|
SCHEME I.
|
|
SCHEME II.
|
|
Figure 1. . Sequence of NH2 termini of the BK auxiliary β subunit family. (A) NH2 termini of the four known auxiliary β subunits are shown. For the β3 subunit for which four alternatively spliced NH2 termini have been identified (Uebele et al., 2000), the rapidly inactivating β3b variant is shown. TM1 designates the proposed beginning of the first TM segment. Positive and negative residues in the β2 subunit are in blue and red, respectively. Boxed sets of β2 residues (11–17 and 20–30) are thought to adopt relatively helical structures in an isolated peptide, while other portions of the NH2 terminus are relatively disordered (Bentrop et al., 2001). (B) The initial 20 residues of several inactivating NH2 termini are compared, showing the common theme of a hydrophobic segment at the NH2 terminus and the downstream hydrophilic region.
|
|
Figure 2. . Deletions spanning positions 5–36 do not abolish inactivation. In A1, currents resulting from α subunits coexpressed with wild-type β2 subunits were activated by the indicated voltage protocol. In A2, currents were activated by a paired pulse protocol (activation steps to 100 mV) separated by steps of different duration to −140 mV. Currents during the initial activation step were truncated to allow better visualization of the recovery time course. In B, removal of Phe, Ile, and Trp in positions 2–4 (ΔFIW) results in removal of inactivation. In C1 and C2, currents arising from a β2 subunit with amino acids in positions 5–16 deleted (Δ5–16) are shown. The first 10 amino acids in this construct are MFIWEKRNIY. Note the steady-state current in this construct that may arise from the influence of charged residues in positions 5–7. In D1 and D2, currents arising from a construct with residues 16–25 deleted (Δ16–25) are shown. In E1 and E2, currents are shown for a construct with residues 27–36 deleted (Δ27–36). In F, the currents show that deletion of residues 5 through 35 (Δ5–35) results in removal of inactivation. In Δ5–35, the total length of the cytosolic portion of the NH2 terminus is 14. In G, inactivation time constants (τon) for β2 (•, 4 patches), Δ5–16 (⋄, 3 patches), Δ16–25 (○, 4 patches), and Δ27–36 (♦, 4 patches) are plotted as a function of activation potential showing a similar weak voltage-dependence of τon for each construct. Each point is the mean and SD of 4–7 patches. In H, the recovery time course at −140 mV defined from the paired pulse protocol is shown for a set of patches for each construct. For β2 (•, 4 patches), the fitted τoff is 23.4 ± 2.3 ms; for Δ5–16 (⋄, 3 patches), τoff is 5.13 ± 0.19 ms; for Δ16–25 (○, 4 patches), τoff is 9.30 ± 0.55 ms; for Δ27–36 (♦, 3 patches), τoff is 6.19 ± 0.33 ms. Vertical calibration bar corresponds to: A1, 3 nA; A2, 2 nA; B, 6 nA; C1, 4 nA; C2, 3 nA; D1, 6 nA; D2, 4 nA; E1, 1.5 nA; E2, 1.2 nA; F, 8 nA.
|
|
Figure 3. . Deletions within positions 2–4 of the NH2 terminus reduce and abolish inactivation. In A1, activation of wild-type α + β2 currents are illustrated while, in A2, the time course of recovery from inactivation at −140 mV is shown. In B1 and B2, currents resulting from a construct with deletion of Phe in position 2 (ΔF) are shown, along with the time course of recovery from inactivation for that construct. Note the appearance of some steady-state current at all activation potentials. In C1 and C2, currents resulting from a construct with deletion of Phe and Ile in positions 2 and 3 (ΔFI) are shown. More substantial steady-state current is observed along with more rapid recovery from inactivation. In D, τon is plotted as a function of activation potential for each of the three inactivating constructs (β2: •, 4 patches; ΔF: ○, 4 patches; ΔFI, ♦, 8 patches). In E, the time course of recovery from inactivation determined at −140 mV is illustrated for the three constructs. For β2, τoff is given in Fig. 2; for ΔF (3 patches), τoff is 4.5 ± 0.3 ms; for ΔFI (4 patches), τoff is 2.99 ± 0.33 ms.
|
|
Figure 4. . Consequences of replacement or displacement of FIW residues with GGG. In A, currents arising from a construct in which residues FIW were replaced with GGG are shown. No inactivation is observed, and trypsin application resulted in no increase in outward current. In B, currents are shown for a construct in which GGG was appended to the initial FIW sequence. The apparent stability of inactivation is reduced, but inactivation still occurs. In C, currents are shown for a construct in which GGG was inserted between FIW and the remainder of the NH2 terminus. In this case, steady-state inactivation is than for wild-type, but still substantial.
|
|
Figure 5. . Consequences of replacement of one or two residues in the FIW epitope. In A, inactivating currents resulting from wild-type β2 subunits are shown. In B–D, glycine was individually substituted for each residue in the FIW epitope. In each case, this resulted in a small weakening of inactivation, with the strongest effect arising from the F2G substitution. In E–G, two glycines were substituted for a pair of residues in the FIW epitope. In F, replacement of both F and W with G abolished inactivation, while the presence of a single F (E) or W (G) appears sufficient to maintain some fast inactivation. In H–K, the consequences of increasing the separation between F and W are illustrated. In H, the presence of two glycines between F and W results in currents similar to those with an FGW epitope, suggesting that W can still contribute to the stability of the inactivated state when there are two glycines interposed. In I and J, three and four glycines are interposed between F and W, in both cases resulting in currents in which steady-state inactivation is comparable to that resulting from FGG (E). This suggests that, in FGGGW (I) and FGGGGW (J), W may not substantially participate in defining the stability of the inactivated state. In K, the introduction of two negative charges between F and W abolishes inactivation.
|
|
Figure 6. . Introduction of single charges in the inactivation segment reduces but does not abolish rapid inactivation. In A–C, each residue in the inactivation segment was replaced individually with glutamate. Replacement of F with E (A) produced the most marked disruption of inactivation, with substantial steady-state current observed at all potentials. In D–F, the consequences of replacing each residue with arginine are illustrated. Arginine is less effective in each case at disrupting inactivation than glutamate, although at each position arginine produces some reduction in the stability of the inactivated state. Similar to the action of glutamate, replacement of F with R (D) had the strongest effects in disrupting inactivation. Vertical calibration: A, 4 nA; B, 1.5 nA; C, 5 nA; D, 6 nA; E, 5 nA; F, 4 nA.
|
|
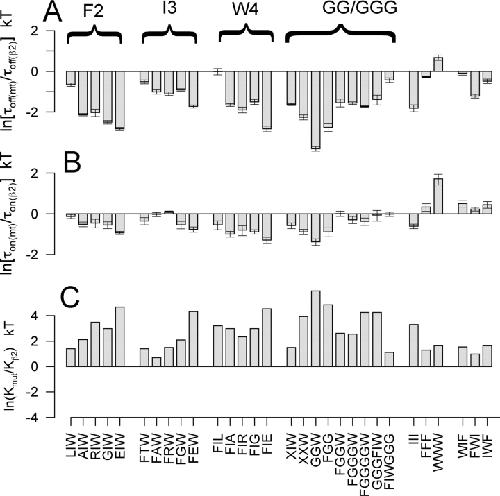
Figure 7. . Relationship of inactivation parameters to alterations in the FIW triplet. In A, changes in τoff relative to inactivation mediated by wild-type β2 subunits is expressed kT units. Mutations are grouped into those at position 2 (F2), those at position 3 (I3), those at position 4 (W4), constructs with deletions or multiple glycines in the NH2 terminus, and then a set of repeated residues in the initial triplet (FFF, III, WWW). Error bars reflect standard errors for measurement of the mutant construct expressed relative to the mean β2 estimate. In B, changes in τon are shown for each construct. Except for the slowing in inactivation resulting from the WWW mutation, most mutations have minimal effects on inactivation onset. In C, effects of mutations are compared in terms of ln(Kmt/Kβ2), which is calculated based on the steady-state current at 100 mV (fss) and τon (see materials and methods).
|
|
Figure 8. . Dependence of inactivation onset and recovery on properties of residues in the initial triplet. In A1, τon (on the left) and τoff (on the right) is plotted as a function of the mean surface area of the residue in position 2 that would be buried on transfer from solvent to a folded protein (Rose et al., 1985). In A2, τoff is plotted as a function of area what would be buried. The lines correspond to linear regressions [τ(area) = B*exp(C*area)] fit through only the uncharged residues. In B1 and B2, τon and τoff are plotted with respect to area buried on transfer of a residue from solvent to a folded protein in regard to the residue in position 3 in the inactivation epitope. In C1 and C2, τon and τoff are plotted with respect to area buried on transfer of a residue from solvent to a folded protein in regard to the residue in position 4 in the inactivation epitope.
|
|
Figure 9. . Dependence of inactivation parameters on bulk hydrophobicity within the initial triplet. In A, τoff for constructs with mutations within the FIW triplet is plotted as a function of the mean surface area (for the three residues in positions 2–4) that would be buried on transfer from solvent to a folded protein (Rose et al., 1985). The solid line is a linear regression [τoff(A) = 0.018 * exp(0.012*A)] for all constructs involving uncharged residues. Error bars are SD for a least three determinations. ♦, F2G, F2A, F2L; ▪, I3T, I3A, I3G; ▾, W4G, W4A, W4L; ▵, FGG, GGW; •, FFF, III, WWW; red ○, F2R, I3R, W4R; blue ⋄, F2E, I3E, W4E; red ▴, FWI, WIF, IWF. In B, τon is plotted as a function of area of residue buried on transfer to a folded protein. Symbols are as in A. The solid line was a fit to constructs with no charges in the initial triplet [τon(A) = 0.002 exp(0.016A) + 8.0].
|
|
Figure 10. . NH2 termini with artificial polymeric linkers support inactivation of BK channels. In A and H, wild-type β2 currents are shown at two different time bases for comparison to mutant constructs. In B, an NH2 terminus with a polymeric chain length of 30 glutamine residues separating FIW from R46 results in currents that exhibit inactivation. In C, an NH2 terminus consisting solely of 30 glutamine residues (30Q) does not inactivate. In D, an NH2 terminus with a polymeric chain length with 10 glutamine residues separating FIW from R46 results in currents that do not inactivate. In E, when the chain length reaches 12 residues, fast time-dependent block is observed at potentials positive to 140 mV, while at more moderate potentials the fast kinetics of block result in an apparent increase in current activation rate. In F and G, traces show inactivating currents resulting from linkers of 14 and 20 glutamine residues, as indicated. In H, wild-type β2 currents are shown on a different time base. In I, the NH2 terminus contained a linker with 10 proline residues. In J, the linker contained 12 proline residues. In K, the linker contained 14 proline residues. In L, the linker contained 14 residues, an alternating sequence of 7 alanine-arginine pairs.
|
|
Figure 11. . Dependence of inactivation properties on lengths of artificial NH2 termini and altered β2 NH2 termini. In A, τon for poly-glutamine (Poly-Q) and poly-proline (poly-P) linkers is plotted as a function of linker length. In B, τoff for poly-Q and poly-P linkers is plotted as a function of linker length. In C, ln(K*mt/K*β2) is plotted as a function of linker length. In D, τoff is plotted as a function of the length of the β2 NH2-terminal linker for various deletion constructs, as indicated. In E, τoff is plotted as a function of β2 linker length for various deletion constructs. In F, ln(K*mt/K*β2) is plotted as a function of linker length for deletion constructs. Dotted lines correspond to values for the wild-type β2 construct.
|
|
Figure 12. . Mutations of charged residues have little impact on inactivation mediated by the β2 auxiliary subunit. For A–J, currents were activated by the indicated voltage-protocol, although in D longer activation steps were employed. In A, wild-type β2 currents are illustrated. In B, currents resulted from construct R8QR14QK18QR19Q. In C, currents are from construct R8Q R14QK18QR19QK24QR26QK35QK41Q; in D, D16RE17K; in E, neutralization of all charge in first 26 amino acids, R8QR14QK18QR19QK24QR26QD16NE17Q. In F, currents resulted from a construct with deletion of two of the residues in the inactivation epitope, FI (ΔFI). In G, currents resulted from mutation of R8QR14QK18QR19Q in a background of ΔFI; in H, ΔFI-R8QR14QK18QR19QK24QR26QK35QK41Q; in I, ΔFI-D16RE17K; in J, ΔFI-R8QR14QK18QR19QK24QR26QD16NE17Q. Vertical calibration: A, 3 nA; B, 0.6 nA; C, 1.5 nA; D, 1.5 nA; E, 2 nA; F, 2.5 nA; G, 1.3 nA; H, 5 nA; I, 2.5 nA; J, 1.5 nA.
|
|
Figure 13. . Dependence of inactivation properties on net charge in first 30 amino acids of NH2 terminus. In A, τoff is plotted as a function of net charge in the first 30 amino acids of the NH2 terminus. Constructs in which residues K33, R34K35, and K41 were mutated were not included in these plots, since shifts in activation V0.5 in these constructs resulted in shifts in τoff because of coupling of inactivation to activation. The filled circle corresponds to the wild-type β2 NH2 terminus. In B, τon is plotted as a function of net charge. With decreases in net charge, τon shows little change while increases in net charge result in a slowing of τon. In C, τoff for constructs with a ΔFI background is plotted as a function of net charge, revealing little dependence of recovery from inactivation on net charge in the linker. In D, τon is plotted as a function of net charge for constructs with a ΔFI background.
|
|
Figure 14. . Effects of insertions in the β2 NH2 terminus. A fourteen residue insert (6QSG6Q) was introduced into the β2 NH2 terminus beginning at positions 9, 16, 27, 36, and 46. In A, inactivation onset for wild-type β2 currents is shown on the left for activation potentials from −100 through 140 mV. On the right, wild-type β2 currents resulting from a paired pulse protocol to define the time course of recovery from inactivation are shown. The duration of the initial inactivation pulse varied for different constructs to ensure that inactivation was essentially complete before the onset of a recovery interval (τon ∼22 ms; τoff ∼24 ms). In B, inactivation onset (on the left) and recovery from inactivation for an NH2 terminus with the 14 amino acid insert at position 9 (INS@9) are shown. Inactivation onset is slowed about fourfold (τon ∼183 ms), while recovery from inactivation (τoff ∼34 ms) is only slightly affected. In C, currents resulted from an NH2 terminus with the insert at position 16 (INS@16). Both inactivation onset (τon ∼174 ms) and recovery (τoff ∼36.7 ms) are slowed relative to wild-type currents. In D, currents resulted from an insert at position 27 (INS@27), with both the onset (τon ∼26.2 ms) and recovery (τoff ∼31 ms) from inactivation being similar to wild-type currents. In E, in construct INS@36, onset (τon ∼52 ms) and recovery (τoff ∼17 ms) from inactivation are similar to wild-type currents. In F, in construct INS@46, a shift in the V0.5 of activation is observed, along with an increase in recovery rate (τon ∼49 ms; τoff ∼13.4 ms).
|