Click here to close
Hello! We notice that you are using Internet Explorer, which is not supported by Xenbase and may cause the site to display incorrectly.
We suggest using a current version of Chrome,
FireFox, or Safari.
Int J Mol Sci
2021 Jan 19;222:. doi: 10.3390/ijms22020973.
Show Gene links
Show Anatomy links
Natural Polyhydroxy Flavonoids, Curcuminoids, and Synthetic Curcumin Analogs as α7 nAChRs Positive Allosteric Modulators.
Ximenis M
,
Mulet J
,
Sala S
,
Sala F
,
Criado M
,
González-Muñiz R
,
Pérez de Vega MJ
.
???displayArticle.abstract???
The α7 nicotinic acetylcholine receptor (α7 nAChR) is a ligand-gated ion channel that is involved in cognition disorders, schizophrenia, pain, and inflammation. Allosteric modulation of this receptor might be advantageous to reduce the toxicity in comparison with full agonists. Our previous results obtained with some hydroxy-chalcones, which were identified as positive allosteric modulators (PAMs) of α7 nAChR, prompted us to evaluate the potential of some structurally related naturally occurring flavonoids and curcuminoids and some synthetic curcumin analogues, with the aim of identifying new allosteric modulators of the α7 nAChR. Biological evaluation showed that phloretin, demethoxycurcumin, and bis-demethoxicurcuming behave as PAMs of α7 nAChR. In addition, some new curcumin derivatives were able to enhance the signal evoked by ACh; the activity values found for the tetrahydrocurcuminoid analog 23 were especially promising.
RTI2018-097189-B-C22 Spanish Ministerio de Ciencia, Innovación y Universidades (MICIU-FEDER), 2019E030 CSIC, BFU2008-02160 Spanish Ministerio de Ciencia, Innovación y Universidades (MICIU-FEDER), SAF2011-22802 to SS Spanish Ministerio de Ciencia e Innovación
Figure 1. Characterization of curcumin (12) and two curcuminoids (compounds 13 and 14). (a–c) Ionic currents recorded in representative oocytes expressing human α7 nAChRs. Currents were evoked by 600 ms applications of ACh 200 μM in the absence (continuous line) and in the presence (dotted line) of 20 μM of 12 (panel (a)) or 10 μM of 13 (panel (b)) and 14 (panel (c)). All currents were recorded at a holding potential of –80 mV. (d) Concentration–response relationships for the potentiating effect of 12, 13, and 14 co-applied with ACh 200 μM. Continuous lines represent the fit to the Hill equation. Limited solubility of these compounds, especially 12 and 14, hindered the use of higher concentrations in order to adequately complete the curves, so that the following values should be considered with caution. Thus, maximal potentiating effects were estimated as 11 ± 3-, 5.5 ± 0.3-, and 5.5 ± 1.0-fold for compounds 12, 13, and 14, respectively. The EC50 values were 85 ± 35, 4.9 ± 1.0, and 6.9 ± 3.1 μM for 12, 13, and 14, respectively. (e) Concentration–response curves of peak currents elicited by ACh in control conditions or in the presence of 3 μM 13. Data have been normalized to the peak current obtained in control conditions with 1 mM ACh. Lines are fit to the Hill equation with parameters (Imax, EC50, nH): control (1.25, 176 μM, 1.25), 13 (2.70, 57 μM, 2.36). Data were taken from 3–7 oocytes from at least 2 donors.
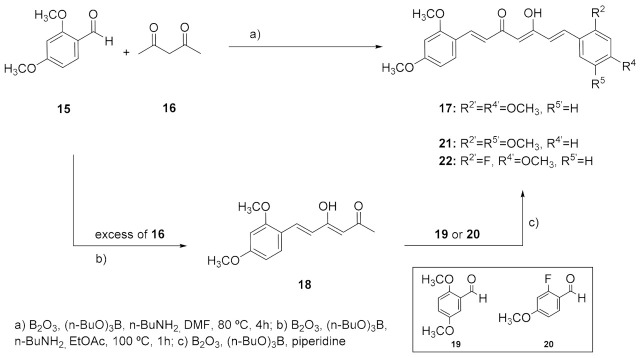
Scheme 1. Synthesis of symmetrically substituted (17) and asymmetrically substituted (21, 22) curcumin derivatives.
Scheme 2. Synthesis of tetrahydrocurcumins 23-25.
Figure 2. Characterization of compound 23. (a) Ionic currents recorded in representative oocytes expressing human α7 nAChRs. Currents were evoked by 600 ms applications of ACh 200 μM in the absence (continuous line) and in the presence (dotted line) of 10 μM of 23. All currents were recorded at a holding potential of −80 mV. (b) Concentration–response relationship for the potentiating effect of 23 co-applied with ACh 200 μM. Continuous line represents the fit to the Hill equation. Thus, maximal potentiating effect was estimated as 2.7 ± 0.3-fold, and the EC50 value was 0.44 ± 0.28 μM. Data are taken from 3–7 oocytes from at least 2 donors.
Aggarwal,
Curcumin differs from tetrahydrocurcumin for molecular targets, signaling pathways and cellular responses.
2014, Pubmed
Aggarwal,
Curcumin differs from tetrahydrocurcumin for molecular targets, signaling pathways and cellular responses.
2014,
Pubmed
Antonio-Tolentino,
Selective α7 nicotinic receptor agonists and positive allosteric modulators for the treatment of schizophrenia - a review.
2020,
Pubmed
Ashrafizadeh,
Curcumin in cancer therapy: A novel adjunct for combination chemotherapy with paclitaxel and alleviation of its adverse effects.
2020,
Pubmed
Bagdas,
New Insights on Neuronal Nicotinic Acetylcholine Receptors as Targets for Pain and Inflammation: A Focus on α7 nAChRs.
2018,
Pubmed
Balsera,
Chalcones as positive allosteric modulators of α7 nicotinic acetylcholine receptors: a new target for a privileged structure.
2014,
Pubmed
Balsera,
Amino acid and peptide prodrugs of diphenylpropanones positive allosteric modulators of α7 nicotinic receptors with analgesic activity.
2018,
Pubmed
,
Xenbase
Basu,
In Vitro and In Vivo Effects of Flavonoids on Peripheral Neuropathic Pain.
2020,
Pubmed
Bertrand,
The wonderland of neuronal nicotinic acetylcholine receptors.
2018,
Pubmed
Bhat,
Benefits of curcumin in brain disorders.
2019,
Pubmed
Bouzat,
Molecular function of α7 nicotinic receptors as drug targets.
2018,
Pubmed
Calfio,
The Emerging Role of Nutraceuticals and Phytochemicals in the Prevention and Treatment of Alzheimer's Disease.
2020,
Pubmed
Cancello,
The nicotinic acetylcholine receptor α7 in subcutaneous mature adipocytes: downregulation in human obesity and modulation by diet-induced weight loss.
2012,
Pubmed
Chatzidaki,
Allosteric modulation of nicotinic acetylcholine receptors.
2015,
Pubmed
Cho,
Rapid upregulation of alpha7 nicotinic acetylcholine receptors by tyrosine dephosphorylation.
2005,
Pubmed
,
Xenbase
Criado,
1,3-diphenylpropan-1-ones as allosteric modulators of α7 nACh receptors with analgesic and antioxidant properties.
2016,
Pubmed
Dajas,
Neuroprotective actions of flavones and flavonols: mechanisms and relationship to flavonoid structural features.
2013,
Pubmed
Deardorff,
Safety and clinical effects of EVP-6124 in subjects with Alzheimer's disease currently or previously receiving an acetylcholinesterase inhibitor medication.
2015,
Pubmed
Dey,
In search of allosteric modulators of a7-nAChR by solvent density guided virtual screening.
2011,
Pubmed
Elavarasan,
One pot synthesis, structural and spectral analysis of some symmetrical curcumin analogues catalyzed by calcium oxide under microwave irradiation.
2012,
Pubmed
El Nebrisi,
Curcumin Acts as a Positive Allosteric Modulator of α7-Nicotinic Acetylcholine Receptors and Reverses Nociception in Mouse Models of Inflammatory Pain.
2018,
Pubmed
,
Xenbase
Ferrari,
Newly synthesized curcumin derivatives: crosstalk between chemico-physical properties and biological activity.
2011,
Pubmed
Ferraz,
Therapeutic Potential of Flavonoids in Pain and Inflammation: Mechanisms of Action, Pre-Clinical and Clinical Data, and Pharmaceutical Development.
2020,
Pubmed
Fusi,
The surge of flavonoids as novel, fine regulators of cardiovascular Cav channels.
2017,
Pubmed
Gillis,
Applications of Fluorine in Medicinal Chemistry.
2015,
Pubmed
Grønlien,
Distinct profiles of alpha7 nAChR positive allosteric modulation revealed by structurally diverse chemotypes.
2007,
Pubmed
,
Xenbase
Grønlien,
Importance of M2-M3 loop in governing properties of genistein at the α7 nicotinic acetylcholine receptor inferred from α7/5-HT3A chimera.
2010,
Pubmed
,
Xenbase
Kantrowitz,
Double blind, two dose, randomized, placebo-controlled, cross-over clinical trial of the positive allosteric modulator at the alpha7 nicotinic cholinergic receptor AVL-3288 in schizophrenia patients.
2020,
Pubmed
Lai,
The Cancer Chemopreventive and Therapeutic Potential of Tetrahydrocurcumin.
2020,
Pubmed
Lee,
Protective effects of isoliquiritigenin against methamphetamine-induced neurotoxicity in mice.
2009,
Pubmed
Lin,
Antitumor agents. 250. Design and synthesis of new curcumin analogues as potential anti-prostate cancer agents.
2006,
Pubmed
Ma,
Alpha 7 nicotinic acetylcholine receptor and its effects on Alzheimer's disease.
2019,
Pubmed
Maan,
Role of Flavonoids in Neurodegenerative Diseases: Limitations and Future Perspectives.
2020,
Pubmed
Mazumder,
Curcumin analogs with altered potencies against HIV-1 integrase as probes for biochemical mechanisms of drug action.
1997,
Pubmed
Mitra,
Allosterism of Nicotinic Acetylcholine Receptors: Therapeutic Potential for Neuroinflammation Underlying Brain Trauma and Degenerative Disorders.
2020,
Pubmed
Mohammadian Haftcheshmeh,
Immunomodulatory therapeutic effects of curcumin in rheumatoid arthritis.
2020,
Pubmed
Montané,
Current Perspectives of the Applications of Polyphenols and Flavonoids in Cancer Therapy.
2020,
Pubmed
Mori,
Pd/C-catalyzed chemoselective hydrogenation in the presence of diphenylsulfide.
2006,
Pubmed
Nebrisi,
Curcumin potentiates the function of human α7-nicotinic acetylcholine receptors expressed in SH-EP1 cells.
2018,
Pubmed
Nielsen,
Flavonoids as positive allosteric modulators of α7 nicotinic receptors.
2019,
Pubmed
,
Xenbase
Pérez de Vega,
1-(2',5'-Dihydroxyphenyl)-3-(2-fluoro-4-hydroxyphenyl)-1-propanone (RGM079): A Positive Allosteric Modulator of α7 Nicotinic Receptors with Analgesic and Neuroprotective Activity.
2019,
Pubmed
Pulido-Moran,
Curcumin and Health.
2016,
Pubmed
Rabiei,
Phytotherapy in treatment of Parkinson's disease: a review.
2019,
Pubmed
Ryu,
Curcumin and dehydrozingerone derivatives: synthesis, radiolabeling, and evaluation for beta-amyloid plaque imaging.
2006,
Pubmed
Sala,
Effects of benzothiazepines on human neuronal nicotinic receptors expressed in Xenopus oocytes.
2002,
Pubmed
,
Xenbase
Sinha,
Discovery of Novel, Potent, Brain-Permeable, and Orally Efficacious Positive Allosteric Modulator of α7 Nicotinic Acetylcholine Receptor [4-(5-(4-Chlorophenyl)-4-methyl-2-propionylthiophen-3-yl)benzenesulfonamide]: Structure-Activity Relationship and Preclinical Characterization.
2020,
Pubmed
Slika,
A short review on chemical properties, stability and nano-technological advances for curcumin delivery.
2020,
Pubmed
Sun,
Role of curcumin in the management of pathological pain.
2018,
Pubmed
Sung,
Could Polyphenols Help in the Control of Rheumatoid Arthritis?
2019,
Pubmed
Tabeshpour,
Effects of curcumin on ion channels and pumps: A review.
2019,
Pubmed
Terry,
α7 nicotinic acetylcholine receptors as therapeutic targets in schizophrenia: Update on animal and clinical studies and strategies for the future.
2020,
Pubmed
Teymouri,
Biological and pharmacological evaluation of dimethoxycurcumin: A metabolically stable curcumin analogue with a promising therapeutic potential.
2018,
Pubmed
Titus,
Positive allosteric modulation of the α7 nicotinic acetylcholine receptor as a treatment for cognitive deficits after traumatic brain injury.
2019,
Pubmed
Tregellas,
Alpha7 Nicotinic Receptors as Therapeutic Targets in Schizophrenia.
2019,
Pubmed
Uddin,
Molecular Insight into the Therapeutic Promise of Flavonoids against Alzheimer's Disease.
2020,
Pubmed
Williams,
Positive allosteric modulators as an approach to nicotinic acetylcholine receptor-targeted therapeutics: advantages and limitations.
2011,
Pubmed
Wu,
Chemopreventative effects of tetrahydrocurcumin on human diseases.
2014,
Pubmed
Yang,
The current agonists and positive allosteric modulators of α7 nAChR for CNS indications in clinical trials.
2017,
Pubmed
Zhan,
Protective effects of isoliquiritigenin in transient middle cerebral artery occlusion-induced focal cerebral ischemia in rats.
2006,
Pubmed
Zhang,
Effects of curcumin on ion channels and transporters.
2014,
Pubmed