|
Figure 1. Viral plaque assays and genome copy number detection by quantitative PCR (QPCR). (A) For plaque assays, 1 mL of the virus-containing supernatant of tissue homogenate from an individual kidney sample was used to inoculate A6 cells (ATCC® CCL-102™). FV3 plaques were counted at 1, 3, and 6 days post-infection (dpi) and imaged for representative wells. (B) Virus titers were calculated to present as PFU/mL average for each group/treatment. (C) Virus genome copies were examined in the DNA samples from the infected kidneys using a routine QPCR procedure to determine the FV3gorf60R gene copies in 150 ng DNA per reaction as described. * p < 0.05, n = 5 for (B,C).
|
|
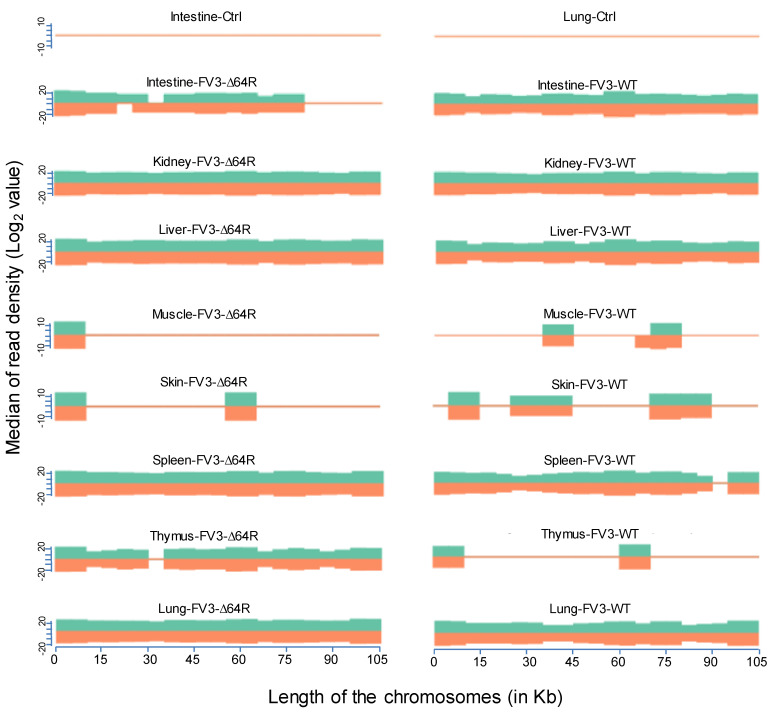
Figure 2. Virus-targeted transcriptome analysis in the control and infected samples at 3 dpi. Shown is the distribution plots of mapped reads in the FV3 genome (GenBank accession no. NC_005946.1). The x-axis shows the length of the genome (in Kb, 105 Kb of FV3), and the y-axis indicates the log2 of the median of the read density. Green and red indicate the positive and negative strands, respectively. Note, no FV3 transcript reads were obtained from the control (Ctrl) non-infected samples (shown only from the intestine and lung).
|
|
Figure 3. RNA-Seq correlation among the samples. Heat maps of the correlation coefficient between samples are shown. Numbers indicate the square of the Pearson coefficient (R2). The closer the correlation coefficient was to 1, the greater the similarity of the samples. Generally low R2 values indicated a dramatic difference between different tissues and two FV3 strains.
|
|
Figure 4. Heatmap and cluster analysis of differential expression of all validated/putative ORFs for coding genes along the FV3 genome. FPKM values were used as for paired-end RNA-Seq per differential gene expression and cluster analysis, clustered using the log10(FPKM + 1) values. Yellow denotes genes with high expression levels, and blue denotes genes with low expression levels. The color range from yellow to blue represents the log10(FPKM + 1) value from large to small. The ORFs sit in the same or close clusters that have similar expression patterns across the samples. The black rows indicate that the expression of the corresponding ORFs has not been detected, implying a silent or nonproductive transcription. The table at the right lists the 98 annotated open reading frames (ORFs) in the FV3 genome and the corresponding designation of gene symbols as defined under the GenBank FV3 reference genome (NC_005946.1). The red line frames indicate higher expressed gene clusters in the infected tissues other than the kidney and spleen, where FV3 primarily showed high expression in general. Other abbreviations: FPKM, fragments per kilobase of transcript per million mapped reads; H.P., hypothetical proteins; T.C., temporal class.
|
|
Figure 5. Differential expression of FV3 ORF coding genes based on their temporal classification in the viral infection. FV3 gene expression is temporally regulated in a coordinated fashion, leading to the sequential appearance of immediate early (IE), delayed early (DE), and late (L) viral transcripts. The IE genes include immediate early stable messages (IE-S) and immediate early transient messages (IE-Tr). Transcriptomic analysis of the expression of the 98 total annotated FV3 ORF coding genes (Xenbase) indicates a differential expression pattern dependent on the gene class, virus strain, and especially tissue types. * p < 0.05, n > 10, compared to the overall average. Other abbreviations: 64, FV3-∆64R; WT, FV3-WT; Overall, genes in all of the classes.
|
|
Figure 6. Differential expression of individual genes of FV3 between the FV3-∆64R and FV3-WT infected groups. The genes are categorized based on their sequential classes as immediate early (IE), delayed early (DE), and late (L) viral transcripts. RNA-Seq reads are presented as averages across the eight types of different tissues (i.e., intestine, kidney, liver, muscle, skin, spleen, thymus, and lung) to demonstrate that the differential expression is dependent on the gene and virus strain. Note that the y-axis is in a log10 scale. Other abbreviations: 64, FV3-∆64R; IE-S, immediate early stable messages; IE-Tr, immediate early transient messages; WT, FV3-WT.
|
|
Figure 7. Sorted expression levels of individual FV3 ORF coding genes to show the relative expression order across and within each temporal gene classes. The genes are categorized based on their sequential classes as immediate early (IE), delayed early (DE), and late (L) viral transcripts. RNA-Seq reads are presented as averages across all samples to demonstrate the differential expression based on each gene in general at three days post-infection. Note that the y-axis is in a log10 scale, and is the difference of the mean values between each temporal gene classes. The genes, which have an expression level close to the group means (framed by the blue dashed line), should serve as better gene markers for the estimation of viral genome copies for classical QPCR detection. Other abbreviations: 64, FV3-∆64R; IE-S, immediate early stable messages; IE-Tr, immediate early transient messages; WT, FV3-WT.
|
|
Figure 8. Identification of putative interferon regulatory factor domain (IRF) in FV3 hypothetical proteins, which are potentially virus-coding molecular mimics able to interfere with the host antiviral interferon signaling. (A) Orf82R refers to FV3orf82R spanning 89,450–89,923 nt region on the positive strand of the FV3 genome (NC_005946.1), and encodes a hypothetical protein ICP-18 of 157 AA. It contains the second IRF-like domains at ~30% AA sequence similarity to the second IRF domain detected at Xenopus IRF8 proteins, as illustrated. (B) Orf19R refers to FV3orf19R spanning the 21,916–24,471 nt region on the positive strand of the FV3 genome and encodes a hypothetical protein of 851 AA. It contains two IRF domains (partially second one) at its C-terminal ~500 AA. Norf13L ascribes a novel open reading frame (Norf) predicted using the FGEESV0 program, which spans the 14,685–15,092 nt region of the negative strand of the FV3 genome and encodes a hypothetical protein of 135 AA. It contains two nearly consecutive IRF domains (partially a second one) as aligned to irf3 homologs. The full-length sequences of the predicted hypothetical ORF/proteins are provided in File S1. The collective information of other IRF-like domain-containing proteins and GenBank accession numbers of the aligned protein sequences are listed in Table 1. Putative protein domains were queried and extracted using the NCBI CDD database, and their tertiary structure was modeled using Phyre2 and PyMol programs. Multiple sequence alignments were obtained using a Jalview program.
|
|
Figure 9. Detection of fibronectin type 3 domain (FN3) conserved in the IFN receptors of several FV3 hypothetical proteins, which are potential virus-coding molecular mimics able to interfere with the host antiviral interferon signaling. (A) Norf66L ascribes a novel open reading frame (Norf), which spans the 59,162–60,037 nt region of the negative strand of the FV3 reference genome and encodes a hypothetical protein of 291 AA. It contains an FN3 domain (residue 121–230 AA) similar to vertebrate interferon lambda receptor 1 (ifnlr1) isoforms regarding the sequence similarity and β-sheet containing structure. (B) Orf59L refers to FV3orf59L spanning the 65,956–67,014 nt region on the negative strand of the FV3 genome and encodes a hypothetical protein of 352 AA. It contains an FN3 domain region at 108–203 AA and is molecularly similar to that of Xenopus IL-10 receptor beta unit (il10rb). The full-length sequences of the predicted hypothetical ORF/proteins are provided in File S1. The collective information of other IFN-interfering, domain-containing proteins and GenBank accession numbers of the aligned protein sequences are listed in Table 1. The protein domain analyses were queried and extracted using the NCBI CDD database, the tertiary structures were simulated using Phyre2 and PyMol programs, and sequence alignments and view were simulated with a Jalview program.
|