|
Figure 1 Effect of ranolazine on TASK-1 current. (A) Time course of TASK-1 current reduction during ranolazine application (n = 6); currents are normalized to their respective value before ranolazine application after a stabilization period with no significant amplitude changes. (B) Representative TASK-1 current recordings evoked by applying a test pulse from −80 mV to +20 mV under control conditions and after 30 min incubation with 300 µM and 1 mM ranolazine. (C) Dose–response curve of TASK-1 inhibition by ranolazine in X. laevis oocytes. Currents are normalized to their respective values under control conditions (n = 5 – 10). (D) Dose–response curve of TASK-1 inhibition by ranolazine in CHO cells. Currents are normalized to their respective values under control conditions (n = 5). Data are given as mean ± SEM.
|
|
Figure 2 (A) Representative TASK-1 current recordings evoked by applying the displayed pulse protocol under control conditions and after 30 min incubation with ranolazine (300 µM). (B) Resting membrane potentials (RMP) in X. laevis oocytes before and after 30 min incubation with 300 µM ranolazine (n = 7). Boxes indicate the first and third quartile, whiskers indicate the minimum and maximum, and bands inside the boxes indicate the median; ##p < 0.01, paired t-test. (C) Activation curve of TASK-1 current; amplitudes are plotted against the respective test potential under control conditions and after 30 min incubation with ranolazine (n = 10); *p < 0.05, **p < 0.01, unpaired t-test vs. control conditions. (D) Amplitudes are normalized to the maximum current amplitude at +60 mV (n = 10); *p < 0.05, **p < 0.01, unpaired t-test vs. control conditions. (E) Dependency of TASK-1 current inhibition by ranolazine on membrane potential (n = 10). Data are given as mean ± SEM.
|
|
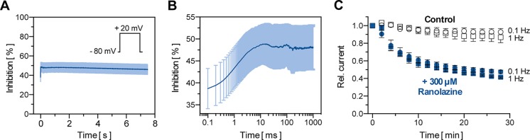
Figure 3 Biophysical properties of TASK-1 blockade by ranolazine. (A) The inhibition of TASK-1 current is displayed over a 7.5 s test pulse from −80 mV to +20 mV (n = 6). (B) Representation of the first 1000 ms of (A) on a logarithmic time scale (n = 6). (C) Frequency dependency of TASK-1 blockade by ranolazine; current amplitudes obtained during 30 min stimulation from −80 mV to +20 mV at stimulation rates of 0.1 Hz and 1 Hz are displayed under control conditions and during administration of 300 µM Ranolazine (n = 5–6). Currents are normalized to their respective values after a stabilization period. Data are given as mean ± SEM.
|
|
Figure 4 Effect of ranolazine on different members of the K2P channel family. (A–J) Representative current recordings evoked by a test pulse from −80 mV to +20 mV under control conditions and after 30 min incubation ranolazine. (K) Current inhibition by 300 µM ranolazine is displayed for the different K2P channel family members. Data are given as mean ± SEM. *p < 0.05, **p < 0.01, ***p < 0.001, paired t-test vs. control measurements.
|
|
Figure 5 Summary of protein–ligand interactions of all calculated docking poses of ranolazine at the inner pore of the wild type (WT) TASK-1 model (T16cq6). (A, B) Docking calculations have been performed with potassium ions either at positions S1 and S3, or at positions S2 and S4. (C) Each calculation yielded 10 ranked docking poses, resulting in a total of 20 poses. Protein–ligand interactions have been analyzed using PLIP (Salentin et al., 2015). The amount and character of the interactions is displayed for the individual amino acid residues that interact with ranolazine.
|
|
Figure 6 Effect of ranolazine on TASK-1 pore mutants. (AâH) Representative current recordings evoked by a test pulse from â80 mV to +20 mV under control conditions and after 30 min incubation with ranolazine. (I) Current inhibition by 300 µM ranolazine on the different TASK-1 pore mutants, **p < 0.01, ***p < 0.001, ****p < 0.0001, one-way ANOVA and post-hoc Bonferroniâs multiple comparisons test of WT vs. the respective mutant. (J, K) TASK-1 homology model based on TREK-1 illustrating the location of amino acid residues included in the mutagenesis screen. (L) Zoom into the inner pore region. (M) Lateral view as in panel (L) but from a different angle [as in panel (K)]. (N) View from inside the cell into the central cavity (CC) of the inner pore. Note how the displayed residues line the central cavity (illustrated in green) of the TASK-1 inner pore.
|
|
Figure 7 Comparison of the amount of protein–ligand interactions for the docking poses of WT and mutant channels. (A) Total amount and character of protein–ligand interactions of all 20 docking poses for the respective channel variant. (B, C) Boxplots indicating the amount of hydrophobic interactions (B) and hydrogen bonds (C) per docking pose. Boxes indicate the first and third quartile, whiskers indicate the minimum and maximum, bands inside the boxes indicate the median, and + indicates the mean. ##p < 0.01, ####p < 0.0001vs. WT. Note that variant L122A that has been identified as being most relevant for ranolazine binding in the experimental data, also forms the fewest interactions in the in silico simulations. More detailed information on the interaction profiles of ranolazine and the individual mutant variants can be found in Supplementary Figure S3.
|
|
Figure 8 Ranolazine binds to the central cavity of the inner pore. (A) View from inside the cell into the central cavity. Ranolazine binds in close proximity to L122 and L239 occluding the lumen of the inner pore. (B) Same view as in (A) but with TASK-1 surface representation illustrating how ranolazine embeds within the inner pore. (C) Zoom into the central cavity illustrating the binding mode and the distance to the residues identified as binding site in the mutagenesis screen. Note that ranolazine does not directly interact with N240. (D) Similar zoom as in panel (C) but from inside the cell. Note that ranolazine interacts with L122 residues from both monomers.
|
|
Figure S1. Illustrations of the four generated TASK-1 homology models. The local QMEAN (an estimate of the local model quality calculated by SWISS-MODEL) is color coded with blue reflecting a good local model quality and orange reflecting a bad local quality.
|
|
Figure S2 MolProbidity Assessment of TASK-1 homology models T16cq6 (TASK-1 model based on the crystal structure of TREK-1; Protein Data Bank (PDB) ID: 6CQ6), T13umk (based on TWIK-1; PDB ID: 3UMK), T14rue (based on TRAAK; PDB ID: 4RUE), and T14xdl (based on TREK-2; PDB ID: 4XDL). (A, B) The MolProbidity Score is given as a numerical value (A) and as the respective
percentile (B). The score summarizes different aspects of all-atom contacts and protein geometry that are being assessed during the MolProbidity analysis. Some of these aspects are reported in (C â F) (Davis et al. 2007). A model with a lower MolProbidity score is considered a more accurate model. (C) The percentage of outliers in the Ramachandran analysis (Ramachandran et al. 1963) is given for
the different models. A value of < 0.05 is considered favorable. (D) Proportion of poor rotamers within the respective model. A value of < 0.3 is preferable. (E) Proportion of bad angles within the respective model. A value of < 0.1 is preferable. (F) Proportion of bad bonds within the respective model. A value of 0 is preferable.
|
|
Figure S3 (Figure on previous page) Summary of protein-ligand interactions of all calculated docking poses of ranolazine at the inner pore of the wild type (WT) TASK-1 model and the different mutant variants. (A – G) The amount and character of interactions is displayed for the individual amino acid residues that interact with ranolazine. See also Figure 7 in main manuscript.
|
|
Figure S4 Ranolazine binding to T13ukm homology model. Ranolazine binds at the central cavity of the inner pore at the entrance into the side fenestrations of T13ukm. (A) View from inside the cell into the central cavity. Ranolazine binds in close proximity to L122 and L239 occluding the lumen of the inner pore and reaching into the side fenestrations. (B) Same view as in (A) but with TASK-1 surface representation illustrating the open side fenestrations. (C) Zoom into the central cavity illustrating the binding mode and the distance to the residues identified as binding site in the mutagenesis screen. Note that ranolazine does not directly interact with N240. (D) Similar zoom as in (C) but from inside the cell.
|
|
Figure 1. Effect of ranolazine on TASK-1 current. (A) Time course of TASK-1 current reduction during ranolazine application (n = 6); currents are normalized to their respective value before ranolazine application after a stabilization period with no significant amplitude changes. (B) Representative TASK-1 current recordings evoked by applying a test pulse from −80 mV to +20 mV under control conditions and after 30 min incubation with 300 µM and 1 mM ranolazine. (C) Dose–response curve of TASK-1 inhibition by ranolazine in X. laevis oocytes. Currents are normalized to their respective values under control conditions (n = 5 – 10). (D) Dose–response curve of TASK-1 inhibition by ranolazine in CHO cells. Currents are normalized to their respective values under control conditions (n = 5). Data are given as mean ± SEM.
|
|
Figure 2.
(A) Representative TASK-1 current recordings evoked by applying the displayed pulse protocol under control conditions and after 30 min incubation with ranolazine (300 µM). (B) Resting membrane potentials (RMP) in X. laevis oocytes before and after 30 min incubation with 300 µM ranolazine (n = 7). Boxes indicate the first and third quartile, whiskers indicate the minimum and maximum, and bands inside the boxes indicate the median; ##p < 0.01, paired t-test. (C) Activation curve of TASK-1 current; amplitudes are plotted against the respective test potential under control conditions and after 30 min incubation with ranolazine (n = 10); *p < 0.05, **p < 0.01, unpaired t-test vs. control conditions. (D) Amplitudes are normalized to the maximum current amplitude at +60 mV (n = 10); *p < 0.05, **p < 0.01, unpaired t-test vs. control conditions. (E) Dependency of TASK-1 current inhibition by ranolazine on membrane potential (n = 10). Data are given as mean ± SEM.
|
|
Figure 3. Biophysical properties of TASK-1 blockade by ranolazine. (A) The inhibition of TASK-1 current is displayed over a 7.5 s test pulse from −80 mV to +20 mV (n = 6). (B) Representation of the first 1000 ms of (A) on a logarithmic time scale (n = 6). (C) Frequency dependency of TASK-1 blockade by ranolazine; current amplitudes obtained during 30 min stimulation from −80 mV to +20 mV at stimulation rates of 0.1 Hz and 1 Hz are displayed under control conditions and during administration of 300 µM Ranolazine (n = 5–6). Currents are normalized to their respective values after a stabilization period. Data are given as mean ± SEM.
|
|
Figure 4. Effect of ranolazine on different members of the K2P channel family. (A–J) Representative current recordings evoked by a test pulse from −80 mV to +20 mV under control conditions and after 30 min incubation ranolazine. (K) Current inhibition by 300 µM ranolazine is displayed for the different K2P channel family members. Data are given as mean ± SEM. *p < 0.05, **p < 0.01, ***p < 0.001, paired t-test vs. control measurements.
|
|
Figure 5. Summary of protein–ligand interactions of all calculated docking poses of ranolazine at the inner pore of the wild type (WT) TASK-1 model (T16cq6). (A, B) Docking calculations have been performed with potassium ions either at positions S1 and S3, or at positions S2 and S4. (C) Each calculation yielded 10 ranked docking poses, resulting in a total of 20 poses. Protein–ligand interactions have been analyzed using PLIP (Salentin et al., 2015). The amount and character of the interactions is displayed for the individual amino acid residues that interact with ranolazine.
|
|
Figure 6. Effect of ranolazine on TASK-1 pore mutants. (AâH) Representative current recordings evoked by a test pulse from â80 mV to +20 mV under control conditions and after 30 min incubation with ranolazine. (I) Current inhibition by 300 µM ranolazine on the different TASK-1 pore mutants, **p < 0.01, ***p < 0.001, ****p < 0.0001, one-way ANOVA and post-hoc Bonferroniâs multiple comparisons test of WT vs. the respective mutant. (J, K) TASK-1 homology model based on TREK-1 illustrating the location of amino acid residues included in the mutagenesis screen. (L) Zoom into the inner pore region. (M) Lateral view as in panel (L) but from a different angle [as in panel (K)]. (N) View from inside the cell into the central cavity (CC) of the inner pore. Note how the displayed residues line the central cavity (illustrated in green) of the TASK-1 inner pore.
|
|
Figure 7. Comparison of the amount of protein–ligand interactions for the docking poses of WT and mutant channels. (A) Total amount and character of protein–ligand interactions of all 20 docking poses for the respective channel variant. (B, C) Boxplots indicating the amount of hydrophobic interactions (B) and hydrogen bonds (C) per docking pose. Boxes indicate the first and third quartile, whiskers indicate the minimum and maximum, bands inside the boxes indicate the median, and + indicates the mean. ##p < 0.01, ####p < 0.0001vs. WT. Note that variant L122A that has been identified as being most relevant for ranolazine binding in the experimental data, also forms the fewest interactions in the in silico simulations. More detailed information on the interaction profiles of ranolazine and the individual mutant variants can be found in
Supplementary Figure S3
.
|
|
Figure 8. Ranolazine binds to the central cavity of the inner pore. (A) View from inside the cell into the central cavity. Ranolazine binds in close proximity to L122 and L239 occluding the lumen of the inner pore. (B) Same view as in (A) but with TASK-1 surface representation illustrating how ranolazine embeds within the inner pore. (C) Zoom into the central cavity illustrating the binding mode and the distance to the residues identified as binding site in the mutagenesis screen. Note that ranolazine does not directly interact with N240. (D) Similar zoom as in panel (C) but from inside the cell. Note that ranolazine interacts with L122 residues from both monomers.
|