Click here to close
Hello! We notice that you are using Internet Explorer, which is not supported by Xenbase and may cause the site to display incorrectly.
We suggest using a current version of Chrome,
FireFox, or Safari.
Single-Particle Tracking Reveals Anti-Persistent Subdiffusion in Cell Extracts.
Speckner K
,
Weiss M
.
???displayArticle.abstract???
Single-particle tracking (SPT) has become a powerful tool to quantify transport phenomena in complex media with unprecedented detail. Based on the reconstruction of individual trajectories, a wealth of informative measures become available for each particle, allowing for a detailed comparison with theoretical predictions. While SPT has been used frequently to explore diffusive transport in artificial fluids and inside living cells, intermediate systems, i.e., biochemically active cell extracts, have been studied only sparsely. Extracts derived from the eggs of the clawfrog Xenopus laevis, for example, are known for their ability to support and mimic vital processes of cells, emphasizing the need to explore also the transport phenomena of nano-sized particles in such extracts. Here, we have performed extensive SPT on beads with 20 nm radius in native and chemically treated Xenopus extracts. By analyzing a variety of distinct measures, we show that these beads feature an anti-persistent subdiffusion that is consistent with fractional Brownian motion. Chemical treatments did not grossly alter this finding, suggesting that the high degree of macromolecular crowding in Xenopus extracts equips the fluid with a viscoelastic modulus, hence enforcing particles to perform random walks with a significant anti-persistent memory kernel.
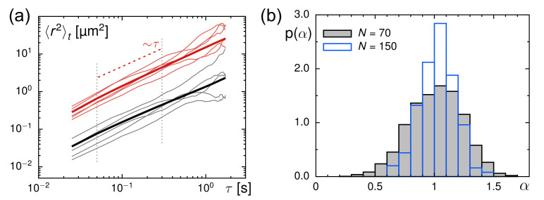
Figure 1. (a) Representative TA-MSDs for trajectories with length N=70 (randomly chosen from the ensemble) from experiments in glycerol–water mixtures (red thin lines) and in Xenopus extract (black thin lines), together with the respective ensemble-averaged TA-MSDs (colored thick lines). For better visibility, data for calibration experiments have been shifted upward tenfold. The scaling for normal diffusion (〈r2(τ)〉t∼τ) is indicated by a red dashed line; vertical grey dashed lines indicate the fit region used to analyze individual TA-MSDs. (b) The PDF of anomaly exponents, p(α), as obtained from fitting TA-MSDs in glycerol–water mixtures features a mean 〈α〉≈1, irrespective of the trajectory length (black-grey histogram: N=70, blue histogram: N=150).
Figure 2. (a) The PDF of anomaly exponents, p(α), as obtained from fitting TA-MSDs in the interval τ∈[0.05,0.3] s, features a mean 〈α〉≈0.9, irrespective of the trajectory length (black-grey histogram: N=70, blue histogram: N=150). The considerable width of the PDF may not only reflect statistical fluctuations but is likely to also report on spatially varying material properties of the Xenopus extract. Performing a bootstrapping approach with geometric averaging (black-open histogram) confirms the slightly subdiffusive motion of particles, while an arithmetic averaging (red histogram) overestimates the mean scaling exponent; see also main text for discussion. Please note the logarithmic y-axis. (b) The PDF of generalized diffusion coefficients, p(K), shown here versus the average area covered in one second, K×1sα, features an almost lognormal shape (indicated by full lines) for trajectory lengths N=70 (grey/black) and N=150 (blue), with a slight tendency for lower mobilities in longer trajectories. Please see the main text for discussion. (c) A scatter plot of trajectory-wise values of α and K (blue and grey symbols) highlights a correlation between these two quantities, in good agreement with results on simulated FBM trajectories with a Hurst coefficient H=α/2=0.45 (red symbols). The black dashed line is an empiric guide for the eye. FBM simulation data have been shifted upward fivefold for better visibility.
Figure 3. The PDF of normalized increments taken within a period δt, shown here as p(|χ|), complies well with a standard Gaussian (black full line) for different choices of δt (color-coded symbols). For δt≥5Δt and |χ|>3, consistently lower probabilities than the Gaussian benchmark are observed for unknown reasons.
Figure 4. The normalized VACF, C(ξ), for different choices of δt (color-coded symbols) shows excellent agreement with the FBM prediction [Equation (5)] when inserting the mean scaling exponent 〈α〉=0.9 (full black line). In particular, a clearly negative value of C(ξ=1) confirms an antipersistent random walk, most likely of the FBM type. No significant changes of the VACF minimum are seen for different δt, confirming that trajectories are not plagued by localization errors.
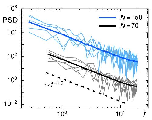
Figure 5. The PSD of individual trajectories (black and blue thin lines, representing trajectories with length N=70 and N=150, respectively) fluctuate around the ensemble-averaged PSD (thick colored lines). In both cases, the FBM prediction for a scaling S(f)∼1/f1+〈α〉 (with 〈α〉=0.9, dashed line) are nicely met. For better visibility, data for N=150 have been shifted upward 100-fold.
Figure 6. The coefficient of variation of individual PSDs with respect to the ensemble mean, γ(f), for normally diffusive trajectories from calibration experiments (red line) clearly assumes higher values than those for trajectories from the Xenopus extract (blue and black lines), irrespective of the trajectory length, N. As predicted for FBM, these subdiffusive SPT data converge toward γ=1, whereas normally diffusive data from calibration experiments converge to the predicted value γ=5/2. Both are clearly distinct from the prediction for superdiffusive FBM motion, γ=2. For convenience, frequencies f were made dimensionless by multiplication with the total time T=NΔt covered in each trajectory.
Figure 7. Representative fluorescence images of beads (upper panel) and microtubules (lower panel) in native and pharmaceutically treated Xenopus extracts (see Materials and Methods for details); scale bars indicate 10 μm. While native extracts feature a significant amount of microtubule filaments (left column), the addition of nocodazole completely eradicates these higher-order structures (right column). In contrast, stabilizing microtubules by taxol further enhances the ‘filament jungle’ (middle column).
Akin,
Single-Molecule Imaging of Nav1.6 on the Surface of Hippocampal Neurons Reveals Somatic Nanoclusters.
2016, Pubmed
Akin,
Single-Molecule Imaging of Nav1.6 on the Surface of Hippocampal Neurons Reveals Somatic Nanoclusters.
2016,
Pubmed
Backlund,
Chromosomal locus tracking with proper accounting of static and dynamic errors.
2015,
Pubmed
Banks,
Anomalous diffusion of proteins due to molecular crowding.
2005,
Pubmed
Berry,
Monte carlo simulations of enzyme reactions in two dimensions: fractal kinetics and spatial segregation.
2002,
Pubmed
Burov,
Aging and nonergodicity beyond the Khinchin theorem.
2010,
Pubmed
Chubynsky,
Diffusing diffusivity: a model for anomalous, yet Brownian, diffusion.
2014,
Pubmed
Dumont,
Force and length in the mitotic spindle.
2009,
Pubmed
Etoc,
Non-specific interactions govern cytosolic diffusion of nanosized objects in mammalian cells.
2018,
Pubmed
Flier,
Single molecule fluorescence microscopy investigations on heterogeneity of translational diffusion in thin polymer films.
2011,
Pubmed
Good,
Cytoplasmic volume modulates spindle size during embryogenesis.
2013,
Pubmed
,
Xenbase
Goychuk,
Viscoelastic subdiffusion in a random Gaussian environment.
2018,
Pubmed
Guigas,
Probing the nanoscale viscoelasticity of intracellular fluids in living cells.
2007,
Pubmed
Hannak,
Investigating mitotic spindle assembly and function in vitro using Xenopus laevis egg extracts.
2006,
Pubmed
,
Xenbase
Hapca,
Anomalous diffusion of heterogeneous populations characterized by normal diffusion at the individual level.
2009,
Pubmed
Hartich,
Thermodynamic Uncertainty Relation Bounds the Extent of Anomalous Diffusion.
2021,
Pubmed
He,
Random time-scale invariant diffusion and transport coefficients.
2008,
Pubmed
Höfling,
Anomalous transport in the crowded world of biological cells.
2013,
Pubmed
Jaqaman,
Robust single-particle tracking in live-cell time-lapse sequences.
2008,
Pubmed
Jeon,
Anomalous diffusion of phospholipids and cholesterols in a lipid bilayer and its origins.
2012,
Pubmed
Jeon,
In vivo anomalous diffusion and weak ergodicity breaking of lipid granules.
2011,
Pubmed
Lampo,
Cytoplasmic RNA-Protein Particles Exhibit Non-Gaussian Subdiffusive Behavior.
2017,
Pubmed
Laurence,
Correlation spectroscopy of minor fluorescent species: signal purification and distribution analysis.
2007,
Pubmed
Lubelski,
Nonergodicity mimics inhomogeneity in single particle tracking.
2008,
Pubmed
Malchus,
Anomalous diffusion reports on the interaction of misfolded proteins with the quality control machinery in the endoplasmic reticulum.
2010,
Pubmed
Manzo,
A review of progress in single particle tracking: from methods to biophysical insights.
2015,
Pubmed
Metzler,
Anomalous diffusion models and their properties: non-stationarity, non-ergodicity, and ageing at the centenary of single particle tracking.
2014,
Pubmed
Neusius,
Subdiffusion in time-averaged, confined random walks.
2009,
Pubmed
Pan,
Viscoelasticity in homogeneous protein solutions.
2009,
Pubmed
Pawar,
Anisotropic diffusion of macromolecules in the contiguous nucleocytoplasmic fluid during eukaryotic cell division.
2014,
Pubmed
Qian,
Single particle tracking. Analysis of diffusion and flow in two-dimensional systems.
1991,
Pubmed
Sabri,
Elucidating the Origin of Heterogeneous Anomalous Diffusion in the Cytoplasm of Mammalian Cells.
2020,
Pubmed
Saxton,
Single-particle tracking: the distribution of diffusion coefficients.
1997,
Pubmed
Schneider,
Statistical Analysis of Scanning Fluorescence Correlation Spectroscopy Data Differentiates Free from Hindered Diffusion.
2018,
Pubmed
Shen,
Single Particle Tracking: From Theory to Biophysical Applications.
2017,
Pubmed
Singh,
3D Protein Dynamics in the Cell Nucleus.
2017,
Pubmed
Sokolova,
Enhanced transcription rates in membrane-free protocells formed by coacervation of cell lysate.
2013,
Pubmed
Speckner,
Anomalous dynamics of the endoplasmic reticulum network.
2018,
Pubmed
Stadler,
Diffusion of Exit Sites on the Endoplasmic Reticulum: A Random Walk on a Shivering Backbone.
2018,
Pubmed
Struntz,
The hitchhiker's guide to quantitative diffusion measurements.
2018,
Pubmed
Szymanski,
Elucidating the origin of anomalous diffusion in crowded fluids.
2009,
Pubmed
Tinevez,
TrackMate: An open and extensible platform for single-particle tracking.
2017,
Pubmed
Valentine,
Mechanical properties of Xenopus egg cytoplasmic extracts.
2005,
Pubmed
,
Xenbase
Wachsmuth,
Anomalous diffusion of fluorescent probes inside living cell nuclei investigated by spatially-resolved fluorescence correlation spectroscopy.
2000,
Pubmed
Wade,
Translational diffusion of class II major histocompatibility complex molecules is constrained by their cytoplasmic domains.
1989,
Pubmed
Wang,
When Brownian diffusion is not Gaussian.
2012,
Pubmed
Weber,
Bacterial chromosomal loci move subdiffusively through a viscoelastic cytoplasm.
2010,
Pubmed
Weber,
Analytical tools to distinguish the effects of localization error, confinement, and medium elasticity on the velocity autocorrelation function.
2012,
Pubmed
Weigel,
Ergodic and nonergodic processes coexist in the plasma membrane as observed by single-molecule tracking.
2011,
Pubmed
Weiss,
Anomalous subdiffusion is a measure for cytoplasmic crowding in living cells.
2004,
Pubmed
Weiss,
Resampling single-particle tracking data eliminates localization errors and reveals proper diffusion anomalies.
2019,
Pubmed
Weiss,
Crowding, diffusion, and biochemical reactions.
2014,
Pubmed