHi) and membrane potential (Vm) of an oocyte expressing TrAqp0a, 3a, 7, 8bb, 9a, or 9b, or a control oocyte. 10BA, 10 mM boric acid. B: The summary of pH changes (dpHi/s) in oocytes expressing Aqps and control in solution containing 0, 1, 2, 5, or 10 mM boric acid. BA, boric acid. Values are presented as interquartile range from the 25–75 percentiles (box), range (whiskers), outliers (>1.5× interquartile range above upper quartile), mean (square in the box), and median (line in the box). Statistical significance was evaluated by one‐way ANOVA followed by Dunnett's test (*p < 0.05, n = 4–25).
FIGURE 6. Scatter plots and Pearson's correlation coefficient (r) among water, glycerol, urea, and boric acid permeabilities of oocytes expressing pufferfish TrAqps. (A‐F) The average values of water and solute permeabilities (P
water, P
glycerol, P
urea, and P
boric acid, shown in Table 2) expressing pufferfish TrAqps are plotted in red, and those of water‐injected oocytes were plotted in gray. The average values of water and solute permeabilities of oocytes expressing human HsAqps were recalculated from our previous study (Ushio et al., 2022) (Table 2) were plotted as comparison in blue. The correlations (r) calculated from the average values of TrAqp and control (n = 11) were shown with p value in red, and those calculated from the average values of TrAqp, HsAqp, and each control (n = 21) were shown with p value in black. T0a, TrAqp0a; T1aa, TrAqp1aa; T1ab, TrAqp1ab; T3a, TrAqp3a; T4a, TrAqp4a; T7, TrAqp7; T8bb, TrAqp8bb; T9a, TrAqp9a; T9b, TrAqp9b; T10bb, TrAqp10bb; H1, HsAqp1; H2, HsAqp2; H3, HsAqp3; H4, HsAqp4; H5, HsAqp5; H7, HsAqp7; H8, HsAqp8; H9, HsAqp9; H10, HsAqp10; C, control.
Agre,
Aquaporin water channels--from atomic structure to clinical medicine.
2002, Pubmed
Agre,
Aquaporin water channels--from atomic structure to clinical medicine.
2002,
Pubmed
Azad,
Human Aquaporins: Functional Diversity and Potential Roles in Infectious and Non-infectious Diseases.
2021,
Pubmed
Blevins,
BORON IN PLANT STRUCTURE AND FUNCTION.
1998,
Pubmed
Borgnia,
Cellular and molecular biology of the aquaporin water channels.
1999,
Pubmed
Cao,
Comparative Analysis of the aquaporin Gene Family in 12 Fish Species.
2019,
Pubmed
Carbrey,
Aquaglyceroporin AQP9: solute permeation and metabolic control of expression in liver.
2003,
Pubmed
,
Xenbase
Chauvigné,
The vertebrate Aqp14 water channel is a neuropeptide-regulated polytransporter.
2019,
Pubmed
Dong,
Genome Wide Identification, Phylogeny, and Expression of Aquaporin Genes in Common Carp (Cyprinus carpio).
2016,
Pubmed
Finn,
Evolution and functional diversity of aquaporins.
2015,
Pubmed
Finn,
The lineage-specific evolution of aquaporin gene clusters facilitated tetrapod terrestrial adaptation.
2014,
Pubmed
Fort,
Impact of boron deficiency on Xenopus laevis: a summary of biological effects and potential biochemical roles.
2002,
Pubmed
,
Xenbase
Gorelick,
Aquaporin-11: a channel protein lacking apparent transport function expressed in brain.
2006,
Pubmed
,
Xenbase
Ishibashi,
Cloning and identification of a new member of water channel (AQP10) as an aquaglyceroporin.
2002,
Pubmed
,
Xenbase
Itoh,
Identification of a novel aquaporin, AQP12, expressed in pancreatic acinar cells.
2005,
Pubmed
,
Xenbase
Kao,
SLC4A11 function: evidence for H+(OH-) and NH3-H+ transport.
2020,
Pubmed
Kato,
Seawater fish use an electrogenic boric acid transporter, Slc4a11A, for boric acid excretion by the kidney.
2023,
Pubmed
,
Xenbase
Khaliq,
The Physiological Role of Boron on Health.
2018,
Pubmed
Kumar,
MEGA7: Molecular Evolutionary Genetics Analysis Version 7.0 for Bigger Datasets.
2016,
Pubmed
Liman,
Subunit stoichiometry of a mammalian K+ channel determined by construction of multimeric cDNAs.
1992,
Pubmed
,
Xenbase
Loewengart,
Toxicity of boron to rainbow trout: a weight-of-the-evidence assessment.
2001,
Pubmed
Loganathan,
Functional assessment of SLC4A11, an integral membrane protein mutated in corneal dystrophies.
2016,
Pubmed
,
Xenbase
Ma,
Closely spaced tandem arrangement of AQP2, AQP5, and AQP6 genes in a 27-kilobase segment at chromosome locus 12q13.
1997,
Pubmed
Miwa,
Boron transport in plants: co-ordinated regulation of transporters.
2010,
Pubmed
Myers,
Mouse Slc4a11 expressed in Xenopus oocytes is an ideally selective H+/OH- conductance pathway that is stimulated by rises in intracellular and extracellular pH.
2016,
Pubmed
,
Xenbase
Nag,
Molecular and functional characterization of adrenomedullin receptors in pufferfish.
2006,
Pubmed
Nakada,
Ammonia secretion from fish gill depends on a set of Rh glycoproteins.
2007,
Pubmed
,
Xenbase
Nielsen,
Update on human health effects of boron.
2014,
Pubmed
Ogando,
SLC4A11 is an EIPA-sensitive Na(+) permeable pHi regulator.
2013,
Pubmed
Onuh,
Regulation, Diversity and Evolution of Boron Transporters in Plants.
2021,
Pubmed
Öz,
Histopathology changes in the rainbow trout (Onchorhyncus mykiss) consuming boric acid supplemented fish fodder.
2020,
Pubmed
Park,
NaBC1 is a ubiquitous electrogenic Na+ -coupled borate transporter essential for cellular boron homeostasis and cell growth and proliferation.
2004,
Pubmed
,
Xenbase
Parker,
Human BTR1, a new bicarbonate transporter superfamily member and human AE4 from kidney.
2001,
Pubmed
Preston,
Appearance of water channels in Xenopus oocytes expressing red cell CHIP28 protein.
1992,
Pubmed
,
Xenbase
Romero,
Cloning and functional expression of rNBC, an electrogenic Na(+)-HCO3- cotransporter from rat kidney.
1998,
Pubmed
,
Xenbase
Rowe,
Boron is required for zebrafish embryogenesis.
1999,
Pubmed
Schoderboeck,
Effects assessment: boron compounds in the aquatic environment.
2011,
Pubmed
Sciortino,
Cation and voltage dependence of rat kidney electrogenic Na(+)-HCO(-)(3) cotransporter, rkNBC, expressed in oocytes.
1999,
Pubmed
,
Xenbase
Tanaka,
Physiological roles and transport mechanisms of boron: perspectives from plants.
2008,
Pubmed
Thompson,
CLUSTAL W: improving the sensitivity of progressive multiple sequence alignment through sequence weighting, position-specific gap penalties and weight matrix choice.
1994,
Pubmed
Tingaud-Sequeira,
The zebrafish genome encodes the largest vertebrate repertoire of functional aquaporins with dual paralogy and substrate specificities similar to mammals.
2010,
Pubmed
,
Xenbase
Tran,
Spliced isoforms of LIM-domain-binding protein (CLIM/NLI/Ldb) lacking the LIM-interaction domain.
2006,
Pubmed
,
Xenbase
Uluisik,
The importance of boron in biological systems.
2018,
Pubmed
Ushio,
Boric acid transport activity of human aquaporins expressed in Xenopus oocytes.
2022,
Pubmed
,
Xenbase
Weir,
Toxicologic studies on borax and boric acid.
1972,
Pubmed
Yilmaz,
Unravelling the Complex Duplication History of Deuterostome Glycerol Transporters.
2020,
Pubmed
Yoshinari,
Insights into the Mechanisms Underlying Boron Homeostasis in Plants.
2017,
Pubmed