XB-ART-57914
Dev Biol
2020 Nov 01;4671-2:39-50. doi: 10.1016/j.ydbio.2020.08.013.
Show Gene links
Show Anatomy links
Mcrs1 interacts with Six1 to influence early craniofacial and otic development.
???displayArticle.abstract???
The Six1 transcription factor plays a major role in craniofacial development. Mutations in SIX1 and its co-factor, EYA1, are causative for about 50% of Branchio-otic/Branchio-oto-renal syndrome (BOR) patients, who are characterized by variable craniofacial, otic and renal malformations. We previously screened for other proteins that might interact with Six1 to identify additional genes that may play a role in BOR, and herein characterize the developmental role of one of them, Microspherule protein 1 (Mcrs1). We found that in cultured cells, Mcrs1 bound to Six1 and in both cultured cells and embryonic ectoderm reduced Six1-Eya1 transcriptional activation. Knock-down of Mcrs1 in embryos caused an expansion of the domains of neural plate genes and two genes expressed in both the neural plate and neural crest (zic1, zic2). In contrast, two other genes expressed in pre-migratory neural crest (foxd3, sox9) were primarily reduced. Cranial placode genes showed a mixture of expanded and diminished expression domains. At larval stages, loss of Mcrs1 resulted in a significant reduction of otic vesicle gene expression concomitant with a smaller otic vesicle volume. Experimentally increasing Mcrs1 above endogenous levels favored the expansion of neural border and neural crest gene domains over cranial placode genes; it also reduced otic vesicle gene expression but not otic vesicle volume. Co-expression of Mcrs1 and Six1 as well as double knock-down and rescue experiments establish a functional interaction between Mcrs1 and Six1 in the embryo, and demonstrate that this interaction has an important role in the development of craniofacial tissues including the otic vesicle.
???displayArticle.pubmedLink??? 32891623
???displayArticle.pmcLink??? PMC8106806
???displayArticle.link??? Dev Biol
???displayArticle.grants??? [+]
R01 DE022065 NIDCR NIH HHS, R01 DE026434 NIDCR NIH HHS, R01 DE016289 NIDCR NIH HHS, R24 OD021485 NIH HHS
Species referenced: Xenopus laevis
Genes referenced: cdca8 eya1 foxd3 irx1 mcrs1 msx1 myc pax3 prl rpn1 six1 sox11 sox2 sox9 tfap2a zic1 zic2
???displayArticle.morpholinos??? mcrs1 MO1 mcrs1 MO2 mcrs1 MO3 mcrs1 MO4 six1 MO1 six1 MO2
???displayArticle.disOnts??? branchiootic syndrome [+]
???displayArticle.omims??? BRANCHIOOTORENAL SYNDROME 1; BOR1 [+]
Phenotypes: Xla Wt + mcrs1 (Fig. 2 C, Sup. Fig. 2 A C) [+]
Xla Wt + mcrs1
(Fig. 2 D, Sup. Fig. 2 A C)
Xla Wt + mcrs1 (Fig. 4 A, Sup. Fig. 2 A)
Xla Wt + mcrs1 (Fig. 4 B, Sup. Fig. 2 A D)
Xla Wt + mcrs1 (Fig. 4 E, Sup. Fig. 2 B)
Xla Wt + mcrs1 (Fig. 4 F, Sup. Fig. 2 B)
Xla Wt + mcrs1 (Fig. 4 G, Sup. Fig. 2 C)
Xla Wt + mcrs1 (Fig. 4 H, Sup. Fig. 2 C D)
Xla Wt + mcrs1 (Fig. 4 I, Sup. Fig. 2 C)
Xla Wt + mcrs1 (Fig. 4 J, Sup. Fig. 2 A D)
Xla Wt + mcrs1 (Fig. 5 A)
Xla Wt + mcrs1 (Fig. 5 A)
Xla Wt + mcrs1 (Fig. 5 A)
Xla Wt + mcrs1 (Fig. 5 B)
Xla Wt + mcrs1 (Fig. 5 B)
Xla Wt + mcrs1 (Fig. 5 B)
Xla Wt + mcrs1 (Fig. 6 A col 4)
Xla Wt + mcrs1 (Fig. 6 B col 4)
Xla Wt + mcrs1 (Fig. 6 C col 4)
Xla Wt + mcrs1 (Fig. 6 D col 4)
Xla Wt + mcrs1 (Fig. 6 E col 4)
Xla Wt + mcrs1 (Fig. 6 F col 4)
Xla Wt + mcrs1 (Fig. 7 G J)
Xla Wt + mcrs1 (Fig. 7 H J)
Xla Wt + mcrs1 (Fig. 7 I J)
Xla Wt + mcrs1 MO (Fig. 2 A N)
Xla Wt + mcrs1 MO (Fig. 2 B N Q)
Xla Wt + mcrs1 MO (Fig. 2 C N P)
Xla Wt + mcrs1 MO (Fig. 2 D N P)
Xla Wt + mcrs1 MO (Fig. 2 E O)
Xla Wt + mcrs1 MO (Fig. 2 F O)
Xla Wt + mcrs1 MO (Fig. 2 G P)
Xla Wt + mcrs1 MO (Fig. 2 H P)
Xla Wt + mcrs1 MO (Fig. 2 I Q)
Xla Wt + mcrs1 MO (Fig. 2 J N Q)
Xla Wt + mcrs1 MO (FIg. 2 K N Q)
Xla Wt + mcrs1 MO (Fig. 2 L P)
Xla Wt + mcrs1 MO (Fig. 2 M Q)
Xla Wt + mcrs1 MO (Fig. 2 O)
Xla Wt + mcrs1 MO (Fig. 2 P)
Xla Wt + mcrs1 MO (Fig. 2 Q)
Xla Wt + mcrs1 MO (Fig. 3 D)
Xla Wt + mcrs1 MO (Fig. 5 C col 1)
Xla Wt + mcrs1 MO (Fig. 5 D col 1)
Xla Wt + mcrs1 MO (Fig. 5 E col 1)
Xla Wt + mcrs1 MO (Fig. 5 F col 1)
Xla Wt + mcrs1 MO (Fig. 5 G col1)
Xla Wt + mcrs1 MO (Fig. 5 H col 1)
Xla Wt + mcrs1 MO (Fig. 7 A D)
Xla Wt + mcrs1 MO (Fig. 7 B D)
Xla Wt + mcrs1 MO (Fig. 7 C D)
Xla Wt + mcrs1 MO (Fig. 7 E)
Xla Wt + mcrs1 MO (Fig. 7 F)
Xla Wt + mcrs1 MO (Fig. S 1 D)
Xla Wt + mcrs1 + six1 MO (Fig. 6 A col 2)
Xla Wt + mcrs1 + six1 MO (Fig. 6 A col 3)
Xla Wt + mcrs1 + six1 MO (Fig. 6 B col 3)
Xla Wt + mcrs1 + six1 MO (Fig. 6 C col 3)
Xla Wt + mcrs1 + six1 MO (Fig. 6 D col 3)
Xla Wt + mcrs1 + six1 MO (Fig. 6 E col 3)
Xla Wt + mcrs1 + six1 MO (Fig. 6 F col 3)
Xla Wt + six1 (Fig. 5 A)
Xla Wt + six1 (Fig. 5 A)
Xla Wt + six1 (Fig. 5 A)
Xla Wt + six1 (Fig. 5 A)
Xla Wt + six1 (Fig. 5 B)
Xla Wt + six1 (Fig. 5 B)
Xla Wt + six1 + mcrs1 (Fig. 5 A)
Xla Wt + six1 + mcrs1 (Fig. 5 A)
Xla Wt + six1 + mcrs1 (Fig. 5 A)
Xla Wt + six1 + mcrs1 (Fig. 5 A)
Xla Wt + six1 + mcrs1 (Fig. 5 B)
Xla Wt + six1 + mcrs1 (Fig. 5 B)
Xla Wt + six1 MO (Fig. 5 C col 3)
Xla Wt + six1 MO (Fig. 5 D col 3)
Xla Wt + six1 MO (Fig. 5 E col 3)
Xla Wt + six1 MO (Fig. 5 F col 3)
Xla Wt + six1 MO (Fig. 5 G col 3)
Xla Wt + six1 MO (Fig. 5 H col 3)
Xla Wt + six1 MO (Fig. 6 A col 1)
Xla Wt + six1 MO (Fig. 6 B col 1)
Xla Wt + six1 MO (Fig. 6 C col 1 )
Xla Wt + six1 MO (Fig. 6 D col 1)
Xla Wt + six1 MO (Fig. 6 E col 1)
Xla Wt + six1 MO (Fig. 6 F col 1)
Xla Wt + six1 MO + mcrs1 MO (Fig. 5 C col 2)
Xla Wt + six1 MO + mcrs1 MO (Fig. 5 D col 2)
Xla Wt + six1 MO + mcrs1 MO (Fig. 5 E col 2)
Xla Wt + six1 MO + mcrs1 MO (Fig. 5 F col 2)
Xla Wt + six1 MO + mcrs1 MO (Fig. 5 G col 2)
Xla Wt + six1 MO + mcrs1 MO (Fig. 5 H col 2)
Xla Wt + mcrs1 (Fig. 4 A, Sup. Fig. 2 A)
Xla Wt + mcrs1 (Fig. 4 B, Sup. Fig. 2 A D)
Xla Wt + mcrs1 (Fig. 4 E, Sup. Fig. 2 B)
Xla Wt + mcrs1 (Fig. 4 F, Sup. Fig. 2 B)
Xla Wt + mcrs1 (Fig. 4 G, Sup. Fig. 2 C)
Xla Wt + mcrs1 (Fig. 4 H, Sup. Fig. 2 C D)
Xla Wt + mcrs1 (Fig. 4 I, Sup. Fig. 2 C)
Xla Wt + mcrs1 (Fig. 4 J, Sup. Fig. 2 A D)
Xla Wt + mcrs1 (Fig. 5 A)
Xla Wt + mcrs1 (Fig. 5 A)
Xla Wt + mcrs1 (Fig. 5 A)
Xla Wt + mcrs1 (Fig. 5 B)
Xla Wt + mcrs1 (Fig. 5 B)
Xla Wt + mcrs1 (Fig. 5 B)
Xla Wt + mcrs1 (Fig. 6 A col 4)
Xla Wt + mcrs1 (Fig. 6 B col 4)
Xla Wt + mcrs1 (Fig. 6 C col 4)
Xla Wt + mcrs1 (Fig. 6 D col 4)
Xla Wt + mcrs1 (Fig. 6 E col 4)
Xla Wt + mcrs1 (Fig. 6 F col 4)
Xla Wt + mcrs1 (Fig. 7 G J)
Xla Wt + mcrs1 (Fig. 7 H J)
Xla Wt + mcrs1 (Fig. 7 I J)
Xla Wt + mcrs1 MO (Fig. 2 A N)
Xla Wt + mcrs1 MO (Fig. 2 B N Q)
Xla Wt + mcrs1 MO (Fig. 2 C N P)
Xla Wt + mcrs1 MO (Fig. 2 D N P)
Xla Wt + mcrs1 MO (Fig. 2 E O)
Xla Wt + mcrs1 MO (Fig. 2 F O)
Xla Wt + mcrs1 MO (Fig. 2 G P)
Xla Wt + mcrs1 MO (Fig. 2 H P)
Xla Wt + mcrs1 MO (Fig. 2 I Q)
Xla Wt + mcrs1 MO (Fig. 2 J N Q)
Xla Wt + mcrs1 MO (FIg. 2 K N Q)
Xla Wt + mcrs1 MO (Fig. 2 L P)
Xla Wt + mcrs1 MO (Fig. 2 M Q)
Xla Wt + mcrs1 MO (Fig. 2 O)
Xla Wt + mcrs1 MO (Fig. 2 P)
Xla Wt + mcrs1 MO (Fig. 2 Q)
Xla Wt + mcrs1 MO (Fig. 3 D)
Xla Wt + mcrs1 MO (Fig. 5 C col 1)
Xla Wt + mcrs1 MO (Fig. 5 D col 1)
Xla Wt + mcrs1 MO (Fig. 5 E col 1)
Xla Wt + mcrs1 MO (Fig. 5 F col 1)
Xla Wt + mcrs1 MO (Fig. 5 G col1)
Xla Wt + mcrs1 MO (Fig. 5 H col 1)
Xla Wt + mcrs1 MO (Fig. 7 A D)
Xla Wt + mcrs1 MO (Fig. 7 B D)
Xla Wt + mcrs1 MO (Fig. 7 C D)
Xla Wt + mcrs1 MO (Fig. 7 E)
Xla Wt + mcrs1 MO (Fig. 7 F)
Xla Wt + mcrs1 MO (Fig. S 1 D)
Xla Wt + mcrs1 + six1 MO (Fig. 6 A col 2)
Xla Wt + mcrs1 + six1 MO (Fig. 6 A col 3)
Xla Wt + mcrs1 + six1 MO (Fig. 6 B col 3)
Xla Wt + mcrs1 + six1 MO (Fig. 6 C col 3)
Xla Wt + mcrs1 + six1 MO (Fig. 6 D col 3)
Xla Wt + mcrs1 + six1 MO (Fig. 6 E col 3)
Xla Wt + mcrs1 + six1 MO (Fig. 6 F col 3)
Xla Wt + six1 (Fig. 5 A)
Xla Wt + six1 (Fig. 5 A)
Xla Wt + six1 (Fig. 5 A)
Xla Wt + six1 (Fig. 5 A)
Xla Wt + six1 (Fig. 5 B)
Xla Wt + six1 (Fig. 5 B)
Xla Wt + six1 + mcrs1 (Fig. 5 A)
Xla Wt + six1 + mcrs1 (Fig. 5 A)
Xla Wt + six1 + mcrs1 (Fig. 5 A)
Xla Wt + six1 + mcrs1 (Fig. 5 A)
Xla Wt + six1 + mcrs1 (Fig. 5 B)
Xla Wt + six1 + mcrs1 (Fig. 5 B)
Xla Wt + six1 MO (Fig. 5 C col 3)
Xla Wt + six1 MO (Fig. 5 D col 3)
Xla Wt + six1 MO (Fig. 5 E col 3)
Xla Wt + six1 MO (Fig. 5 F col 3)
Xla Wt + six1 MO (Fig. 5 G col 3)
Xla Wt + six1 MO (Fig. 5 H col 3)
Xla Wt + six1 MO (Fig. 6 A col 1)
Xla Wt + six1 MO (Fig. 6 B col 1)
Xla Wt + six1 MO (Fig. 6 C col 1 )
Xla Wt + six1 MO (Fig. 6 D col 1)
Xla Wt + six1 MO (Fig. 6 E col 1)
Xla Wt + six1 MO (Fig. 6 F col 1)
Xla Wt + six1 MO + mcrs1 MO (Fig. 5 C col 2)
Xla Wt + six1 MO + mcrs1 MO (Fig. 5 D col 2)
Xla Wt + six1 MO + mcrs1 MO (Fig. 5 E col 2)
Xla Wt + six1 MO + mcrs1 MO (Fig. 5 F col 2)
Xla Wt + six1 MO + mcrs1 MO (Fig. 5 G col 2)
Xla Wt + six1 MO + mcrs1 MO (Fig. 5 H col 2)
???attribute.lit??? ???displayArticles.show???
|
|
Fig. 1. Mcrs1 binds to Six1 and reduces Six1/Eya1 transcriptional activity. (A) HEK293T cells were transfected with either Six1-Flag alone or together with Mcrs1-HA. Six1-Flag efficiently immunoprecipitated Mcrs1. (B) HEK293T cells were transfected with either Six1-Flag alone (Six1) or together with Eya1-Myc (Six1+Eya1) plus various doses of Mcrs1-HA. Sequential Western blots were performed to detect Mcrs1 (anti-HA), Eya1 (anti-Myc) and Six1 (anti-Flag). Six1 immunoprecipitated Eya1, even in the presence of increasing amounts of Mcrs1 (1-, 2-, 5- or 10-fold greater than the amount of the Six1 plasmid), indicating that Mcrs1 does not displace Eya1 from the Six1 complex. (CâE) Dual glow luciferase assays using the ARE-luciferase reporter and pRL-CMV control reporter. Each value corresponds to the ratio between the firefly luciferase value and the Renilla value, normalized to the control plasmid (Red Fluorescent Protein, RFP). (C) HEK293T cells transfected with either RFP (control), Six1+Eya1 or Six1+Eya1+Mcrs1 plasmids. The addition of Mcrs1 significantly reduced Six1+Eya1 transcriptional activation (âââ, p â< â0.001, two-tailed t-test). Bars are the mean of at least 3 independent experiments â± âSD. (D) One-cell embryos were injected with 10 âpg of ARE-luciferase and 2.5 âpg of pRL-CMV plasmids, together with either RFP plasmid or a combination of mRNAs encoding Six1 (100 âpg), Eya1 (100 âpg) and/or Mcrs1 (200 âpg). Animal cap explants (AC) were dissected at blastula stages and cultured until control sibling embryos reached the early neurula stage. Individual animal caps were extracted and firefly and Renilla luciferase measured. The addition of Mcrs1 significantly reduced Six1+Eya1 transcriptional activation (â, p â< â0.05, two-tailed t-test). Bars are the mean of at least 3 independent experiments â± âSD. (E) Embryos at the 8-cell stage were injected with either 10 âpg of ARE-luciferase and 2.5 âpg of pCS2-Renilla plasmids plus 200 âpg of RFP mRNA alone or with Mcrs1 MO3+4 (2.5 âng each). Individual embryos (n â= â5) with fluorescence in the anterior neural plate were extracted and firefly and Renilla luciferase measured. Knock-down of endogenous Mcrs1 resulted in a significant increase in reporter activity (âââ, p â< â0.001, two-tailed t-test) due to endogenous Six1. Bars are the mean of at least 3 independent experiments â± âSD. |
|
|
Fig. 2. Mcrs1 is required for properly proportioning the cranial neural gene expression domains. (A) sox2 expression in the neural plate is expanded on the S-MO injected side of the embryo (red bar), compared to control, uninjected side (black bar). (B) sox11 expression in the neural plate is expanded on the S-MO injected side of the embryo (red bar), compared to control, uninjected side (black bar). In this embryo, the sox11 PPE domain on the S-MO injected side (between red arrows) is reduced compared to the control, uninjected side (between black arrows). (C) zic1 expression in the lateral neural plate is expanded on the S-MO injected side of the embryo (red bar), compared to control, uninjected side (black bar). In this embryo, the neural crest domain (red bracket) also is expanded compared to control, uninjected side (black bracket). (D) zic2 expression in the lateral neural plate is expanded on the S-MO injected side of the embryo (red bar), compared to control, uninjected side (black bar). In this embryo, the neural crest domain (red bracket) also is expanded compared to control, uninjected side (black bracket). (E) Two examples of the effect of Mcrs1 knock-down by S-MOs on msx1 expression. In the left image, knock-down results in expansion of the msx1 domain (red arrow) and in the right image, in the diminution of the msx1 signal (red arrow). (F) In this example, tfap2α expression is reduced on the S-MO injected side of the embryo (red arrow). (G) foxd3 expression is reduced on the S-MO injected side of the embryo (between red arrows) compared to control side (between black arrows). (H) Two examples of the effect of Mcrs1 knock-down by S-MOs on sox9 expression. In the left image, knock-down results in a smaller neural crest domain of sox9 (between red arrows), and in the right image, in the diminution of the sox9 signal (between red arrows) compared to control, uninjected sides (between black arrows). In the left image, sox9 otic placode expression (small green arrows) is the same on both sides of the embryo, whereas in the right image it is diminished on the S-MO side (right side of image). (I) six1 expression is reduced on the S-MO injected side of the embryo (red arrow) compared to control side (between black arrows). (J) Two examples of the effect of Mcrs1 knock-down on irx1 expression. In both cases, the neural plate expression is expanded on the S-MO injected side of the embryo (red bar), compared to control, uninjected side (black bar). In the left image, irx1 expression in the PPE on the S-MO injected side of the embryo (between red arrows) is expanded compared to the control, uninjected side (between black arrows). In the right image, it is reduced. (K) Mcrs1 knock-down by S â+ âL MOs results in a broader sox11 neural plate domain (red bar) compared to control side (black bar) and a narrower PPE domain (between red arrows) compared to control side (between black arrows). These are the same effects as with S-MOs (cf. Fig. 2B). (L) Mcrs1 knock-down by S â+ âL MOs results in a smaller foxd3 neural crest domain (between red arrows) compared to control side (between black arrows). This is similar to the effect of S-MOs (cf. Fig. 2G). (M) Mcrs1 knock-down by S â+ âL MOs results in a fainter six1 PPE domain (red arrow) compared to control side (between black arrows). This is similar to the effect of S-MOs (cf. Fig. 2I). (N) Mcrs1 knock-down primarily results in expansion of neural plate gene domains. For sox11 and irx1, the S â+ âL MOs (S â+ âL) resulted predominantly in broader phenotypes, similar to S-MOs (S), but significantly more embryos showed no change (â, p â< â0.05, Chi-square test). Numbers in each bar indicates sample sizes in N-Q. (O) Mcrs1 knock-down results in about 50% of embryos showing reduced domains of neural border genes, with a smaller frequency of embryos showing broader domains. For msx1, there was no significant difference between frequencies resulting from S-MOs compared to S â+ âL MOs (p â> â0.05, Chi-square test). (P) Mcrs1 knock-down results in broader zic1 and zic2 neural crest domains, but primarily reduction of foxd3 and sox9 neural crest domains. For foxd3 and sox9, there were no significant differences between frequencies resulting from S-MOs compared to S â+ âL MOs (p â> â0.05, Chi-square test). (Q) Mcrs1 knock-down results in about 50% of embryos showing reduced PPE domains of six1, sox11 and irx1, with a smaller frequency of embryos showing broader domains. In contrast, it results in a high frequency of reduction of the sox9 otic placode domain. Only for irx1 was there a significant difference between frequencies resulting from S-MOs compared to S â+ âL MOs. (â, p â< â0.05, Chi-square). |
|
|
Fig. 3. Mcrs1 knock-down reduces apoptosis but does not affect proliferation. (A) Side view of stage 16 embryo (anterior to right, dorsal to top) showing pH3-labeled nuclei (brown) in the rising folds of the neural plate (np) and neural border zone (nbz) on the control (ctrl) side. (B) Side view of the same embryo (anterior to left, dorsal to top) on the S-MOs injected (KD) side. (C) Side view of stage 16 embryo (anterior to right, dorsal to top) showing TUNEL-labeled nuclei (dark blue) in the rising folds of the neural plate (np) and neural border zone (nbz) on the control (ctrl) side. (D) Side view of the same embryo (anterior to left, dorsal to top) on the S-MOs injected (KD) side. |
|
|
Fig. 4. Increased levels of Mcrs1 expands neural plate and neural crest domains. (A) sox2 expression in the neural plate is expanded on the mcrs1 injected side of the embryo (red bar), compared to control, uninjected side (black bar). Pink dots are βGal-lineage labeled cells that received the injected mRNAs. (B) sox11 expression in the neural plate is expanded on the mcrs1 injected side of the embryo (red bar), compared to control, uninjected side (black bar). In this embryo, the sox11 PPE domain on the mcrs1 injected side (between red arrows) is expanded compared to the control, uninjected side (between black arrows). (C) zic1 expression in the lateral neural plate is expanded on the mcrs1 injected side of the embryo (red bar), compared to control, uninjected side (black bar). The neural crest domain (red bracket) also is expanded. (D) zic2 expression in the lateral neural plate is expanded on the mcrs1 injected side of the embryo (red bar), compared to control, uninjected side (black bar). The neural crest domain (red bracket) also is expanded. (E) msx1 expression along the border of the neural plate is expanded on the mcrs1 injected side of the embryo (red bar in right image), compared to control, uninjected side of the same embryo (black bar in left image). (F) pax3 expression along the border of the neural plate is expanded on the mcrs1 injected side of the embryo (red bar), compared to control, uninjected side (black bar). (G) foxd3 expression is expanded on the mcrs1 injected side of the embryo (red bar) compared to control, uninjected side (black bar). (H) Two examples of sox9 expression after increased Mcrs1. In both embryos, the neural crest domain is broader on the mcrs1 injected side (red bars) compared to control, uninjected side (black bar). In the left image, otic placode domain (red arrow) is smaller, whereas in in the right image it is larger (red arrow), compared to control, uninjected sides (black arrows). (I) six1 expression is reduced on the mcrs1 injected side of the embryo (red arrow) compared to control side (black arrow). (J) Two examples of irx1 expression after increased Mcrs1. In both cases, the neural plate expression is expanded on the mcrs1 injected side of the embryo (red bar), compared to control, uninjected side (black bars). In the left image, irx1 expression in the PPE on the mcrs1 injected side of the embryo is expanded (red bar) compared to the control, uninjected side (black ba). In the right image, it is reduced. |
|
|
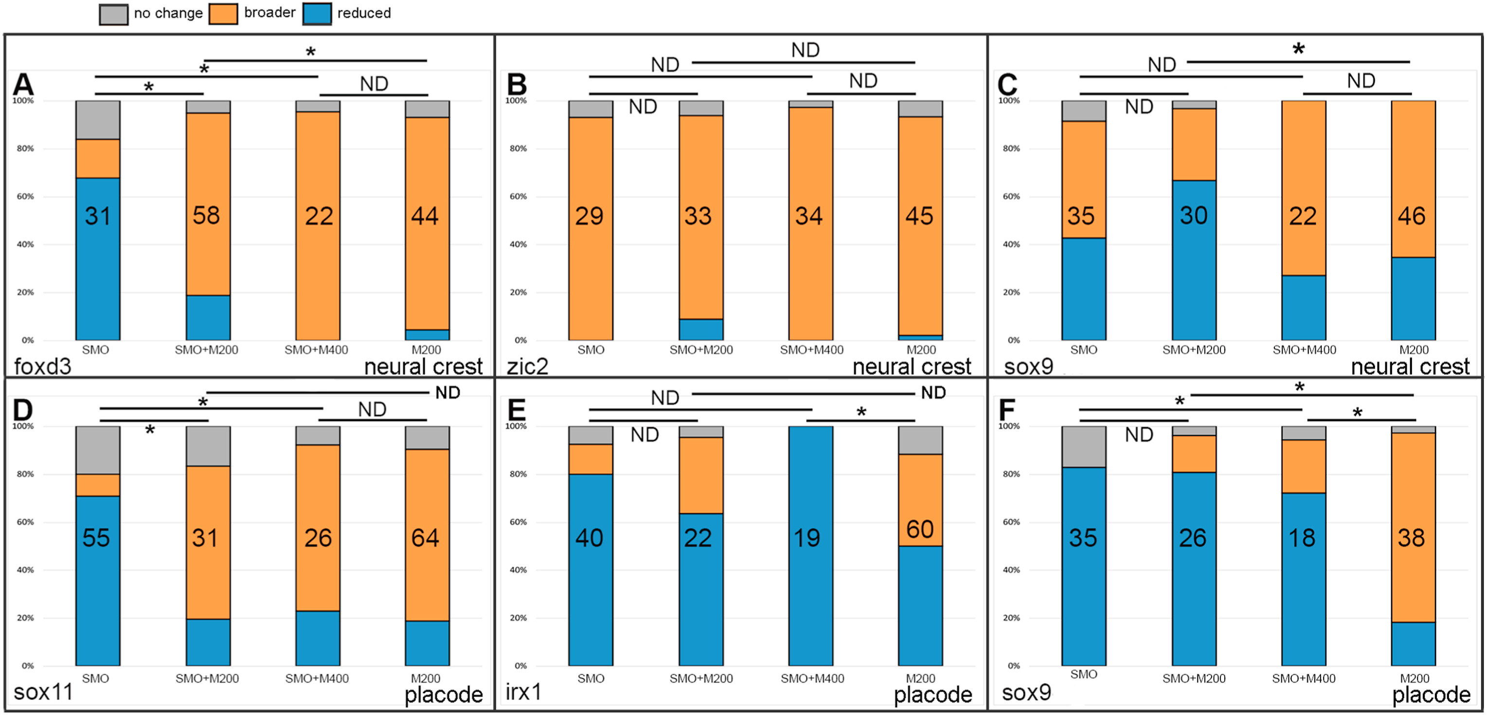
Fig. 5. Interactions between Mcrs1 and Six1 affect the sizes of the neural crest and PPE gene domains. (A) Frequencies of broader and reduced domains of three neural crest genes after co-expression of mRNAs. Mcrs1 200 â= â200 âpg of mcrs1 mRNA alone; M200+S100 â= â200 âpg of mcrs1 plus 100 âpg of six1 mRNAs; M200+S400 â= â200 âpg of mcrs1 plus 400 âpg of six1 mRNAs; Six1 400 â= â400 âpg of six1 mRNA alone. â, p â< â0.05, Chi-square test; ND, no difference. Numbers inside of each bar indicate the number of embryos analyzed. (B) Frequencies of broader and reduced domains of three placode genes after co-expression of mRNAs. Labels as in (A). (CâH) Frequencies of broader and reduced neural crest domains of foxd3 (C), zic2 (D), sox9 (E), and placode domains of sox11 (F), irx1 (G) and sox9 (H) after single knock-down (Mcrs1 MO; Six1 MO) or double knock-down (McrsMO â+ âSixMO). â, p â< â0.05, Chi-square test; ND, no difference. Numbers inside of each bar indicate the number of embryos analyzed. |
|
|
Fig. 6. Some of Mcrs1 gain-of-function effects on gene expression are independent of the presence of Six1. Mcrs1 levels were increased by microinjections of either 200 âpg (M200) or 400 âpg (M400) mRNA in wild type embryos or in Six1 morphants (SMO) to test whether Six1 knock-down alters the frequencies in neural crest gene domains (AâC) or PPE gene domains (DâF). (A) Knock-down of Six1 alone (SMO) reduced the foxd3 neural crest domain at high frequency, whereas adding Mcrs1 made the domain broader, even in the absence of Six1. (B) Knock-down of Six1 and increased Mcrs1 both primarily expanded the zic2 neural crest domain; the frequencies were not significantly different (ND, p â> â0.05, Chi-square test) between the different experimental conditions. (C) The frequencies of the effects of Six1 knock-down versus increased Mcrs1 alone on the sox9 neural crest domain were indistinguishable. However, Six1 knock-down significantly decreased the ability of 200 âpg of mcrs1 mRNA to broaden this domain (â, p â= â0.0149, Chi-square test). (D) Knock-down of Six1 alone reduced the sox11 PPE domain at high frequency, whereas adding Mcrs1 made the domain broader, even in the absence of Six1 (â, p â= â0.00001, Chi-square test). (E) Knock-down of Six1 alone reduced the irx1 PPE domain at high frequency, whereas adding Mcrs1 alone (M200) more frequently made the domain broader. Adding Mcrs1 to Six1 morphants did not significantly change phenotype frequencies compared to Six1 KD alone; surprisingly, Six1 knockdown with 400 âpg mcrs1 mRNA was significantly different from M200 (â, p â= â0.004, Chi-square test). (F) Knock-down of Six1 alone reduced the sox9 otic placode domain at high frequency, whereas adding Mcrs1 alone (M200) predominantly made the domain broader. Six1 KD significantly reduced the ability of Mcrs1 to broaden the domain (â, p â< â0.001, Chi-square test). Numbers inside of each bar indicate the number of embryos analyzed. |
|
|
Fig. 7. Effects of altering Mcrs1 levels on otic vesicle gene expression and size. (A) Otic vesicles in larvae injected with Mcrs1 S-MOs primarily displayed lower intensity of six1 ISH signal. Black arrow â= âcontrol otic vesicle; red arrow â= âMcrs1 KD otic vesicle of same embryo. (B) Otic vesicles in larvae injected with Mcrs1 S-MOs primarily displayed lower intensity of irx1 ISH signal. Black arrow â= âcontrol otic vesicle; red arrow â= âMcrs1 KD otic vesicle of same embryo. (C) Otic vesicles in larvae injected with Mcrs1 S-MOs primarily displayed lower intensity of sox9 ISH signal. Black arrow â= âcontrol otic vesicle; red arrow â= âMcrs1 KD otic vesicle of same embryo. (D) The percent of embryos in which otic vesicle gene expression on the knock-down side was different from the control side of the same embryo. The otic expression of all three genes (six1, irx1, sox9) is primarily reduced (blue). Orange â= âpercent increased; gray â= âpercent no change. Numbers within the bars indicate sample sizes. (E) In tailbud embryos, sox9 expression indicates that the otic tissue is smaller on the Mcrs1 knock-down side (red bar) compared to control side (black bar). (F) Otic vesicle volumes (top) were calculated from serial sections of larvae (bottom) at the same stages as in A-C. Total volume was calculated within the outer dashed line, lumen (L) volume within the inner dashed line, and tissue volume between the two dashed lines. For each measurement, the volume of the Mcrs1 knock-down side (MO, red dashed lines) was significantly smaller compared to the control side (black dashed lines) of the same embryo. (total, p â= â0.00002; tissue, p â= â0.00004; lumen, p â= â0.0009; two-tailed, paired t-test, n â= â13).(G) An example of six1 otic vesicle expression that is more intense on the mcrs1-injected side (red arrow; 100 âpg mRNA) compared to the control side (black arrow) of the same larva.(H) An example of irx1 otic vesicle expression that is similar on the mcrs1-injected side (red arrow; 200 âpg mRNA) and control side (black arrow) of the same larva. (I) An example of sox9 otic vesicle expression that is similar on the mcrs1-injected side (red arrow; 100 âpg mRNA) compared to the control side (black arrow) of the same larva. (J) The percent of embryos in which otic vesicle gene expression on the mRNA-injected side was different from the control side of the same embryo. The otic expression for all three genes (six1, irx1, sox9) are a mixture of reduced (blue), broader (orange) and no change (gray). Two different concentrations of mRNA (100 âpg, 200 âpg) were analyzed, and for each there were significant differences in the frequencies of the phenotypes (six1, p â= â0.00002; irx1, p â= â0.0015; sox9, p â= â0.0117; Chi-square test). Numbers within the bars indicate sample sizes. (K) Otic vesicle volumes (top) were calculated from serial sections (bottom) of larvae (same stages as in G-I). There were no significant differences in total volume, tissue volume or lumen volume between mcrs1 mRNA-injected (pink lineage label) side versus control side of the same embryo (p â< â0.05, paired, two-tailed t-test; n â= â14 embryos). |
|
|
Fig. S1. Efficacy and specificity of antisense morpholino oligonucleotide knock-down of Mcrs1. (A) Sequences of the 5â² ends of the short (S) and long (L) homeologs of Xenopus laevis mcrs1 mRNA. In each line the translational start site (atg) is underlined. The sequences of MO#1 and MO#2, which are completely complimentary to S-mcrs1, are shown in the top line; there are a few mismatches (in black letters) with L-mcrs1. Together, MO#1+MO#2 are referred to as S-MOs. A second set of MOs (MO#3 and MO#4) were designed to block the translation of both S-mcrs1 (middle line) and L-mcrs1 (bottom line) when injected together; the few mismatches are indicated by black letters. Together, MO#3+MO#4 are referred to as S â+ âL MOs. (B) Oocytes were microinjected with S-MOs and either 5â²HA-mcrs1 mRNA (MO-insensitive) or 5â²UTR-mcrs1-3â²HA mRNA (MO sensitive), incubated overnight, and Western blot analysis performed with an anti-HA antibody. Translation of 5â²UTR-mcrs1-3â²HA, which has the same 5â² sequence as endogenous S-mcrs1 mRNA (Figure S1A), is efficiently blocked by S-MOs (+S-MOs lanes). In contrast, translation of 5â²HA-mcrs1, which is missing the 5â² UTR site of MO#1 and whose site for MO#2 is too distant from the translation start site of the HA tag to effectively block translation, is not hindered by the presence of S-MOs. Thus, it can be used as a rescue construct (see Figure S1D). -MOs â= âno MOs injected, indicting efficient translation; uninj â= âuninjected oocytes that do not express HA. (C) Efficacy of the Mcrs1 MOs to knockdown endogenous Mcrs1 protein. Capillary western blot was used to detect endogenous Mcrs1 using a rabbit anti-MCRS1/MSP58 polyclonal antibody (Abcam, ab247013). Top left panel: both sets of MOs (S â+ âL; S) decreased endogenous Mcrs1 levels, compared to uninjected embryo (uninj), by more than 50% at 12.5ng/embryo. Bottom left panel: The decrease was even greater with 25ng/embryo of S â+ âL MOs. Right panel: An example of quantitative Western blot showing signal for uninjected embryo (uninj, blue trace and arrowhead, 2 âs exposure) compared to embryo injected with S â+ âL MOs (green trace and arrowhead, 2 âs exposure). The area under the curve was calculated and normalized to the signal obtained with the Rpn1 antibody in the same sample. (D) Embryo in which S-MOs were injected on one side (right side of image), raised to a neural plate stage and processed for ISH detection of foxd3 expression. Control expression is shown on the left side of the image. S-MOs cause significant reduction in foxd3 expression in 63% of embryos (n â= â112). (E) Two embryos in which S-MOs were injected on one side (right side of image), followed by injection of mRNAs: 5â²HA-mcrs1 mRNA, which is insensitive to MO knock down (Fig. S1B), and βgal mRNA, which is a lineage tracer (pink nuclei). Control foxd3 expression is shown on the left side of each image. Expression of foxd3 is restored in 86.4% of embryos when MO-insensitive mcrs1 mRNA is supplied (n â= â59). |
|
|
Fig. S2. Frequencies of expression domain changes after increasing levels of Mcrs1. (A) Increased Mcrs1 predominantly results in broader domains of neural plate genes. Frequencies significantly differed between 100 âpg and 200 âpg of mcrs1 mRNA only for sox11 (p â= â0.031, ND, p â> â0.05, Chi-square test). (B) Increased Mcrs1 predominantly results in broader domains of neural border genes, with no significant difference between 100 âpg and 200 âpg of mcrs1 mRNA (ND, p â> â0.05, Chi-square test). (C) Increased Mcrs1 predominantly results in broader domains of neural crest genes, with no significant difference 100 âpg and 200 âpg of mcrs1 mRNA (ND, p â> â0.05, Chi-square test). (D) Increased Mcrs1 results in broader domains of PPE/placode genes in the majority of cases, with no significant difference 100 âpg and 200 âpg of mcrs1 mRNA for irx1 and sox9. However, compared to 100 âpg of mcrs1 mRNA, 200 âpg causes significantly fewer embryos to have a broader six1 domain (p â= â0.0035) and significantly more to have a broader sox11 domain (p â= â0.0088, ND, p â> â0.05, Chi-square test). |
References [+] :
Andersen,
Drosophila MCRS2 associates with RNA polymerase II complexes to regulate transcription.
2010, Pubmed
Andersen, Drosophila MCRS2 associates with RNA polymerase II complexes to regulate transcription. 2010, Pubmed
Anderson, Dual transcriptional activities of SIX proteins define their roles in normal and ectopic eye development. 2012, Pubmed
Brugmann, Six1 promotes a placodal fate within the lateral neurogenic ectoderm by functioning as both a transcriptional activator and repressor. 2004, Pubmed , Xenbase
Cui, MCRS1 is essential for epiblast development during early mouse embryogenesis. 2020, Pubmed
Davidovic, The nuclear microspherule protein 58 is a novel RNA-binding protein that interacts with fragile X mental retardation protein in polyribosomal mRNPs from neurons. 2006, Pubmed
Du, DIPA, which can localize to the centrosome, associates with p78/MCRS1/MSP58 and acts as a repressor of gene transcription. 2006, Pubmed
Giot, A protein interaction map of Drosophila melanogaster. 2003, Pubmed
Gray, Mouse brain organization revealed through direct genome-scale TF expression analysis. 2004, Pubmed
Grocott, The peripheral sensory nervous system in the vertebrate head: a gene regulatory perspective. 2012, Pubmed
Groves, Setting appropriate boundaries: fate, patterning and competence at the neural plate border. 2014, Pubmed , Xenbase
Hendzel, Mitosis-specific phosphorylation of histone H3 initiates primarily within pericentromeric heterochromatin during G2 and spreads in an ordered fashion coincident with mitotic chromosome condensation. 1997, Pubmed
Hsu, The 58-kda microspherule protein (MSP58) represses human telomerase reverse transcriptase (hTERT) gene expression and cell proliferation by interacting with telomerase transcriptional element-interacting factor (TEIF). 2014, Pubmed
Ivanova, Association, mutual stabilization, and transcriptional activity of the STRA13 and MSP58 proteins. 2005, Pubmed
Keskin, Similar binding sites and different partners: implications to shared proteins in cellular pathways. 2007, Pubmed
Khan, An overview of the importance of conformational flexibility in gene regulation by the transcription factors. 2009, Pubmed
Khedgikar, Dual control of pcdh8l/PCNS expression and function in Xenopus laevis neural crest cells by adam13/33 via the transcription factors tfap2α and arid3a. 2017, Pubmed , Xenbase
Klein, The first cleavage furrow demarcates the dorsal-ventral axis in Xenopus embryos. 1987, Pubmed , Xenbase
Kumar, The sine oculis homeobox (SIX) family of transcription factors as regulators of development and disease. 2009, Pubmed
Lee, Sox9 function in craniofacial development and disease. 2011, Pubmed , Xenbase
Lee, MCRS1 associates with cytoplasmic dynein and mediates pericentrosomal material recruitment. 2016, Pubmed
Li, The FHA domain mediates phosphoprotein interactions. 2000, Pubmed
Lin, Essential role of the 58-kDa microspherule protein in the modulation of Daxx-dependent transcriptional repression as revealed by nucleolar sequestration. 2002, Pubmed
Meulemans, Gene-regulatory interactions in neural crest evolution and development. 2004, Pubmed
Meunier, K-fibre minus ends are stabilized by a RanGTP-dependent mechanism essential for functional spindle assembly. 2011, Pubmed , Xenbase
Miyata, Regional differences of proteins in isolated cells of early embryos of Xenopus laevis. 1987, Pubmed , Xenbase
Monsoro-Burq, Msx1 and Pax3 cooperate to mediate FGF8 and WNT signals during Xenopus neural crest induction. 2005, Pubmed , Xenbase
Moody, Microinjection of mRNAs and Oligonucleotides. 2018, Pubmed , Xenbase
Moody, Segregation of fate during cleavage of frog (Xenopus laevis) blastomeres. 1990, Pubmed , Xenbase
Moody, Transcriptional regulation of cranial sensory placode development. 2015, Pubmed
Moody, Fates of the blastomeres of the 16-cell stage Xenopus embryo. 1987, Pubmed , Xenbase
Neilson, Pa2G4 is a novel Six1 co-factor that is required for neural crest and otic development. 2017, Pubmed , Xenbase
Neilson, Specific domains of FoxD4/5 activate and repress neural transcription factor genes to control the progression of immature neural ectoderm to differentiating neural plate. 2012, Pubmed , Xenbase
Neilson, Developmental expression patterns of candidate cofactors for vertebrate six family transcription factors. 2010, Pubmed , Xenbase
Park, NULL 2010, Pubmed
Patrick, Structure-function analyses of the human SIX1-EYA2 complex reveal insights into metastasis and BOR syndrome. 2013, Pubmed
Raja, The nonspecific lethal complex is a transcriptional regulator in Drosophila. 2010, Pubmed
Riddiford, Dissecting the pre-placodal transcriptome to reveal presumptive direct targets of Six1 and Eya1 in cranial placodes. 2016, Pubmed , Xenbase
Saint-Jeannet, Establishing the pre-placodal region and breaking it into placodes with distinct identities. 2014, Pubmed , Xenbase
Sheikh, The non-specific lethal (NSL) complex at the crossroads of transcriptional control and cellular homeostasis. 2019, Pubmed
Shi, Downregulation of MSP58 inhibits growth of human colorectal cancer cells via regulation of the cyclin D1-cyclin-dependent kinase 4-p21 pathway. 2009, Pubmed
Shimono, Microspherule protein 1, Mi-2beta, and RET finger protein associate in the nucleolus and up-regulate ribosomal gene transcription. 2005, Pubmed
Silver, Functional dissection of eyes absent reveals new modes of regulation within the retinal determination gene network. 2003, Pubmed
Streit, Specification of sensory placode progenitors: signals and transcription factor networks. 2018, Pubmed
Sullivan, Six1 and Irx1 have reciprocal interactions during cranial placode and otic vesicle formation. 2019, Pubmed , Xenbase
Wu, Downregulation of MSP58 suppresses cell proliferation in neuroblastoma cell lines. 2012, Pubmed
Yan, foxD5 plays a critical upstream role in regulating neural ectodermal fate and the onset of neural differentiation. 2009, Pubmed , Xenbase
Yang, Identification and characterization of nuclear and nucleolar localization signals in 58-kDa microspherule protein (MSP58). 2015, Pubmed
Zaghloul, Alterations of rx1 and pax6 expression levels at neural plate stages differentially affect the production of retinal cell types and maintenance of retinal stem cell qualities. 2007, Pubmed , Xenbase
Zhong, Expression of MSP58 in hepatocellular carcinoma. 2013, Pubmed
