Click here to close
Hello! We notice that you are using Internet Explorer, which is not supported by Xenbase and may cause the site to display incorrectly.
We suggest using a current version of Chrome,
FireFox, or Safari.
Mol Biol Evol
2018 Dec 01;3512:2913-2927. doi: 10.1093/molbev/msy185.
Show Gene links
Show Anatomy links
Genomic Takeover by Transposable Elements in the Strawberry Poison Frog.
Rogers RL
,
Zhou L
,
Chu C
,
Márquez R
,
Corl A
,
Linderoth T
,
Freeborn L
,
MacManes MD
,
Xiong Z
,
Zheng J
,
Guo C
,
Xun X
,
Kronforst MR
,
Summers K
,
Wu Y
,
Yang H
,
Richards-Zawacki CL
,
Zhang G
,
Nielsen R
.
???displayArticle.abstract???
We sequenced the genome of the strawberry poison frog, Oophaga pumilio, at a depth of 127.5× using variable insert size libraries. The total genome size is estimated to be 6.76 Gb, of which 4.76 Gb are from high copy number repetitive elements with low differentiation across copies. These repeats encompass DNA transposons, RNA transposons, and LTR retrotransposons, including at least 0.4 and 1.0 Gb of Mariner/Tc1 and Gypsy elements, respectively. Expression data indicate high levels of gypsy and Mariner/Tc1 expression in ova of O. pumilio compared with Xenopus laevis. We further observe phylogenetic evidence for horizontal transfer (HT) of Mariner elements, possibly between fish and frogs. The elements affected by HT are present in high copy number and are highly expressed, suggesting ongoing proliferation after HT. Our results suggest that the large amphibian genome sizes, at least partially, can be explained by a process of repeated invasion of new transposable elements that are not yet suppressed in the germline. We also find changes in the spliceosome that we hypothesize are related to permissiveness of O. pumilio to increases in intron length due to transposon proliferation. Finally, we identify the complement of ion channels in the first genomic sequenced poison frog and discuss its relation to the evolution of autoresistance to toxins sequestered in the skin.
Fig. 1. Bayesian gene trees reconstructed for annotation of O. pumilio genes in the nACHR (A) and SCNA (B) gene families, and nucleotide sequences of the CHRNE gene. Nodal support and branch labeling/coloring follow in fig. 2.
Fig. 2. Bayesian gene tree of the voltage-gated sodium channel alpha subunit (SCNA) gene family and amino acid replacements identified as possibly associated with toxin autoresistance in O. pumilio (A), with their positions on a schematic voltage-gated sodium channel (B). Branches are colored and labeled based on the closest X. tropicalis ortholog, and nomenclature follows ENSEMBL annotations. Asterisks on internodes denote Bayesian posterior probabilities and aBayes support values above 0.95. Clades resulting from amniote-specific gene family expansions were collapsed to improve visualization.
Fig. 3. Total sequence content of TEs as classified using a tblastx against the RepBase database. Among low differentiated TE families, we identified 1 Gb of Gypsy elements, 298 Mb of Copia elements, 255 Mb of hAT sequence, 197 Mb of Mariner elements, and 181 Mb of Tc1 elements in O. pumilio.
Fig. 4. Bimodal distribution of nucleotide similarity for repeat contigs identified using RepDeNovo compared with Mariner-4_DR consensus sequence from D. rerio. The presence of two peaks is consistent with two waves of proliferation after HT of an element between fish and frogs. Danio and Oophaga diverged 480MYA. The distribution of nucleotide similarity is not consistent with vertical transmission from a common ancestor.
Fig. 5. Phylogenetic relationships between horizontally transmitted repetitive elements in O. pumilio (black) and annotated TE Tc1-3_SSa (red), a salmon TE in RepBase. Similar patterns are observed in other TE families. For each of the most diverse TEs that are candidates for HT, the RepBase element lies within the diversity of TEs in O. pumilio. All of these diverse and rapidly proliferating horizontally transferred elements are a close match with a TE from freshwater fish.
Fig. 6. Total amount of expressed sequence for TE classes in O. pumilio and X. laevis. Gypsy and Mariner elements are expressed at significantly higher levels in O. pumilio, but Tc1 elements are not. We observe an excess of germline expression of Gypsy (t = 7.007; P = 0.006393) and Mariner sequences (t = 7.1938; P = 0.005313) in O. pumilio compared with Xenopus.
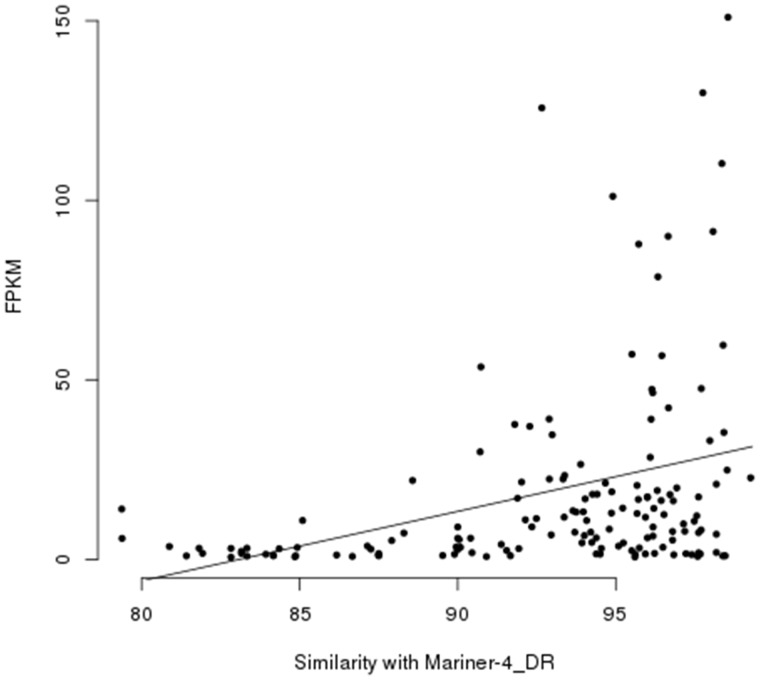
Fig.7. Expression level for transcripts is positively correlated with nucleotide similarity with Mariner-4_DR (Danio rerio) consensus sequence in RepBase. Such a result is expected if recently transferred transposons invade genomes that lack repressors for the new TEs (F = 3.956; df = 5; P = 0.002128).
Albuquerque,
The pharmacology of batrachotoxin. V. A comparative study of membrane properties and the effect of batrachotoxin on sartorius muscles of the frogs Phyllobates aurotaenia and Rana pipiens.
1973, Pubmed
Albuquerque,
The pharmacology of batrachotoxin. V. A comparative study of membrane properties and the effect of batrachotoxin on sartorius muscles of the frogs Phyllobates aurotaenia and Rana pipiens.
1973,
Pubmed
Aminetzach,
Pesticide resistance via transposition-mediated adaptive gene truncation in Drosophila.
2005,
Pubmed
Andriamaharavo,
Roughing it: a mantellid poison frog shows greater alkaloid diversity in some disturbed habitats.
2010,
Pubmed
Bao,
Repbase Update, a database of repetitive elements in eukaryotic genomes.
2015,
Pubmed
Bennetzen,
The contributions of transposable elements to the structure, function, and evolution of plant genomes.
2014,
Pubmed
Burnette,
Subdivision of large introns in Drosophila by recursive splicing at nonexonic elements.
2005,
Pubmed
Casacuberta,
The impact of transposable elements in environmental adaptation.
2013,
Pubmed
Christenson,
De novo Assembly and Analysis of the Northern Leopard Frog Rana pipiens Transcriptome.
2014,
Pubmed
Chu,
REPdenovo: Inferring De Novo Repeat Motifs from Short Sequence Reads.
2016,
Pubmed
Chuong,
Regulatory activities of transposable elements: from conflicts to benefits.
2017,
Pubmed
Crawford,
Relative rates of nucleotide substitution in frogs.
2003,
Pubmed
Daly,
Dietary source for skin alkaloids of poison frogs (Dendrobatidae)?
1994,
Pubmed
Daly,
Toxicity of Panamanian poison frogs (Dendrobates): some biological and chemical aspects.
1967,
Pubmed
Daly,
First occurrence of tetrodotoxin in a dendrobatid frog (Colostethus inguinalis), with further reports for the bufonid genus Atelopus.
1994,
Pubmed
Daly,
Levels of batrachotoxin and lack of sensitivity to its action in poison-dart frogs (Phyllobates).
1980,
Pubmed
Daly,
Alkaloids from amphibian skin: a tabulation of over eight-hundred compounds.
2005,
Pubmed
Darriba,
ProtTest 3: fast selection of best-fit models of protein evolution.
2011,
Pubmed
Du,
Functional expression of an arachnid sodium channel reveals residues responsible for tetrodotoxin resistance in invertebrate sodium channels.
2009,
Pubmed
,
Xenbase
Dulac,
Neural control of maternal and paternal behaviors.
2014,
Pubmed
Frahry,
Low levels of LTR retrotransposon deletion by ectopic recombination in the gigantic genomes of salamanders.
2015,
Pubmed
Geffeney,
Evolutionary diversification of TTX-resistant sodium channels in a predator-prey interaction.
2005,
Pubmed
,
Xenbase
Grabherr,
Full-length transcriptome assembly from RNA-Seq data without a reference genome.
2011,
Pubmed
Guindon,
New algorithms and methods to estimate maximum-likelihood phylogenies: assessing the performance of PhyML 3.0.
2010,
Pubmed
Haberer,
Structure and architecture of the maize genome.
2005,
Pubmed
Jangam,
Transposable Element Domestication As an Adaptation to Evolutionary Conflicts.
2017,
Pubmed
Jarmolowski,
The determinants for Sm protein binding to Xenopus U1 and U5 snRNAs are complex and non-identical.
1993,
Pubmed
,
Xenbase
Joron,
Diversity in mimicry: paradox or paradigm?
1998,
Pubmed
Jost,
Toxin-resistant sodium channels: parallel adaptive evolution across a complete gene family.
2008,
Pubmed
Jurka,
Repbase Update, a database of eukaryotic repetitive elements.
2005,
Pubmed
Katoh,
MAFFT multiple sequence alignment software version 7: improvements in performance and usability.
2013,
Pubmed
Lander,
Initial sequencing and analysis of the human genome.
2001,
Pubmed
Larkin,
Clustal W and Clustal X version 2.0.
2007,
Pubmed
Li,
The batrachotoxin receptor on the voltage-gated sodium channel is guarded by the channel activation gate.
2002,
Pubmed
,
Xenbase
Loreto,
Revisiting horizontal transfer of transposable elements in Drosophila.
2008,
Pubmed
Lund,
The transcription of Xenopus laevis embryonic U1 snRNA genes changes when oocytes mature into eggs.
1987,
Pubmed
,
Xenbase
Lynch,
Ancient transposable elements transformed the uterine regulatory landscape and transcriptome during the evolution of mammalian pregnancy.
2015,
Pubmed
Magwire,
Successive increases in the resistance of Drosophila to viral infection through a transposon insertion followed by a Duplication.
2011,
Pubmed
Matera,
A day in the life of the spliceosome.
2014,
Pubmed
McGlothlin,
Parallel evolution of tetrodotoxin resistance in three voltage-gated sodium channel genes in the garter snake Thamnophis sirtalis.
2014,
Pubmed
McLaughlin,
Genetic conflicts: the usual suspects and beyond.
2017,
Pubmed
Montgomery,
Chromosome rearrangement by ectopic recombination in Drosophila melanogaster: genome structure and evolution.
1991,
Pubmed
Mueller,
piRNAs and Evolutionary Trajectories in Genome Size and Content.
2017,
Pubmed
Price,
De novo identification of repeat families in large genomes.
2005,
Pubmed
Richardson,
Improving amphibian genomic resources: a multitissue reference transcriptome of an iconic invader.
2018,
Pubmed
Richards-Zawacki,
Mate choice and the genetic basis for colour variation in a polymorphic dart frog: inferences from a wild pedigree.
2012,
Pubmed
Ronquist,
MrBayes 3.2: efficient Bayesian phylogenetic inference and model choice across a large model space.
2012,
Pubmed
Saporito,
Spatial and temporal patterns of alkaloid variation in the poison frog Oophaga pumilio in Costa Rica and Panama over 30 years.
2007,
Pubmed
Schaack,
Promiscuous DNA: horizontal transfer of transposable elements and why it matters for eukaryotic evolution.
2010,
Pubmed
Schrader,
Transposable element islands facilitate adaptation to novel environments in an invasive species.
2014,
Pubmed
Stanke,
Gene prediction with a hidden Markov model and a new intron submodel.
2003,
Pubmed
Stanke,
Gene prediction in eukaryotes with a generalized hidden Markov model that uses hints from external sources.
2006,
Pubmed
Stanke,
AUGUSTUS: a web server for gene finding in eukaryotes.
2004,
Pubmed
Stynoski,
Evidence of maternal provisioning of alkaloid-based chemical defenses in the strawberry poison frog Oophaga pumilio.
2014,
Pubmed
Stynoski,
Maternally derived chemical defences are an effective deterrent against some predators of poison frog tadpoles (Oophaga pumilio).
2014,
Pubmed
Summers,
Visual mate choice in poison frogs.
1999,
Pubmed
Sun,
Slow DNA loss in the gigantic genomes of salamanders.
2012,
Pubmed
,
Xenbase
Sun,
Whole-genome sequence of the Tibetan frog Nanorana parkeri and the comparative evolution of tetrapod genomes.
2015,
Pubmed
,
Xenbase
Sun,
Contribution of Multiple Inter-Kingdom Horizontal Gene Transfers to Evolution and Adaptation of Amphibian-Killing Chytrid, Batrachochytrium dendrobatidis.
2016,
Pubmed
Swinburne,
Intron delays and transcriptional timing during development.
2008,
Pubmed
Tarvin,
Interacting amino acid replacements allow poison frogs to evolve epibatidine resistance.
2017,
Pubmed
Tarvin,
Convergent Substitutions in a Sodium Channel Suggest Multiple Origins of Toxin Resistance in Poison Frogs.
2016,
Pubmed
Thompson,
CLUSTAL W: improving the sensitivity of progressive multiple sequence alignment through sequence weighting, position-specific gap penalties and weight matrix choice.
1994,
Pubmed
Tokuyama,
The structure of batrachotoxin, a steroidal alkaloid from the Colombian arrow poison frog, Phyllobates aurotaenia, and partial synthesis of batrachotoxin and its analogs and homologs.
1969,
Pubmed
Vestergaard,
Number of genes controlling a quantitative trait in a hybrid zone of the aposematic frog Ranitomeya imitator.
2015,
Pubmed
Wang,
Single rat muscle Na+ channel mutation confers batrachotoxin autoresistance found in poison-dart frog Phyllobates terribilis.
2017,
Pubmed
Wang,
Irreversible block of cardiac mutant Na+ channels by batrachotoxin.
2007,
Pubmed
Wang,
How batrachotoxin modifies the sodium channel permeation pathway: computer modeling and site-directed mutagenesis.
2006,
Pubmed
Wang,
Serine-401 as a batrachotoxin- and local anesthetic-sensing residue in the human cardiac Na+ channel.
2007,
Pubmed
Xie,
SOAPdenovo-Trans: de novo transcriptome assembly with short RNA-Seq reads.
2014,
Pubmed
Yamanoue,
The mitochondrial genome of spotted green pufferfish Tetraodon nigroviridis (Teleostei: Tetraodontiformes) and divergence time estimation among model organisms in fishes.
2006,
Pubmed
Yang,
Poison frog color morphs express assortative mate preferences in allopatry but not sympatry.
2016,
Pubmed
Yang,
PAML 4: phylogenetic analysis by maximum likelihood.
2007,
Pubmed
Zakon,
Voltage-gated sodium channel gene repertoire of lampreys: gene duplications, tissue-specific expression and discovery of a long-lost gene.
2017,
Pubmed
Zakon,
Expansion of voltage-dependent Na+ channel gene family in early tetrapods coincided with the emergence of terrestriality and increased brain complexity.
2011,
Pubmed