Click here to close
Hello! We notice that you are using Internet Explorer, which is not supported by Xenbase and may cause the site to display incorrectly.
We suggest using a current version of Chrome,
FireFox, or Safari.
Novel Molecule Exhibiting Selective Affinity for GABAA Receptor Subtypes.
Borghese CM
,
Herman M
,
Snell LD
,
Lawrence KJ
,
Lee HY
,
Backos DS
,
Vanderlinden LA
,
Harris RA
,
Roberto M
,
Hoffman PL
,
Tabakoff B
.
???displayArticle.abstract???
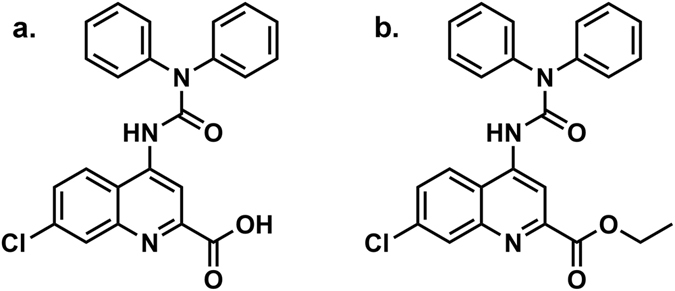
Aminoquinoline derivatives were evaluated against a panel of receptors/channels/transporters in radioligand binding experiments. One of these derivatives (DCUK-OEt) displayed micromolar affinity for brain γ-aminobutyric acid type A (GABAA) receptors. DCUK-OEt was shown to be a positive allosteric modulator (PAM) of GABA currents with α1β2γ2, α1β3γ2, α5β3γ2 and α1β3δ GABAA receptors, while having no significant PAM effect on αβ receptors or α1β1γ2, α1β2γ1, α4β3γ2 or α4β3δ receptors. DCUK-OEt modulation of α1β2γ2 GABAA receptors was not blocked by flumazenil. The subunit requirements for DCUK-OEt actions distinguished DCUK-OEt from other currently known modulators of GABA function (e.g., anesthetics, neurosteroids or ethanol). Simulated docking of DCUK-OEt at the GABAA receptor suggested that its binding site may be at the α + β- subunit interface. In slices of the central amygdala, DCUK-OEt acted primarily on extrasynaptic GABAA receptors containing the α1 subunit and generated increases in extrasynaptic "tonic" current with no significant effect on phasic responses to GABA. DCUK-OEt is a novel chemical structure acting as a PAM at particular GABAA receptors. Given that neurons in the central amygdala responding to DCUK-OEt were recently identified as relevant for alcohol dependence, DCUK-OEt should be further evaluated for the treatment of alcoholism.
Figure 2. DCUK effect on GABA responses. (a) Effect of DCUK compounds on submaximal (EC10) GABA responses of α1β2γ2 GABAA receptors (nâ=â4â5 at each concentration of DCUK compound). (b) Effect of DCUK-OEt on submaximal (EC10) GABA responses of α1β3δ GABAA receptors (nâ=â5â6 at each concentration of DCUK-OEt). (c) Effect of DCUK-OEt (0.3âµM) and escalating GABA concentrations applied to α1β2γ2 and α1β3δ GABAA receptors (nâ=â9 each). GABA concentrations used: 3 and 1âµM for α1β2γ2 and α1β3δ, respectively (~EC10); 30âµM (~EC60); 3âmM (~EC100). (d) DCUK-OEt (0.3 μM) effect in the absence and presence of 20 μM flumazenil (Flu) (nâ=â5 for each condition). Data represent meanâ±âSEM. **pâ<â0.01 compared to α1β2γ2 (one-way ANOVA and post-hoc contrasts).
Figure 3. Predicted docking of DCUK-OEt and DCUKA within extracellular domain interfaces of GABAA receptor subunits. The α subunit is shaded in green, β in cyan and γ in yellow. (a) Extracellular (top down) view of the pentameric GABAA receptor. The interfaces illustrated are αâ+âβ- (alternative site), and αâ+âγ- (benzodiazepine site). (b) DCUK-OEt and (c) DCUKA within the alternative site (αâ+âβ-). DCUK-OEt is represented by orange sticks and DCUKA is represented by pink sticks. (d) DCUKA and (e) DCUK-OEt within the benzodiazepine site (αâ+âγ-). Dashed lines indicate predicted non-bond interactions (greenâ=âH-bonds, orangeâ=âelectrostatic or Ï-cation/anion, magentaâ=âÏ-Ï, purpleâ=âÏ-Ï, pinkâ=âhydrophobic).
Figure 4. DCUK-OEt potentiates tonic currents in medialCeA neurons. (a and b) Focal application of DCUK-OEt (0.5âµM) significantly increased the holding current in medialCeA neurons (*pâ<â0.05, paired t-test). (c) No change was evident in frequency, amplitude, rise and decay of mIPSPs with focal application of DCUK-OEt. (d) Correlation of magnitude of increase in tonic current produced by 0.5âμM DCUK-OEt with reduction of current by subsequent application of 100 μM gabazine. To demonstrate that changes in holding current were due to increases in tonic signaling, the GABAA receptor antagonist gabazine (GBZ) (100âμM) was focally applied following DCUK-OEt application. For all graphs, nâ=â11 cells.
Baumann,
Individual properties of the two functional agonist sites in GABA(A) receptors.
2003, Pubmed,
Xenbase
Baumann,
Individual properties of the two functional agonist sites in GABA(A) receptors.
2003,
Pubmed
,
Xenbase
Baur,
On high- and low-affinity agonist sites in GABAA receptors.
2003,
Pubmed
,
Xenbase
Belelli,
The influence of subunit composition on the interaction of neurosteroids with GABA(A) receptors.
2002,
Pubmed
,
Xenbase
Belelli,
The interaction of the general anesthetic etomidate with the gamma-aminobutyric acid type A receptor is influenced by a single amino acid.
1997,
Pubmed
,
Xenbase
Besnard,
Automated design of ligands to polypharmacological profiles.
2012,
Pubmed
Bianchi,
Neurosteroids shift partial agonist activation of GABA(A) receptor channels from low- to high-efficacy gating patterns.
2003,
Pubmed
Borghese,
The delta subunit of gamma-aminobutyric acid type A receptors does not confer sensitivity to low concentrations of ethanol.
2006,
Pubmed
,
Xenbase
Borghese,
GABA(A) receptor transmembrane amino acids are critical for alcohol action: disulfide cross-linking and alkyl methanethiosulfonate labeling reveal relative location of binding sites.
2014,
Pubmed
,
Xenbase
Brickley,
Extrasynaptic GABA(A) receptors: their function in the CNS and implications for disease.
2012,
Pubmed
Carver,
Neurosteroid interactions with synaptic and extrasynaptic GABA(A) receptors: regulation of subunit plasticity, phasic and tonic inhibition, and neuronal network excitability.
2013,
Pubmed
Cheng,
Relationship between the inhibition constant (K1) and the concentration of inhibitor which causes 50 per cent inhibition (I50) of an enzymatic reaction.
1973,
Pubmed
de Guglielmo,
Recruitment of a Neuronal Ensemble in the Central Nucleus of the Amygdala Is Required for Alcohol Dependence.
2016,
Pubmed
Desai,
Gamma-amino butyric acid type A receptor mutations at beta2N265 alter etomidate efficacy while preserving basal and agonist-dependent activity.
2009,
Pubmed
,
Xenbase
Esmaeili,
GABAA receptors containing gamma1 subunits contribute to inhibitory transmission in the central amygdala.
2009,
Pubmed
Eswar,
Protein structure modeling with MODELLER.
2008,
Pubmed
Farrant,
Variations on an inhibitory theme: phasic and tonic activation of GABA(A) receptors.
2005,
Pubmed
Feig,
Performance comparison of generalized born and Poisson methods in the calculation of electrostatic solvation energies for protein structures.
2004,
Pubmed
Feng,
Etomidate produces similar allosteric modulation in α1β3δ and α1β3γ2L GABA(A) receptors.
2014,
Pubmed
,
Xenbase
Forman,
Clinical and molecular pharmacology of etomidate.
2011,
Pubmed
Fujimura,
Differential expression of GABA(A) receptor subunits in the distinct nuclei of the rat amygdala.
2005,
Pubmed
Glykys,
The main source of ambient GABA responsible for tonic inhibition in the mouse hippocampus.
2007,
Pubmed
Glykys,
A new naturally occurring GABA(A) receptor subunit partnership with high sensitivity to ethanol.
2007,
Pubmed
Haefely,
Antagonists of benzodiazepines: functional aspects.
1983,
Pubmed
Hanchar,
Alcohol effects on gamma-aminobutyric acid type A receptors: are extrasynaptic receptors the answer?
2004,
Pubmed
Herman,
The addicted brain: understanding the neurophysiological mechanisms of addictive disorders.
2015,
Pubmed
Herman,
Novel subunit-specific tonic GABA currents and differential effects of ethanol in the central amygdala of CRF receptor-1 reporter mice.
2013,
Pubmed
Hörtnagl,
Patterns of mRNA and protein expression for 12 GABAA receptor subunits in the mouse brain.
2013,
Pubmed
Jin,
Expression of specific ionotropic glutamate and GABA-A receptor subunits is decreased in central amygdala of alcoholics.
2014,
Pubmed
Jones-Davis,
Structural determinants of benzodiazepine allosteric regulation of GABA(A) receptor currents.
2005,
Pubmed
Koska,
Fully automated molecular mechanics based induced fit protein-ligand docking method.
2008,
Pubmed
Li,
Identification of a GABAA receptor anesthetic binding site at subunit interfaces by photolabeling with an etomidate analog.
2006,
Pubmed
Liu,
Etomidate uniquely modulates the desensitization of recombinant α1β3δ GABA(A) receptors.
2015,
Pubmed
Lovinger,
Tonic for what ails us? high-affinity GABAA receptors and alcohol.
2007,
Pubmed
Majewska,
Interaction of ethanol with the GABAA receptor in the rat brain: possible involvement of endogenous steroids.
1988,
Pubmed
McCracken,
A transmembrane amino acid in the GABAA receptor β2 subunit critical for the actions of alcohols and anesthetics.
2010,
Pubmed
,
Xenbase
McKernan,
Photoaffinity labeling of the benzodiazepine binding site of alpha1beta3gamma2 gamma-aminobutyric acidA receptors with flunitrazepam identifies a subset of ligands that interact directly with His102 of the alpha subunit and predicts orientation of these within the benzodiazepine pharmacophore.
1998,
Pubmed
Mennerick,
Selective antagonism of 5alpha-reduced neurosteroid effects at GABA(A) receptors.
2004,
Pubmed
,
Xenbase
Mihic,
Anaesthetic concentrations of alcohols potentiate GABAA receptor-mediated currents: lack of subunit specificity.
1994,
Pubmed
,
Xenbase
Mihic,
Sites of alcohol and volatile anaesthetic action on GABA(A) and glycine receptors.
1997,
Pubmed
,
Xenbase
Milenkovic,
The parvalbumin-positive interneurons in the mouse dentate gyrus express GABAA receptor subunits α1, β2, and δ along their extrasynaptic cell membrane.
2013,
Pubmed
Miller,
Crystal structure of a human GABAA receptor.
2014,
Pubmed
Newell,
Functional consequences of the loss of high affinity agonist binding to gamma-aminobutyric acid type A receptors. Implications for receptor desensitization.
2002,
Pubmed
,
Xenbase
Nusser,
Immunocytochemical localization of the alpha 1 and beta 2/3 subunits of the GABAA receptor in relation to specific GABAergic synapses in the dentate gyrus.
1995,
Pubmed
Olsen,
Analysis of γ-aminobutyric acid (GABA) type A receptor subtypes using isosteric and allosteric ligands.
2014,
Pubmed
Olsen,
GABA(A) receptors as molecular targets of general anesthetics: identification of binding sites provides clues to allosteric modulation.
2011,
Pubmed
Olsen,
GABA A receptors: subtypes provide diversity of function and pharmacology.
2009,
Pubmed
Pirker,
GABA(A) receptors: immunocytochemical distribution of 13 subunits in the adult rat brain.
2000,
Pubmed
Ramerstorfer,
The GABAA receptor alpha+beta- interface: a novel target for subtype selective drugs.
2011,
Pubmed
,
Xenbase
Richter,
Diazepam-bound GABAA receptor models identify new benzodiazepine binding-site ligands.
2012,
Pubmed
Rudolph,
Beyond classical benzodiazepines: novel therapeutic potential of GABAA receptor subtypes.
2011,
Pubmed
Sanna,
Differential subunit dependence of the actions of the general anesthetics alphaxalone and etomidate at gamma-aminobutyric acid type A receptors expressed in Xenopus laevis oocytes.
1997,
Pubmed
,
Xenbase
Sieghart,
A novel GABA(A) receptor pharmacology: drugs interacting with the α(+) β(-) interface.
2012,
Pubmed
Sigel,
Structure, function, and modulation of GABA(A) receptors.
2012,
Pubmed
Skolnick,
Anxioselective anxiolytics: on a quest for the Holy Grail.
2012,
Pubmed
Smith,
Deduction of amino acid residues in the GABA(A) receptor alpha subunits photoaffinity labeled with the benzodiazepine flunitrazepam.
2000,
Pubmed
Snell,
Novel structure having antagonist actions at both the glycine site of the N-methyl-D-aspartate receptor and neuronal voltage-sensitive sodium channels: biochemical, electrophysiological, and behavioral characterization.
2000,
Pubmed
,
Xenbase
Stewart,
Mutations at beta N265 in γ-aminobutyric acid type A receptors alter both binding affinity and efficacy of potent anesthetics.
2014,
Pubmed
,
Xenbase
Tabakoff,
A novel substituted aminoquinoline selectively targets voltage-sensitive sodium channel isoforms and NMDA receptor subtypes and alleviates chronic inflammatory and neuropathic pain.
2016,
Pubmed
Thompson,
Barbiturate interactions at the human GABAA receptor: dependence on receptor subunit combination.
1996,
Pubmed
,
Xenbase
Ueno,
Bicuculline and gabazine are allosteric inhibitors of channel opening of the GABAA receptor.
1997,
Pubmed
Verleye,
Effects of etifoxine on ligand binding to GABA(A) receptors in rodents.
2002,
Pubmed
Wang,
Inhibition of neuronal Na+ channels by the novel antiepileptic compound DCUKA: identification of the diphenylureido moiety as an inactivation modifier.
2002,
Pubmed
Wilcox,
CoMFA-based prediction of agonist affinities at recombinant wild type versus serine to alanine point mutated D2 dopamine receptors.
2000,
Pubmed
Wingrove,
The modulatory action of loreclezole at the gamma-aminobutyric acid type A receptor is determined by a single amino acid in the beta 2 and beta 3 subunit.
1994,
Pubmed
,
Xenbase
Wu,
Detailed analysis of grid-based molecular docking: A case study of CDOCKER-A CHARMm-based MD docking algorithm.
2003,
Pubmed