|
Fig. 1: Constructing an XCL using Microwell-seq.
a A schematic of the basic workflow for the Xenopus cell landscape using the Microwell-seq platform. b t-SNE analysis of 501, 358 single cells collected from larval and adult tissues. The 106 cell-type clusters are labeled in different colors. Cell cluster markers are listed in Supplementary Dataset 1. c t-SNE analysis of 501, 358 single cells collected from larval and adult tissues. Tissues/stages are labeled in different colors. d Cell number of each tissue/stage is detected at the XCL. Tissues/stages are labeled in different colors. e The 106 cell-type clusters are re-clustered into ten cell lineages and circles showing the relationships among the 106 cell types. Cell lineages are labeled in different colors.
|
|
Fig. 2: Cellular heterogeneity in diverse adult Xenopus laevis tissues.
t-SNE map of Xenopus brain (a), lung (c), liver (e), and bone marrow (g) single-cell data. Cells are colored by cell-type cluster; Heatmap showing representative gene expression in each cluster of Xenopus brain (b), lung (d), liver (f), and bone marrow (h). The color encodes the average expression level.
|
|
Fig. 3: Cell-type evolution between adult Xenopus, zebrafish, and mammals.
a Circle plot showing the similarity of cell lineages in Xenopus laevis, zebrafish (left), mice (middle), and humans (right). Pairs of cell types with mapping scores greater than 0.1 are connected by lines. Cell lineages are labeled in different colors. b Heatmap showing the specific scores of TFs in Xenopus for each cell type. Each row represents one TF, and each column represents one cell lineage. Cell lineages are labeled in different colors. The representative TFs in each cell lineage are presented in the right panel. c Sankey plot showing common lineage-specific transcription factors in endothelial for four vertebrates (humans, mice, Xenopus, and zebrafish). The representative TFs in Xenopus laevis are labeled by red. Different TFs in each species are marked in different color boxes. Homologous TFs between species obtained from SAMap are connected by lines.
|
|
Fig. 4: Cell landscape of larval Xenopus during metamorphosis.
a Expression trajectory of genes regulated by T3 during metamorphosis. b, t-SNE analysis of 188, 020 single cells collected from larval Xenopus. 57 cell-type clusters are labeled in different colors. Cell cluster markers are listed in Supplementary Dataset 1. c t-SNE analysis of 188, 020 single cells collected from larval Xenopus. Stages are labeled in different colors. d Stage proportion in different cell clusters. Stages are labeled in different colors. e dTFs are listed in different stages for cell lineages. Each row represents one stage and each column represents one cell type. The representative TFs for each cell types are labeled by red.
|
|
Fig. 5: Conversion of erythrocyte hemoglobin from larva to adult.
a t-SNE analysis of erythrocytes collected from larval and adult Xenopus. Different clusters are labeled in different colors. Erythrocytes from adults were sampled to the same order of magnitude as in larva. Cell cluster markers are listed in Supplementary Dataset 3. b t-SNE analysis of erythrocytes collected from larval and adult Xenopus. Different stages are labeled in different colors. c Representative gene expression in each cluster of erythrocytes and cell proportions in different stages are shown. Stages are labeled in different colors. The size of the dot encodes the percentage of cells within a cell type, and the color encodes the average expression level. d Feature plot in the t-SNE map of erythrocytes collected from larval and adult Xenopus. Cells are colored according to the expression of the indicated marker genes hba1.S (red), hbd.S (blue), and co-expression hba1.S and hbd.S (pink). e Representative GO terms enriched in each module for three cell types. Different cell clusters are labeled in different colors. P value was calculated by the hypergeometric distribution, a statistical test is one-sided, adjustments P values were made after P value is corrected by BenjaminâHochberg multiple test.
|
|
Fig. 6: Gene expression profiles of the remodeling multisystem during metamorphosis.
a Schematic diagram of the four modules. b Rose diagrams showing the distribution of DEGs in each cell type. Different modules are labeled in different colors. c–f Representative GO terms enriched in module 1 (c), 2 (d), 3 (e), and 4 (f) for five cell types, respectively (left). GO terms enriched in different modules are labeled in different colors. Venn diagrams showing the numbers of shared genes in each module (right). The bold lines indicate the representative genes shared in at least three cell types. P value was calculated by the hypergeometric distribution, statistical test is one-sided, adjustments P values were made after P value is corrected by Benjamin–Hochberg multiple tests.
|
|
Supplementary Figure 1. [abc panels] Details of XCL construction. a, Number of genes per cell detected for each tissue/stage in the XCL. b, Number of UMIs per cell detected for each tissue/stage in the XCL. c, Number of subclusters detected for each tissue/stage in the XCL. d, Heatmap showing representative gene expression in each cell cluster in the XCL.
|
|
Supplementary Figure 1. [panel d] Details of XCL construction. a, Number of genes per cell detected for each tissue/stage in the XCL. b, Number of UMIs per cell detected for each tissue/stage in the XCL. c, Number of subclusters detected for each tissue/stage in the XCL. d, Heatmap showing representative gene expression in each cell cluster in the XCL.
|
|
Supplementary Figure 2. Representative gene expression in endocrine cells of the Xenopus brain. Feature plot in the t-SNE map of adult Xenopus brain single-cell data. Kinds of endocrine cells are colored according to the expression of the indicated marker genes: co- expressed high levels of chga and chgb but different hormone-associated genes.
|
|
Supplementary Figure 3. [ panel a] Details of cellular heterogeneity in adult Xenopus lung. a, Feature plot in the t-SNE map of adult Xenopus lung single-cell data. Cells are colored according to the expression of the indicated marker genes. b, Sankey plot showing the relationships among the Xenopus lung, mouse lung, zebrafish gill and swim bladder. Different cell clusters in each species are marked in different color boxes.
|
|
Supplementary Figure 3. [panel b] Details of cellular heterogeneity in adult Xenopus lung. a, Feature plot in the t-SNE map of adult Xenopus lung single-cell data. Cells are colored according to the expression of the indicated marker genes. b, Sankey plot showing the relationships among the Xenopus lung, mouse lung, zebrafish gill and swim bladder. Different cell clusters in each species are marked in different color boxes.
|
|
Supplementary Figure 4. Details of cellular heterogeneity in adult Xenopus liver and bone marrow. a, Representative gene expression in each cluster of liver erythrocytes in different stages. The size of the dot encodes the percentage of cells within a cell type, and the color encodes the average expression level. b, Cell proportions of bone marrow in Xenopus (outer circle) and mouse (inside circle). Cell types are labeled in different colors.
|
|
Supplementary Figure 5. [top 6 panels] t-SNE analysis of XCL tissues collected from adult Xenopus. t- SNE maps of single-cell data from bladder, eye, heart, intestine, kidney, muscle, ovary, pancreas, skin, spleen, stomach and testis. Cells are colored by cell-type cluster.
|
|
Supplementary Figure 5. [bottom 6 panels] t-SNE analysis of XCL tissues collected from adult Xenopus. t- SNE maps of single-cell data from bladder, eye, heart, intestine, kidney, muscle, ovary, pancreas, skin, spleen, stomach and testis. Cells are colored by cell-type cluster.
|
|
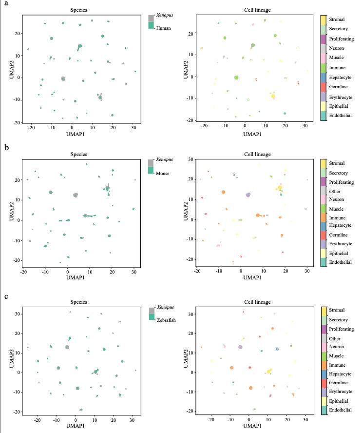
Supplementary Figure 6. The UMAP projection of combined species. The UMAP projection of the combined human and Xenopus (a), mouse and Xenopus (b), zebrafish and Xenopus (c) manifolds are visualized, colored by species (left) and lineages (right) respectively. Cells are colored by cell-type cluster.
|
|
Supplementary Figure S7. [panel a Epithelial and b germline] The common lineage-specific TFs for each lineage. Sankey plot showing common lineage-specific TFs in epithelial (a), germline (b), erythrocyte (c) and immune (d). Different TFs in each species are marked in different color boxes. Homologous TFs between species obtained from SAMap are connected by lines.
|
|
Supplementary Figure S7. [panel b Erythrocyte and d Immune] The common lineage-specific TFs for each lineage. Sankey plot showing common lineage-specific TFs in epithelial (a), germline (b), erythrocyte (c) and immune (d). Different TFs in each species are marked in different color boxes. Homologous TFs between species obtained from SAMap are connected by lines.
|
|
Supplementary Figure 8. [panel a neuronal] The common lineage-specific TFs for each lineage. Sankey plot showing common lineage-specific TFs in neuron (a), muscle (b) and stromal (c). Different TFs in each species are marked in different color boxes. Homologous TFs between species obtained from SAMap are connected by lines.
|
|
Supplementary Figure 8. [panel b muscle] The common lineage-specific TFs for each lineage. Sankey plot showing common lineage-specific TFs in neuron (a), muscle (b) and stromal (c). Different TFs in each species are marked in different color boxes. Homologous TFs between species obtained from SAMap are connected by lines.
|
|
Supplementary Figure 8.[panel c stromal] The common lineage-specific TFs for each lineage. Sankey plot showing common lineage-specific TFs in neuron (a), muscle (b) and stromal (c). Different TFs in each species are marked in different color boxes. Homologous TFs between species obtained from SAMap are connected by lines.
|
|
Supplementary Figure 9. [panel a] Details of the constructed larval Xenopus cell atlas during metamorphosis. a, Dot plot showing representative gene expression in each cluster of larval Xenopus during metamorphosis. The size of the dot encodes the percentage of cells within a cell type, and the color encodes the average expression level. b-e, t-SNE analysis of four tadpole stages collected to represent larval Xenopus. Cells are colored by cell-type cluster.
|
|
Supplementary Figure 9. [panels b c d e] Details of the constructed larval Xenopus cell atlas during metamorphosis. a, Dot plot showing representative gene expression in each cluster of larval Xenopus during metamorphosis. The size of the dot encodes the percentage of cells within a cell type, and the color encodes the average expression level. b-e, t-SNE analysis of four tadpole stages collected to represent larval Xenopus. Cells are colored by cell-type cluster.
|
|
Supplementary Figure 10. [ panels a b] Cellular heterogeneity of larval Xenopus cell lineages. t-SNE maps of single-cell data from larval epithelial (a), stromal (c) and immune (e) during metamorphosis. Cells are colored by cell-type cluster; t-SNE maps of single-cell data from larval epithelial (b), stromal (d) and immune (f) during metamorphosis. Cells are colored by stage.
|
|
Supplementary Figure 10. [panel c] Cellular heterogeneity of larval Xenopus cell lineages. t-SNE maps of single-cell data from larval epithelial (a), stromal (c) and immune (e) during metamorphosis. Cells are colored by cell-type cluster; t-SNE maps of single-cell data from larval epithelial (b), stromal (d) and immune (f) during metamorphosis. Cells are colored by stage.
|
|
Supplementary Figure 11. [panels a b c] The correlation between larval and adult cell types. t-SNE maps of single-cell data from larval and adult enterocytes (a) and stomach parietal cells (d). Cells are colored by cell-type cluster; t-SNE maps of single-cell data from larval and adult enterocytes (b) and stomach parietal cells (e). Cells are colored by stage. Heatmap showing representative gene expression and correlation of larval and adult enterocytes (c) and stomach parietal cells (f). AUROC scores were used to measure the similarity of cell types: red, high correlation; blue and yellow, low correlation, based on the Spearman correlation. The stacked bar plots illustrate the proportion of clusters. Stage is marked by different colors same as b and d, respectively.
|
|
Supplementary Figure 11. [panels d e f] The correlation between larval and adult cell types. t-SNE maps of single-cell data from larval and adult enterocytes (a) and stomach parietal cells (d). Cells are colored by cell-type cluster; t-SNE maps of single-cell data from larval and adult enterocytes (b) and stomach parietal cells (e). Cells are colored by stage. Heatmap showing representative gene expression and correlation of larval and adult enterocytes (c) and stomach parietal cells (f). AUROC scores were used to measure the similarity of cell types: red, high correlation; blue and yellow, low correlation, based on the Spearman correlation. The stacked bar plots illustrate the proportion of clusters. Stage is marked by different colors same as b and d, respectively.
|
|
Supplementary Figure 12. [panels a b c ] The correlation between larval and adult cell types. t-SNE maps of single-cell data from larval and adult hepatocytes (a) and neurons (d). Cells are colored by cell-type cluster; t-SNE maps of single-cell data from larval and adult hepatocytes (b) and neurons (e). Cells are colored by stage. Heatmap showing representative gene expression and correlation of larval and adult hepatocytes (c) and neurons (f). AUROC scores were used to measure the similarity of cell types: red, high correlation; blue and yellow, low correlation, based on the Spearman correlation. The stacked bar plots illustrate the proportion of clusters. Stage is marked by different colors same as b and d, respectively.
|
|
Supplementary Figure 12. [panels d e f ] The correlation between larval and adult cell types. t-SNE maps of single-cell data from larval and adult hepatocytes (a) and neurons (d). Cells are colored by cell-type cluster; t-SNE maps of single-cell data from larval and adult hepatocytes (b) and neurons (e). Cells are colored by stage. Heatmap showing representative gene expression and correlation of larval and adult hepatocytes (c) and neurons (f). AUROC scores were used to measure the similarity of cell types: red, high correlation; blue and yellow, low correlation, based on the Spearman correlation. The stacked bar plots illustrate the proportion of clusters. Stage is marked by different colors same as b and d, respectively.
|