Click here to close
Hello! We notice that you are using Internet Explorer, which is not supported by Xenbase and may cause the site to display incorrectly.
We suggest using a current version of Chrome,
FireFox, or Safari.
Amphibian (Xenopus laevis) Tadpoles and Adult Frogs Differ in Their Use of Expanded Repertoires of Type I and Type III Interferon Cytokines.
Wendel ES
,
Yaparla A
,
Melnyk MLS
,
Koubourli DV
,
Grayfer L
.
???displayArticle.abstract???
While amphibians around the globe are facing catastrophic declines, in part because of infections with pathogens such as the Frog Virus 3 (FV3) ranavirus; the mechanisms governing amphibian susceptibility and resistance to such pathogens remain poorly understood. The type I and type III interferon (IFN) cytokines represent a cornerstone of vertebrate antiviral immunity, while our recent work indicates that tadpoles and adult frogs of the amphibian Xenopus laevis may differ in their IFN responses to FV3. In this respect, it is notable that anuran (frogs and toads) tadpoles are significantly more susceptible to FV3 than adult frogs, and thus, gaining greater insight into the differences in the tadpole and adult frog antiviral immunity would be invaluable. Accordingly, we examined the FV3-elicited expression of a panel of type I and type III IFN genes in the skin (site of FV3 infection) and kidney (principal FV3 target) tissues and isolated cells of X. laevis tadpoles and adult frogs. We also examined the consequence of tadpole and adult frog skin and kidney cell stimulation with hallmark pathogen-associated molecular patterns (PAMPs) on the IFN responses of these cells. Together, our findings indicate that tadpoles and adult frogs mount drastically distinct IFN responses to FV3 as well as to viral and non-viral PAMPs, while these expression differences do not appear to be the result of a distinct pattern recognition receptor expression by tadpoles and adults.
Figure 1. Pathogen pattern recognition receptor (PRR) expression in tadpole and adult frog skin and kidney cells. Tadpoles (Nieuwkerk Faber, NF 54, N = 5) and adult frog (1 year old, N = 5) skin and kidney cells were examined for their gene expression of a panel of pathogen pattern recognition receptors. The expression analyses included (A) skin cell TLR, RIGI, and (B) cytosolic DNA sensor (CDS), genes as well as (C) kidney TLR, RIGI, and (D) CDS mRNA levels. All of the gene expressions were compared to the GAPDH control and normalized against the lowest expressed PRR (TLR7) within the respective cells. All of the results are presented as means + SEM. Significant differences between the respective experimental groups are denoted by overhead lines and asterisks (*). p < 0.05.
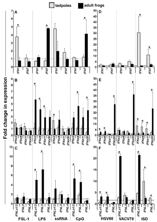
Figure 2. Tadpoles and adult frog skin cells mount distinct interferon (IFN) responses to PAMP stimulations. Tadpoles (NF 54, N = 5) and adult frog (1 year old, N = 5) skin cells were isolated and stimulated with a panel of pathogen-associated molecular patterns (PAMPs) for 6 h, and the IFN gene expression was examined. (A) IFN1 and IFN7; (B) IFNx2, IFNx6, IFNx11, IFNx20 (C) IFNLx1/2, IFNL3, and IFNL4 gene expression, following stimulation with TLR and RIGI-specific PAMPs. (D) IFN1 and IFN7; (E) IFNx2, IFNx6, IFNx11, and IFNx20; (F) IFNLx1/2, IFNL3, and IFNL4 gene expression, following stimulation with CDS agonists. All of the gene expressions were compared to the GAPDH control, normalized against the mock-infected expression of the respective genes within given tissues. All of the results are presented as means + SEM. Significant differences between the respective experimental groups are denoted by overhead lines and asterisks (*). p < 0.05.
Figure 3. Tadpoles and adult frog kidney cells mount distinct IFN responses to PAMP stimulations. Tadpoles (NF 54, N = 5) and adult frog (1 year old, N = 5) skin cells were isolated and stimulated with a panel of PAMPS for 6 h, and the IFN gene expression was examined. (A) IFN1 and IFN7; (B) IFNx2, IFNx6, IFNx11, and IFNx20; (C) IFNLx1/2, IFNL3, and IFNL4 gene expression following stimulation with TLR and RIGI-specific PAMPs. (D) IFN1 and IFN7; (E) IFNx2, IFNx6, IFNx11, and IFNx20; (F) IFNLx1/2, IFNL3, and IFNL4 gene expression following stimulation with CDS agonists. All of the gene expressions were compared to the GAPDH control, normalized against the mock-infected expression of the respective genes within the given tissues. All of the results are presented as means + SEM. Significant differences between the respective experimental groups are denoted by overhead lines and asterisks (*). p < 0.05.
Figure 4. Tadpoles and adult frog kidney cells mount distinct IFN responses following FV3 infections. Tadpoles (NF 54, N = 5) and adult frog (1 year old, N = 5) skin cells were isolated and infected with FV3 (0.5 MOI) for 6 h, and were examined for skin (A) and (B) kidney cell expressions of IFN genes as well as (C) skin and kidney cell expressions of FV3 genes and their (D) FV3 DNA loads. All of the gene expressions were compared to the GAPDH control, normalized against the mock-infected expression of the respective genes within given tissues. All of the results are presented as means + SEM. Significant differences between the respective experimental groups are denoted by overhead lines and asterisks (*). p < 0.05.
Figure 5. Tadpoles and adult X. laevis mount distinct IFN responses to FV3. Tadpoles (Nieuwkoop and Faber, NF stage 54, N = 5) and adult frogs (1 year old, N = 5) were challenged by water bath with 106 PFU of FV3 per ml of water or mock infected (water), and after 6 h of infection, their (A) skin and (B) kidney tissues were examined for the IFN gene expression, (C) FV3 gene expression, and (D) FV3 DNA viral loads. All of the gene expressions were compared to the GAPDH control, normalized against the mock-infected expression of the respective genes within given tissues. All of the results are presented as means + SEM. Significant differences between the respective experimental groups are denoted by overhead lines and asterisks (*). p < 0.05.
Bayley,
Susceptibility of the European common frog Rana temporaria to a panel of ranavirus isolates from fish and amphibian hosts.
2013, Pubmed
Bayley,
Susceptibility of the European common frog Rana temporaria to a panel of ranavirus isolates from fish and amphibian hosts.
2013,
Pubmed
Chinchar,
Ranaviruses (family Iridoviridae): emerging cold-blooded killers.
2002,
Pubmed
Chinchar,
Family Iridoviridae: poor viral relations no longer.
2009,
Pubmed
Djikeng,
Metagenomic analysis of RNA viruses in a fresh water lake.
2009,
Pubmed
Gan,
Intronless and intron-containing type I IFN genes coexist in amphibian Xenopus tropicalis: Insights into the origin and evolution of type I IFNs in vertebrates.
2017,
Pubmed
,
Xenbase
Getwan,
Toolbox in a tadpole: Xenopus for kidney research.
2017,
Pubmed
,
Xenbase
Grayfer,
Amphibian macrophage development and antiviral defenses.
2016,
Pubmed
,
Xenbase
Grayfer,
Prominent amphibian (Xenopus laevis) tadpole type III interferon response to the frog virus 3 ranavirus.
2015,
Pubmed
,
Xenbase
Grayfer,
The amphibian (Xenopus laevis) type I interferon response to frog virus 3: new insight into ranavirus pathogenicity.
2014,
Pubmed
,
Xenbase
Hoverman,
Anuran susceptibilities to ranaviruses: role of species identity, exposure route, and a novel virus isolate.
2010,
Pubmed
Ishizuya-Oka,
Amphibian organ remodeling during metamorphosis: insight into thyroid hormone-induced apoptosis.
2011,
Pubmed
,
Xenbase
Kawai,
The roles of TLRs, RLRs and NLRs in pathogen recognition.
2009,
Pubmed
Kawai,
Antiviral signaling through pattern recognition receptors.
2007,
Pubmed
Koubourli,
Immune roles of amphibian (Xenopus laevis) tadpole granulocytes during Frog Virus 3 ranavirus infections.
2017,
Pubmed
,
Xenbase
Landsberg,
Co-infection by alveolate parasites and frog virus 3-like ranavirus during an amphibian larval mortality event in Florida, USA.
2013,
Pubmed
Lisser,
Delineating the roles of cellular and innate antiviral immune parameters mediating ranavirus susceptibility using rainbow trout cell lines.
2017,
Pubmed
Morales,
Innate immune responses and permissiveness to ranavirus infection of peritoneal leukocytes in the frog Xenopus laevis.
2010,
Pubmed
,
Xenbase
Qi,
Intron-containing type I and type III IFN coexist in amphibians: refuting the concept that a retroposition event gave rise to type I IFNs.
2010,
Pubmed
,
Xenbase
Reeve,
Natural stressors and ranavirus susceptibility in larval wood frogs (Rana sylvatica).
2013,
Pubmed
Robertsen,
Atlantic salmon interferon genes: cloning, sequence analysis, expression, and biological activity.
2003,
Pubmed
Robertsen,
The interferon system of teleost fish.
2006,
Pubmed
Sadler,
Interferon-inducible antiviral effectors.
2008,
Pubmed
Sang,
Expansion of amphibian intronless interferons revises the paradigm for interferon evolution and functional diversity.
2016,
Pubmed
Sepulcre,
Evolution of lipopolysaccharide (LPS) recognition and signaling: fish TLR4 does not recognize LPS and negatively regulates NF-kappaB activation.
2009,
Pubmed
Sun,
Identification of an Atlantic salmon IFN multigene cluster encoding three IFN subtypes with very different expression properties.
2009,
Pubmed
Thompson,
Toll-like receptors, RIG-I-like RNA helicases and the antiviral innate immune response.
2007,
Pubmed
Wendel,
Amphibian (Xenopus laevis) tadpoles and adult frogs mount distinct interferon responses to the Frog Virus 3 ranavirus.
2017,
Pubmed
,
Xenbase
Williams,
A decade of advances in iridovirus research.
2005,
Pubmed
Zou,
Teleost fish interferons and their role in immunity.
2011,
Pubmed