XB-ART-58047
Front Mol Biosci
2021 Jan 01;8:646574. doi: 10.3389/fmolb.2021.646574.
Show Gene links
Show Anatomy links
A GC-MS/Single-Cell Method to Evaluate Membrane Transporter Substrate Specificity and Signaling.
Fairweather SJ
,
Okada S
,
Gauthier-Coles G
,
Javed K
,
Bröer A
,
Bröer S
.
???displayArticle.abstract???
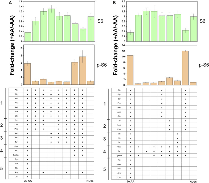
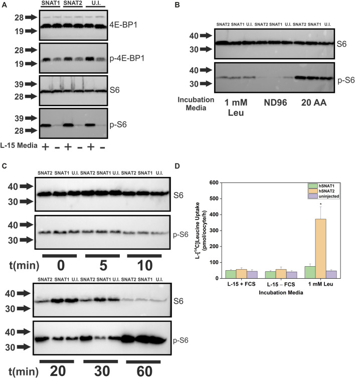
Amino acid transporters play a vital role in metabolism and nutrient signaling pathways. Typically, transport activity is investigated using single substrates and competing amounts of other amino acids. We used GC-MS and LC-MS for metabolic screening of Xenopus laevis oocytes expressing various human amino acid transporters incubated in complex media to establish their comprehensive substrate profiles. For most transporters, amino acid selectivity matched reported substrate profiles. However, we could not detect substantial accumulation of cationic amino acids by SNAT4 and ATB0,+ in contrast to previous reports. In addition, comparative substrate profiles of two related sodium neutral amino acid transporters known as SNAT1 and SNAT2, revealed the latter as a significant leucine accumulator. As a consequence, SNAT2, but not SNAT1, was shown to be an effective activator of the eukaryotic cellular growth regulator mTORC1. We propose, that metabolomic profiling of membrane transporters in Xe nopus laevis oocytes can be used to test their substrate specificity and role in intracellular signaling pathways.
???displayArticle.pubmedLink??? 33928121
???displayArticle.pmcLink??? PMC8076599
???displayArticle.link??? Front Mol Biosci
Species referenced: Xenopus laevis
Genes referenced: slc38a1 slc38a2 slc38a4
???attribute.lit??? ???displayArticles.show???
References [+] :
Abplanalp,
The cataract and glucosuria associated monocarboxylate transporter MCT12 is a new creatine transporter.
2013, Pubmed,
Xenbase
Abplanalp, The cataract and glucosuria associated monocarboxylate transporter MCT12 is a new creatine transporter. 2013, Pubmed , Xenbase
Aggio, Metab: an R package for high-throughput analysis of metabolomics data generated by GC-MS. 2011, Pubmed
Ahmadi, SLC6A14, an amino acid transporter, modifies the primary CF defect in fluid secretion. 2018, Pubmed
Albers, Na+ transport by the neural glutamine transporter ATA1. 2001, Pubmed , Xenbase
Baird, Tertiary active transport of amino acids reconstituted by coexpression of System A and L transporters in Xenopus oocytes. 2009, Pubmed , Xenbase
Behrends, A software complement to AMDIS for processing GC-MS metabolomic data. 2011, Pubmed
Beugnet, Regulation of targets of mTOR (mammalian target of rapamycin) signalling by intracellular amino acid availability. 2003, Pubmed
Bode, Molecular and functional analysis of glutamine uptake in human hepatoma and liver-derived cells. 2002, Pubmed
Böhmer, Characterization of mouse amino acid transporter B0AT1 (slc6a19). 2005, Pubmed , Xenbase
Bröer, Neutral amino acid transporter ASCT2 displays substrate-induced Na+ exchange and a substrate-gated anion conductance. 2000, Pubmed , Xenbase
Bröer, Amino Acid Transport Across the Mammalian Intestine. 2018, Pubmed
Bröer, Xenopus laevis Oocytes. 2010, Pubmed , Xenbase
Bröer, Amino acid homeostasis and signalling in mammalian cells and organisms. 2017, Pubmed
Bröer, Association of 4F2hc with light chains LAT1, LAT2 or y+LAT2 requires different domains. 2001, Pubmed , Xenbase
Bröer, Amino Acid Transporters as Disease Modifiers and Drug Targets. 2018, Pubmed
Bröer, Xenopus laevis Oocytes. 2003, Pubmed , Xenbase
Bröer, Deletion of Amino Acid Transporter ASCT2 (SLC1A5) Reveals an Essential Role for Transporters SNAT1 (SLC38A1) and SNAT2 (SLC38A2) to Sustain Glutaminolysis in Cancer Cells. 2016, Pubmed
Camargo, Steady-state kinetic characterization of the mouse B(0)AT1 sodium-dependent neutral amino acid transporter. 2005, Pubmed , Xenbase
Carroll, The MetabolomeExpress Project: enabling web-based processing, analysis and transparent dissemination of GC/MS metabolomics datasets. 2010, Pubmed
Chaudhry, Glutamine uptake by neurons: interaction of protons with system a transporters. 2002, Pubmed
Chien, Reevaluating the Substrate Specificity of the L-Type Amino Acid Transporter (LAT1). 2018, Pubmed
Chiu, Glutamine stimulates mTORC1 independent of the cell content of essential amino acids. 2012, Pubmed
Christie, Intracellular sensing of amino acids in Xenopus laevis oocytes stimulates p70 S6 kinase in a target of rapamycin-dependent manner. 2002, Pubmed , Xenbase
Condon, Nutrient regulation of mTORC1 at a glance. 2019, Pubmed
Ebert, Reassessment of GLUT7 and GLUT9 as Putative Fructose and Glucose Transporters. 2017, Pubmed , Xenbase
Evans, Inhibition of SNAT2 by metabolic acidosis enhances proteolysis in skeletal muscle. 2008, Pubmed
Evans, Acidosis-sensing glutamine pump SNAT2 determines amino acid levels and mammalian target of rapamycin signalling to protein synthesis in L6 muscle cells. 2007, Pubmed
Fairweather, Intestinal peptidases form functional complexes with the neutral amino acid transporter B(0)AT1. 2012, Pubmed , Xenbase
Fairweather, Molecular basis for the interaction of the mammalian amino acid transporters B0AT1 and B0AT3 with their ancillary protein collectrin. 2015, Pubmed , Xenbase
Fairweather, Heteromeric Solute Carriers: Function, Structure, Pathology and Pharmacology. 2021, Pubmed
Fan, PAT4 levels control amino-acid sensitivity of rapamycin-resistant mTORC1 from the Golgi and affect clinical outcome in colorectal cancer. 2016, Pubmed
Fiehn, Metabolomics by Gas Chromatography-Mass Spectrometry: Combined Targeted and Untargeted Profiling. 2016, Pubmed
Fitzgerald, A general method for determining secondary active transporter substrate stoichiometry. 2017, Pubmed
Fromm, Structural mechanism for amino acid-dependent Rag GTPase nucleotide state switching by SLC38A9. 2020, Pubmed
Fuchs, ASCT2 silencing regulates mammalian target-of-rapamycin growth and survival signaling in human hepatoma cells. 2007, Pubmed
Gaccioli, Amino acid starvation induces the SNAT2 neutral amino acid transporter by a mechanism that involves eukaryotic initiation factor 2alpha phosphorylation and cap-independent translation. 2006, Pubmed
Gauthier-Coles, Quantitative modelling of amino acid transport and homeostasis in mammalian cells. 2021, Pubmed
Gazzola, The adaptive regulation of amino acid transport system A is associated to changes in ATA2 expression. 2001, Pubmed
Goberdhan, PAT-related amino acid transporters regulate growth via a novel mechanism that does not require bulk transport of amino acids. 2005, Pubmed , Xenbase
Grewer, Electrophysiological characterization of membrane transport proteins. 2013, Pubmed
Gründemann, Discovery of the ergothioneine transporter. 2005, Pubmed
Gu, mTORC2 Regulates Amino Acid Metabolism in Cancer by Phosphorylation of the Cystine-Glutamate Antiporter xCT. 2017, Pubmed
Halket, Chemical derivatization and mass spectral libraries in metabolic profiling by GC/MS and LC/MS/MS. 2005, Pubmed
Hara, Amino acid sufficiency and mTOR regulate p70 S6 kinase and eIF-4E BP1 through a common effector mechanism. 1998, Pubmed
Hatanaka, Primary structure, functional characteristics and tissue expression pattern of human ATA2, a subtype of amino acid transport system A. 2000, Pubmed
Hatanaka, Evidence for the transport of neutral as well as cationic amino acids by ATA3, a novel and liver-specific subtype of amino acid transport system A. 2001, Pubmed
Haug, MetaboLights: a resource evolving in response to the needs of its scientific community. 2020, Pubmed
Heublein, Proton-assisted amino-acid transporters are conserved regulators of proliferation and amino-acid-dependent mTORC1 activation. 2010, Pubmed
Hoffmann, Effects of Sodium and Amino Acid Substrate Availability upon the Expression and Stability of the SNAT2 (SLC38A2) Amino Acid Transporter. 2018, Pubmed
Hummel, Decision tree supported substructure prediction of metabolites from GC-MS profiles. 2010, Pubmed
Hundal, Amino acid transceptors: gate keepers of nutrient exchange and regulators of nutrient signaling. 2009, Pubmed
Hyde, Distinct sensor pathways in the hierarchical control of SNAT2, a putative amino acid transceptor, by amino acid availability. 2007, Pubmed
Jani, In vitro methods in drug transporter interaction assessment. 2014, Pubmed
Javed, Development of Biomarkers for Inhibition of SLC6A19 (B⁰AT1)-A Potential Target to Treat Metabolic Disorders. 2018, Pubmed
Javed, Amino acid transporters in the regulation of insulin secretion and signalling. 2019, Pubmed
Javed, Mice Lacking the Intestinal and Renal Neutral Amino Acid Transporter SLC6A19 Demonstrate the Relationship between Dietary Protein Intake and Amino Acid Malabsorption. 2019, Pubmed
Jewell, Metabolism. Differential regulation of mTORC1 by leucine and glutamine. 2015, Pubmed
Jung, Amino Acid-Dependent mTORC1 Regulation by the Lysosomal Membrane Protein SLC38A9. 2015, Pubmed
Kandasamy, Amino acid transporters revisited: New views in health and disease. 2018, Pubmed
Kim, mTOR as a central hub of nutrient signalling and cell growth. 2019, Pubmed
Koek, Metabolic profiling of ultrasmall sample volumes with GC/MS: from microliter to nanoliter samples. 2010, Pubmed , Xenbase
Kowalczuk, A protein complex in the brush-border membrane explains a Hartnup disorder allele. 2008, Pubmed , Xenbase
Lee, Coordination of the leucine-sensing Rag GTPase cycle by leucyl-tRNA synthetase in the mTORC1 signaling pathway. 2018, Pubmed
Lei, Crystal structure of arginine-bound lysosomal transporter SLC38A9 in the cytosol-open state. 2018, Pubmed
Lei, A conformational change in the N terminus of SLC38A9 signals mTORC1 activation. 2021, Pubmed
Leimer, Complete mass spectra of N-trifluoroacetyl-n-butyl esters of amino acids. 1977, Pubmed
Li, Identification of stereoselective transporters for S-nitroso-L-cysteine: role of LAT1 and LAT2 in biological activity of S-nitrosothiols. 2005, Pubmed , Xenbase
Lu, Metabolite Measurement: Pitfalls to Avoid and Practices to Follow. 2017, Pubmed
Mackenzie, Sodium-coupled neutral amino acid (System N/A) transporters of the SLC38 gene family. 2004, Pubmed
Meier, Activation of system L heterodimeric amino acid exchangers by intracellular substrates. 2002, Pubmed , Xenbase
Morimoto, Establishment and characterization of mammalian cell lines stably expressing human L-type amino acid transporters. 2008, Pubmed , Xenbase
Nicklin, Bidirectional transport of amino acids regulates mTOR and autophagy. 2009, Pubmed
Panchaud, SEACing the GAP that nEGOCiates TORC1 activation: evolutionary conservation of Rag GTPase regulation. 2013, Pubmed
Parker, The tyrosine transporter of Toxoplasma gondii is a member of the newly defined apicomplexan amino acid transporter (ApiAT) family. 2019, Pubmed
Pei, PROMALS: towards accurate multiple sequence alignments of distantly related proteins. 2007, Pubmed
Pinilla, SNAT2 transceptor signalling via mTOR: a role in cell growth and proliferation? 2011, Pubmed
Poncet, The role of amino acid transporters in nutrition. 2013, Pubmed
Potter, HMMER web server: 2018 update. 2018, Pubmed
Rebsamen, SLC38A9: A lysosomal amino acid transporter at the core of the amino acid-sensing machinery that controls MTORC1. 2016, Pubmed
Rebsamen, SLC38A9 is a component of the lysosomal amino acid sensing machinery that controls mTORC1. 2015, Pubmed
Sarker, An introduction to natural products isolation. 2012, Pubmed
Saxton, mTOR Signaling in Growth, Metabolism, and Disease. 2017, Pubmed
Scalise, The Human SLC1A5 Neutral Amino Acid Transporter Catalyzes a pH-Dependent Glutamate/Glutamine Antiport, as Well. 2020, Pubmed
Scalise, Cysteine is not a substrate but a specific modulator of human ASCT2 (SLC1A5) transporter. 2015, Pubmed
Session, Genome evolution in the allotetraploid frog Xenopus laevis. 2016, Pubmed , Xenbase
Singer, Defective intestinal amino acid absorption in Ace2 null mice. 2012, Pubmed
Sloan, Cloning and functional expression of a human Na(+) and Cl(-)-dependent neutral and cationic amino acid transporter B(0+). 1999, Pubmed , Xenbase
Smits, Global absolute quantification reveals tight regulation of protein expression in single Xenopus eggs. 2014, Pubmed , Xenbase
Sobczak, Endogenous transport systems in the Xenopus laevis oocyte plasma membrane. 2010, Pubmed , Xenbase
Stegen, Swelling-induced taurine release without chloride channel activity in Xenopus laevis oocytes expressing anion channels and transporters. 2000, Pubmed , Xenbase
Su, Mediation of highly concentrative uptake of pregabalin by L-type amino acid transport in Chinese hamster ovary and Caco-2 cells. 2005, Pubmed , Xenbase
Sugawara, Structure and function of ATA3, a new subtype of amino acid transport system A, primarily expressed in the liver and skeletal muscle. 2000, Pubmed , Xenbase
Tan, Glutamine metabolism regulates autophagy-dependent mTORC1 reactivation during amino acid starvation. 2017, Pubmed
Tang, The Regulatory Role of MeAIB in Protein Metabolism and the mTOR Signaling Pathway in Porcine Enterocytes. 2018, Pubmed
Taslimifar, Quantifying the relative contributions of different solute carriers to aggregate substrate transport. 2017, Pubmed , Xenbase
Tatebe, Evolutionary Conservation of the Components in the TOR Signaling Pathways. 2017, Pubmed
Taylor, Accumulation of free amino acids in growing Xenopus laevis oocytes. 1987, Pubmed , Xenbase
Tsugawa, MS-DIAL: data-independent MS/MS deconvolution for comprehensive metabolome analysis. 2015, Pubmed
Uchino, Transport of amino acid-related compounds mediated by L-type amino acid transporter 1 (LAT1): insights into the mechanisms of substrate recognition. 2002, Pubmed , Xenbase
Vera, Reconstitution of an insulin signaling pathway in Xenopus laevis oocytes: coexpression of a mammalian insulin receptor and three different mammalian hexose transporters. 1990, Pubmed , Xenbase
Wang, Metabolism. Lysosomal amino acid transporter SLC38A9 signals arginine sufficiency to mTORC1. 2015, Pubmed
Wang, Cloning and functional expression of ATA1, a subtype of amino acid transporter A, from human placenta. 2000, Pubmed
Wolfson, The Dawn of the Age of Amino Acid Sensors for the mTORC1 Pathway. 2017, Pubmed
Wolfson, Sestrin2 is a leucine sensor for the mTORC1 pathway. 2016, Pubmed
Wongthai, Boronophenylalanine, a boron delivery agent for boron neutron capture therapy, is transported by ATB0,+, LAT1 and LAT2. 2015, Pubmed , Xenbase
Wu, FLCN Maintains the Leucine Level in Lysosome to Stimulate mTORC1. 2016, Pubmed
Wühr, Deep proteomics of the Xenopus laevis egg using an mRNA-derived reference database. 2014, Pubmed , Xenbase
Wyant, mTORC1 Activator SLC38A9 Is Required to Efflux Essential Amino Acids from Lysosomes and Use Protein as a Nutrient. 2017, Pubmed
Yanagida, Human L-type amino acid transporter 1 (LAT1): characterization of function and expression in tumor cell lines. 2001, Pubmed , Xenbase
Yao, A novel system A isoform mediating Na+/neutral amino acid cotransport. 2000, Pubmed , Xenbase
Yoon, Leucyl-tRNA Synthetase Activates Vps34 in Amino Acid-Sensing mTORC1 Signaling. 2016, Pubmed
Zhao, The amino acid transporter PAT1 regulates mTORC1 in a nutrient-sensitive manner that requires its transport activity. 2019, Pubmed
Zheng, Recent Advances in Understanding Amino Acid Sensing Mechanisms that Regulate mTORC1. 2016, Pubmed
Zoncu, mTORC1 senses lysosomal amino acids through an inside-out mechanism that requires the vacuolar H(+)-ATPase. 2011, Pubmed
Zur, LAT1 activity of carboxylic acid bioisosteres: Evaluation of hydroxamic acids as substrates. 2016, Pubmed
