|
Fig. 1. Molecular characteristics of Opn5L1. a, b Absorption spectra (a) and HPLC patterns of retinal chromophore (b) of Opn5L1NC purified after incubation with 11-cis- (black) or all-trans-retinal (red). The spectra were recorded at 10 °C. c G protein activation ability of Opn5L1N before (black) and after (red) irradiation with >500 nm light for 2 min. d, e Absorption spectra (d), and HPLC patterns of retinal chromophore (e) of Opn5L1NC before (black) and after (red) irradiation with >500 nm light for 2 min. The spectra were recorded at 10 °C. f Absorption spectra before (Dark) and 0.0015, 0.017, 0.05, 0.16, and 2.1 s (curves 1−5, respectively) after flash irradiation with >500 nm light at 37 °C. g The absorbance at 495 nm (black circles) and 270 nm (red triangles) plotted against the time after flash irradiation. The time profiles were fitted by single exponential functions y = y0 − b × exp(−t/τ) with the same time constant (solid curves, y = 0.0059 − 0.054 × exp(t/0.089) for 495 nm, and y = 0.167 – 0.017 × exp(t/0.089) for 270 nm, τ = 0.089 s). h Absorption spectra before (Dark) and 0, 11, 32, 92, 447, and 557 min (curves 1−6, respectively) after irradiation with >500 nm light for 2 min at 37 °C. (inset) The absorbance at 510 nm plotted against the time after irradiation (black circles). The data were fitted by single exponential function y = y0 − b × exp(−t/τ) (solid curve, y = 0.029 – 0.026 × exp(t/10500), τ = 1.1×104 s). i HPLC patterns of retinaloximes extracted before (black) and 2 min (red) or 11 h (cyan) after light irradiation. j Recovery of G protein activation efficiency of Opn5L1N after light irradiation. G protein activation efficiencies estimated with (red squares) and without (black circles) additional light irradiation were plotted against incubation time. Data points represent mean values ± s.d. (n = 3). Kinetics of the increase of G protein activation efficiency were fitted by a single exponential function (broken line) with a time constant of 7.5×103 s
|
|
Fig. 2. Retinal configurations in the intermediates produced by irradiation of Opn5L1 at −72 °C. a HPLC patterns of the retinaloximes extracted from non-irradiated Opn5L1NC sample (black), cooled at −72 °C in an ethanol/dry ice bath and irradiated with >500 nm light for 1 min (magenta), and subsequent incubation at 0 °C for 30 min (green). b Calculated compositions of retinal isomers in the samples based on each peak area in the chromatogram from a and the extinction coefficients previously reported55. Compositions of the retinal isomers of the dark sample (black in a) were 5.50 and 94.5% for the 13-cis and all-trans, respectively. Those of the sample after >500 nm light irradiation for 1 min and extraction at −72 °C (magenta in a) were 4.86, 45.0, 15.0, and 31.3% for the 13-cis, all-trans, 9-cis and 11-cis, respectively. Those of the sample after >500 nm light irradiation for 1 min at −72 °C, followed by extraction after incubation at 0 °C for 30 min (green in a) were 4.88, 46.1, 14.5, and 1.19% for the 13-cis, all-trans, 9-cis and 11-cis, respectively. c Reaction scheme of the chromophore of Opn5L1NC under irradiation with >500 nm light at −72 °C. It should be noted that only the 11-cis isomer was not extracted after incubation of the irradiated sample at 0 °C
|
|
Fig. 3. Amino acid residue responsible for the 270-nm product. a Absorption spectra of Opn5L1NC C188T mutant before (black) and after (red) >500 nm light irradiation for 2 min at 10 °C. Irradiation caused the formation of a 500-nm product, but the 270-nm product was not formed. b HPLC patterns of the retinal oximes extracted from Opn5L1NC C188T mutant before (black) and after (red) >500 nm light irradiation for 2 min. 11-cis-retinal oxime can be extracted from the irradiated pigment. c Reaction scheme of WT Opn5L1NC and its C188T mutant. The WT Opn5L1NC is converted to the 500-nm intermediate by trans-to-cis photoisomerization of the chromophore, followed by formation of the stable 270-nm product, while the C188T mutant is photo-converted to an intermediate similar to the 500-nm intermediate of WT, but this intermediate is stable even at 10 °C
|
|
Fig. 4. Detection of retinal-thio adduct formation in light-irradiated Opn5L1 by LC-MS. a Action of hydroxylamine on retinal-thio adduct in Opn5L1. In this figure, we show that C11 is the site of adduction of the retinal chromophore to C188. b Amino acid sequences of fragments containing C188 in Opn5L1NC and Opn5L1NC E177K/Q192K mutant. Structure of the expected peptide (after light irradiation in the presence of hydroxylamine, breakdown of disulfide bond between C110 and C187, carbamidomethylation of free cysteine, and tryptic digestion) is shown below. Amino acids are numbered based on the bovine rhodopsin numbering system. Numbers shown in parentheses are according to BallesterosâWeinstein numbering. Asterisk indicates carbamidomethylation. c Mass spectrum recorded at the retention time of 12.15âmin, peak time of m/zâ=â1045.984â±â0.05 corresponding to isotopic m/z of [Mâ+â2H]2+ of the peptide YGEEPYGTAC*C(retinaloxime)IDWK. The mass signals of [Mâ+â2H]2+ and [Mâ+â3H]3+ ions of YGEEPYGTAC*C(retinaloxime)IDWK are indicated. d, e Enlarged view of the mass signals of [Mâ+â3H]3+ (d) and [Mâ+â2H]2+ (e) from c, respectively. f, g LC-MS profiles of m/zâ=â697.659â±â0.05 (f) and 1045.984â±â0.05 (g) corresponding to isotopic m/z of [Mâ+â3H]3+ and [Mâ+â2H]2+ of the peptide YGEEPYGTAC*C(retinaloxime)IDWK, respectively. The traces obtained from the light-irradiated (red) and the dark-adapted (black) samples are shown
|
|
Fig. 5. Distribution of Opn5L1 mRNA in chicken brain and retina. a Schematic drawings of chicken brain to show the approximate positions of frontal sections. Numbered lines in sagittal drawing indicate the positions of frontal sections numbered 1 and 2. Magenta boxes show the areas of panels bâg. bâg
Opn5L1 mRNA in the chicken brain. Sections were hybridized with Opn5L1 antisense (b, d, f) and sense (c, e, g) probes. Panels (c), (e), and (g) show the tissue sections consecutive to (b), (d), and (f), respectively. h, i
Opn5L1 mRNA in the chicken retina. Sections were hybridized with Opn5L1 antisense (h) and sense (i) probes. All the sections were counterstained with Nuclear Fast Red. Scale bars: bâg 300âμm; h, i 50âμm. Lv lateral ventricle, H hyperpallium, M mesopallium, Hp hippocampus, NI intermediate nidopallium, 3v third ventricle, PVN paraventricular nucleus, RPE retinal pigment epithelium, PRL photoreceptor layer, ONL outer nuclear layer, OPL outer plexiform layer, INL inner nuclear layer, IPL inner plexiform layer, GCL ganglion cell layer
|
|
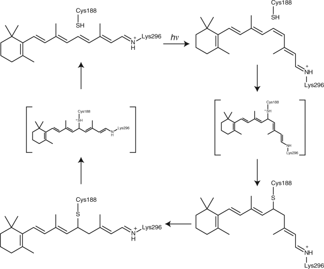
Fig. 6. Chromophore structural changes in the photocycle of Opn5L1. Opn5L1 has all-trans-retinal as a chromophore, near which cysteine residue at position 188 (Cys188) is situated (top left). Light causes all-trans-to-11-cis isomerization of the chromophore (top right). The isomerization is followed by adduct formation between the chromophore and the thiol group of Cys188, resulting in conversion of C11=C12 double bond to a single bond in the chromophore (bottom right). As the C11−C12 single bond is thermally rotated, adduct dissociation occurs when the C11−C12 bond is in a trans conformation (bottom left). Subsequent reformation of the all-trans-retinal chromophore recovers the original state of Opn5L1 (top left)
|
|
Fig. 7. A possible scenario of evolution of forward and reverse photoreceptors from an ancestral bistable opsin. a Phylogenetic view of opsin family and photochemical properties of the groups in the family. As many members in most of the groups show the bistable nature, such bistability should be an ancestral type of the photochemistry of opsins. b Schematic view of possible evolutionary branching into forward and reverse photoreceptors. Loss of ability to directly bind all-trans-retinal and undergo its trans-cis photoisomerization produced forward photoreceptors. On the other hand, reverse photoreceptors lost the ability to bind 11-cis-retinal along with the ability to undergo the photo-conversion reaction from the inactive state to active state
|