Click here to close
Hello! We notice that you are using Internet Explorer, which is not supported by Xenbase and may cause the site to display incorrectly.
We suggest using a current version of Chrome,
FireFox, or Safari.
Brain Sci
2022 Jun 19;126:. doi: 10.3390/brainsci12060807.
Show Gene links
Show Anatomy links
Unexpected Effect of IL-1β on the Function of GABAA Receptors in Pediatric Focal Cortical Dysplasia.
Alfano V
,
Romagnolo A
,
Mills JD
,
Cifelli P
,
Gaeta A
,
Morano A
,
Mühlebner A
,
Aronica E
,
Palma E
,
Ruffolo G
.
???displayArticle.abstract???
Focal cortical dysplasia (FCD) type II is an epileptogenic malformation of the neocortex, as well as a leading cause of drug-resistant focal epilepsy in children and young adults. The synaptic dysfunctions leading to intractable seizures in this disease appear to have a tight relationship with the immaturity of GABAergic neurotransmission. The likely outcome would include hyperpolarizing responses upon activation of GABAARs. In addition, it is well-established that neuroinflammation plays a relevant role in the pathogenesis of FCD type II. Here, we investigated whether IL-1β, a prototypical pro-inflammatory cytokine, can influence GABAergic neurotransmission in FCD brain tissues. To this purpose, we carried out electrophysiological recordings on Xenopus oocytes transplanted with human tissues and performed a transcriptomics analysis. We found that IL-1β decreases the GABA currents amplitude in tissue samples from adult individuals, while it potentiates GABA responses in samples from pediatric cases. Interestingly, these cases of pediatric FCD were characterized by a more depolarized EGABA and an altered transcriptomics profile, that revealed an up-regulation of chloride cotransporter NKCC1 and IL-1β. Altogether, these results suggest that the neuroinflammatory processes and altered chloride homeostasis can contribute together to increase the brain excitability underlying the occurrence of seizures in these children.
Figure 1. IL−1β potentiates GABA-evoked currents in pediatric FCD IIb tissue samples. The bar graphs show the average GABA current percent (%) changes ± s.e.m. before and after incubation with IL-1β (25 ng/mL; 2 h) in oocytes transplanted with adult FCD IIb tissues (blue bar; n = 14, # 4–6, Table 1) and pediatric FCD IIb tissues (red bar; n = 31, # 1–3, Table 1). Insets represent sample currents before (left trace) and after (right trace) incubation with IL-1β in adult (lower inset) and pediatric (upper inset) FCD IIb. White horizontal bars represent GABA application (250 μM). There is a significantly different effect of IL-1β between the two experimental groups. * p < 0.05 with Student t-test.
Figure 2. GABA reversal potential in FCD IIb tissue samples. The two panels represent the mean EGABA value recorded on adult (A); black circles; n = 10, # 4–6, Table 1) and pediatric (B); red squares; n = 13, # 1–3, Table 1) FCD samples. The dots represent mean ± s.e.m. of GABA currents at correspondent holding potential value (VH) normalized to the maximum currents (Imax = 73.4 for adult and 42.4 nA for pediatric). Insets represent sample GABA−evoked currents (250 μM) at different VH as shown in the respective panels. Note that the mean EGABA was significantly more depolarized in pediatric FCD tissues compared to adult FCD (p < 0.05, Wilcoxon signed rank test).
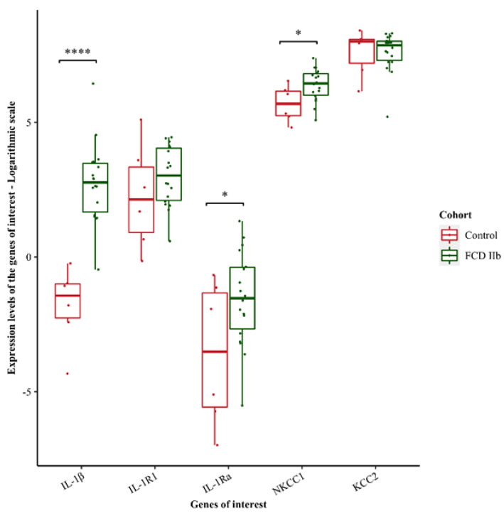
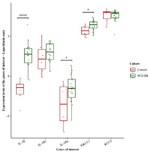
Figure 3. Expression levels of the genes of interest in FCD IIb pediatric tissue samples compared to age-matched controls. IL−1β, IL−1Ra and NKCC1 are significantly upregulated in FCD IIb pediatric tissue samples compared to controls. Expression levels are described in logarithmic scale. * p < 0.05; **** p < 0.0001. A linear model was fit for each gene and moderated t-statistic was calculated after applying an empirical Bayes smoothing to the standard errors. Those genes with a Benjamini–Hochberg adjusted p-value < 0.05 were considered significant. Differential expression analysis compared 18 FCD IIb patients and six age-matched control cortices.
Ben-Ari,
Excitatory actions of gaba during development: the nature of the nurture.
2002, Pubmed
Ben-Ari,
Excitatory actions of gaba during development: the nature of the nurture.
2002,
Pubmed
Ben-Ari,
The GABA excitatory/inhibitory shift in brain maturation and neurological disorders.
2012,
Pubmed
Blauwblomme,
Gamma-aminobutyric acidergic transmission underlies interictal epileptogenicity in pediatric focal cortical dysplasia.
2019,
Pubmed
Blumcke,
Histopathological Findings in Brain Tissue Obtained during Epilepsy Surgery.
2017,
Pubmed
Blümcke,
The clinicopathologic spectrum of focal cortical dysplasias: a consensus classification proposed by an ad hoc Task Force of the ILAE Diagnostic Methods Commission.
2011,
Pubmed
Bushnell,
BBMerge - Accurate paired shotgun read merging via overlap.
2017,
Pubmed
Butler,
Transient and chronic seizure-induced inflammation in human focal epilepsy.
2016,
Pubmed
Cepeda,
Immature neurons and GABA networks may contribute to epileptogenesis in pediatric cortical dysplasia.
2007,
Pubmed
Cepeda,
Epileptogenesis in pediatric cortical dysplasia: the dysmature cerebral developmental hypothesis.
2006,
Pubmed
Cepeda,
Pacemaker GABA synaptic activity may contribute to network synchronization in pediatric cortical dysplasia.
2014,
Pubmed
Cepeda,
Pathological high frequency oscillations associate with increased GABA synaptic activity in pediatric epilepsy surgery patients.
2020,
Pubmed
Cherubini,
The depolarizing action of GABA controls early network activity in the developing hippocampus.
2011,
Pubmed
Fuso,
Promoter-Specific Hypomethylation Correlates with IL-1β Overexpression in Tuberous Sclerosis Complex (TSC).
2016,
Pubmed
Harrow,
GENCODE: the reference human genome annotation for The ENCODE Project.
2012,
Pubmed
Iffland,
Focal Cortical Dysplasia: Gene Mutations, Cell Signaling, and Therapeutic Implications.
2017,
Pubmed
Iori,
Modulation of neuronal excitability by immune mediators in epilepsy.
2016,
Pubmed
Kaila,
Cation-chloride cotransporters in neuronal development, plasticity and disease.
2014,
Pubmed
Koh,
Proposal to optimize evaluation and treatment of Febrile infection-related epilepsy syndrome (FIRES): A Report from FIRES workshop.
2021,
Pubmed
Miledi,
Expression of functional neurotransmitter receptors in Xenopus oocytes after injection of human brain membranes.
2002,
Pubmed
,
Xenbase
Mills,
Coding and non-coding transcriptome of mesial temporal lobe epilepsy: Critical role of small non-coding RNAs.
2020,
Pubmed
Najm,
The ILAE consensus classification of focal cortical dysplasia: An update proposed by an ad hoc task force of the ILAE diagnostic methods commission.
2022,
Pubmed
Palma,
Expression of human epileptic temporal lobe neurotransmitter receptors in Xenopus oocytes: An innovative approach to study epilepsy.
2002,
Pubmed
,
Xenbase
Palma,
Microtransplantation of membranes from cultured cells to Xenopus oocytes: a method to study neurotransmitter receptors embedded in native lipids.
2003,
Pubmed
,
Xenbase
Palma,
Anomalous levels of Cl- transporters in the hippocampal subiculum from temporal lobe epilepsy patients make GABA excitatory.
2006,
Pubmed
,
Xenbase
Patro,
Salmon provides fast and bias-aware quantification of transcript expression.
2017,
Pubmed
Pozzi,
Environmental regulation of the chloride transporter KCC2: switching inflammation off to switch the GABA on?
2020,
Pubmed
Ritchie,
limma powers differential expression analyses for RNA-sequencing and microarray studies.
2015,
Pubmed
Robinson,
edgeR: a Bioconductor package for differential expression analysis of digital gene expression data.
2010,
Pubmed
Roseti,
GABAA currents are decreased by IL-1β in epileptogenic tissue of patients with temporal lobe epilepsy: implications for ictogenesis.
2015,
Pubmed
,
Xenbase
Rossini,
FCD Type II and mTOR pathway: Evidence for different mechanisms involved in the pathogenesis of dysmorphic neurons.
2017,
Pubmed
Ruffolo,
A novel GABAergic dysfunction in human Dravet syndrome.
2018,
Pubmed
,
Xenbase
Ruffolo,
Rare Diseases of Neurodevelopment: Maintain the Mystery or Use a Dazzling Tool for Investigation? The Case of Rett Syndrome.
2020,
Pubmed
,
Xenbase
Ruffolo,
Functional aspects of early brain development are preserved in tuberous sclerosis complex (TSC) epileptogenic lesions.
2016,
Pubmed
,
Xenbase
Semple,
Interleukin-1 Receptor in Seizure Susceptibility after Traumatic Injury to the Pediatric Brain.
2017,
Pubmed
Shao,
Pathological Networks Involving Dysmorphic Neurons in Type II Focal Cortical Dysplasia.
2022,
Pubmed
Soneson,
Differential analyses for RNA-seq: transcript-level estimates improve gene-level inferences.
2015,
Pubmed
Srivastava,
Comparative analysis of cytokine/chemokine regulatory networks in patients with hippocampal sclerosis (HS) and focal cortical dysplasia (FCD).
2017,
Pubmed
Talos,
Altered inhibition in tuberous sclerosis and type IIb cortical dysplasia.
2012,
Pubmed
Tang,
KCC2 rescues functional deficits in human neurons derived from patients with Rett syndrome.
2016,
Pubmed
Vezzani,
Neuroinflammatory pathways as treatment targets and biomarkers in epilepsy.
2019,
Pubmed
Vezzani,
Neuromodulatory properties of inflammatory cytokines and their impact on neuronal excitability.
2015,
Pubmed
Zhang,
Upregulation of HMGB1-TLR4 inflammatory pathway in focal cortical dysplasia type II.
2018,
Pubmed
Zimmer,
Balloon cells promote immune system activation in focal cortical dysplasia type 2b.
2021,
Pubmed