Click here to close
Hello! We notice that you are using Internet Explorer, which is not supported by Xenbase and may cause the site to display incorrectly.
We suggest using a current version of Chrome,
FireFox, or Safari.
Nat Commun
2016 May 26;7:11701. doi: 10.1038/ncomms11701.
Show Gene links
Show Anatomy links
Dynamic heterogeneity and non-Gaussian statistics for acetylcholine receptors on live cell membrane.
He W
,
Song H
,
Su Y
,
Geng L
,
Ackerson BJ
,
Peng HB
,
Tong P
.
???displayArticle.abstract???
The Brownian motion of molecules at thermal equilibrium usually has a finite correlation time and will eventually be randomized after a long delay time, so that their displacement follows the Gaussian statistics. This is true even when the molecules have experienced a complex environment with a finite correlation time. Here, we report that the lateral motion of the acetylcholine receptors on live muscle cell membranes does not follow the Gaussian statistics for normal Brownian diffusion. From a careful analysis of a large volume of the protein trajectories obtained over a wide range of sampling rates and long durations, we find that the normalized histogram of the protein displacements shows an exponential tail, which is robust and universal for cells under different conditions. The experiment indicates that the observed non-Gaussian statistics and dynamic heterogeneity are inherently linked to the slow-active remodelling of the underlying cortical actin network.
Figure 1. Observed dynamic heterogeneity in the AChR trajectories.(a) Overall 130 representative AChR trajectories with 300 time steps (60âs). These trajectories are taken from the bottom membrane of a Xenopus muscle cell. Red trajectories indicate fast moving AChRs and black ones indicate ânearly immobile' AChRs. (b) A total of 52 representative trajectories of silica spheres 2.14âμm in diameter undergoing Brownian diffusion in water over a flat substrate with 1,000 time steps (47âs).
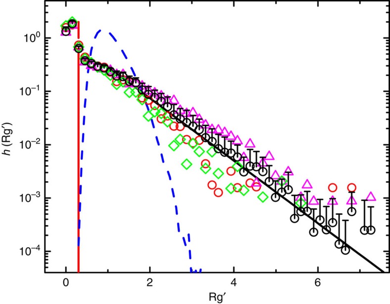
Figure 2. Normalized histogram of the radius of gyration of AChR trajectories.Measured PDF of the normalized for the AChR trajectories taken under different sample conditions: cultured for 1âday after dissection (red circles), cultured for 4âdays (magenta triangles), and cultured for 8âdays (green diamonds). Each is obtained by averaging the data from 10 cells cultured under the same condition. The black circles are obtained by averaging the data from 70 cells. Their statistics is considerably improved with small error bars indicating the standard deviations. The solid black line shows the exponential function, . The dashed blue line shows the measured for silica spheres undergoing Brownian diffusion. The vertical red line indicates the cutoff value used to define the immobile trajectories.
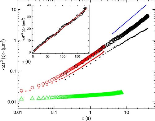
Figure 3. Crossover from sub-diffusion to normal diffusion observed from the MSD curve.Measured 〈Δr2(τ)〉 as a function of delay time τ for the AChR trajectories taken at two sampling rates of 80 fps (red dashed line and circles) and 5 fps (black dashed line and circles). Data from a single cell are used in the ensemble average. The red and black dashed lines are obtained when both the mobile and immobile trajectories are included in the calculation. The red and black circles are obtained when only the mobile trajectories are included in the ensemble average. The green triangles are obtained when only the immobile trajectories are included in the ensemble average. The blue solid line indicates the relationship 〈Δr2(τ)〉∼τ with a slope of unity in the log–log plot. Inset shows a linear plot of the measured 〈Δr2(τ)〉 as a function of τ and the red solid line is a linear fit to the data points.
Figure 4. Cell-to-cell variations in the measured long-time diffusion coefficient DL and mobile ratio γ of the AChRs.Distribution of the measured DL of AChRs. Inset shows the distribution of the measured γ of the AChRs. The total number of cells used in the statistics is 365.
Figure 5. Non-Gaussian behaviour of the normalized histogram of AChR's displacements.Measured PDFs P(Δx′) and P(Δy′) of the normalized displacements Δx′ and Δy′ for the trajectories of mobile AChRs. Data are obtained from 10 cells under each sample condition: (i) Δx′(τ) with τ=1 s (black triangles), 4 s (black circles), 10 s (black squares) and 20 s (black diamonds); (ii) Δy′(τ) with τ=4 s (blue circles) and (iii) Δx′(τ) with τ=4 s for a group of 10 cells from a different frog (green crosses). The red solid line is an exponential fit to the data points, P(Δx′)≃a exp (−β|(Δx′)|), with a=0.6 and β=1.4.
Figure 6. Normalized histogram of the âinstantaneous' diffusion coefficient of mobile AChRs.Measured PDF f(δâ²) of the normalized diffusion coefficient δâ²=δ/DL for the mobile AChR trajectories. Data are obtained from three groups of 10 cells each cultured for (i) 1 day (black circles), (ii) 3 days (blue triangles) and (ii) 6 days (green diamonds). The error bars show the standard deviation of the blue triangles averaged over 10 cells. The red solid line is an exponential fit to all data points, f(δâ²)â0.22 exp (â0.75δâ²). The blue dashed line shows the measured f(δâ²) for the silica spheres undergoing normal Brownian diffusion.
Alcor,
Single-particle tracking methods for the study of membrane receptors dynamics.
2009, Pubmed
Alcor,
Single-particle tracking methods for the study of membrane receptors dynamics.
2009,
Pubmed
Bannai,
Imaging the lateral diffusion of membrane molecules with quantum dots.
2006,
Pubmed
Bauer,
How to compare diffusion processes assessed by single-particle tracking and pulsed field gradient nuclear magnetic resonance.
2011,
Pubmed
Brangwynne,
Cytoplasmic diffusion: molecular motors mix it up.
2008,
Pubmed
Crocker,
Two-point microrheology of inhomogeneous soft materials.
2000,
Pubmed
Engelman,
Membranes are more mosaic than fluid.
2005,
Pubmed
Gelles,
Tracking kinesin-driven movements with nanometre-scale precision.
1988,
Pubmed
Geng,
The formation of acetylcholine receptor clusters visualized with quantum dots.
2009,
Pubmed
,
Xenbase
Ghosh,
Connecting structural relaxation with the low frequency modes in a hard-sphere colloidal glass.
2011,
Pubmed
Golding,
Physical nature of bacterial cytoplasm.
2006,
Pubmed
Gowrishankar,
Active remodeling of cortical actin regulates spatiotemporal organization of cell surface molecules.
2012,
Pubmed
Guo,
Probing the stochastic, motor-driven properties of the cytoplasm using force spectrum microscopy.
2014,
Pubmed
Heberle,
Bilayer thickness mismatch controls domain size in model membranes.
2013,
Pubmed
Heidernätsch,
Characterizing N-dimensional anisotropic Brownian motion by the distribution of diffusivities.
2013,
Pubmed
Hoffman,
The consensus mechanics of cultured mammalian cells.
2006,
Pubmed
Höfling,
Anomalous transport in the crowded world of biological cells.
2013,
Pubmed
Hunter,
The physics of the colloidal glass transition.
2012,
Pubmed
Jacobson,
Revisiting the fluid mosaic model of membranes.
1995,
Pubmed
Jeon,
In vivo anomalous diffusion and weak ergodicity breaking of lipid granules.
2011,
Pubmed
Kraft,
Plasma membrane organization and function: moving past lipid rafts.
2013,
Pubmed
Lingwood,
Lipid rafts as a membrane-organizing principle.
2010,
Pubmed
Luo,
Analysis of the local organization and dynamics of cellular actin networks.
2013,
Pubmed
Martin,
Apparent subdiffusion inherent to single particle tracking.
2002,
Pubmed
Munro,
Lipid rafts: elusive or illusive?
2003,
Pubmed
Novikov,
Random walk with barriers.
2011,
Pubmed
Parry,
The bacterial cytoplasm has glass-like properties and is fluidized by metabolic activity.
2014,
Pubmed
Peng,
Tissue culture of Xenopus neurons and muscle cells as a model for studying synaptic induction.
1991,
Pubmed
,
Xenbase
Pralle,
Sphingolipid-cholesterol rafts diffuse as small entities in the plasma membrane of mammalian cells.
2000,
Pubmed
Ritchie,
Detection of non-Brownian diffusion in the cell membrane in single molecule tracking.
2005,
Pubmed
Saffman,
Brownian motion in biological membranes.
1975,
Pubmed
Saxton,
A biological interpretation of transient anomalous subdiffusion. I. Qualitative model.
2007,
Pubmed
Simons,
Membrane organization and lipid rafts.
2011,
Pubmed
Simons,
Cholesterol, lipid rafts, and disease.
2002,
Pubmed
Singer,
The fluid mosaic model of the structure of cell membranes.
1972,
Pubmed
Smith,
Anomalous diffusion of major histocompatibility complex class I molecules on HeLa cells determined by single particle tracking.
1999,
Pubmed
Soula,
Anomalous versus slowed-down Brownian diffusion in the ligand-binding equilibrium.
2013,
Pubmed
Unwin,
Neurotransmitter action: opening of ligand-gated ion channels.
1993,
Pubmed
Veatch,
Critical fluctuations in plasma membrane vesicles.
2008,
Pubmed
Weigel,
Ergodic and nonergodic processes coexist in the plasma membrane as observed by single-molecule tracking.
2011,
Pubmed
Wong,
Anomalous diffusion probes microstructure dynamics of entangled F-actin networks.
2004,
Pubmed