|
Fig. 1. Promoter analysis of M. musculus, S. tropicalis, and O. latipes TH-related genes (trβ) and androgen-related genes (ar, srd5α2) (A), and estrogen related genes (erα, and cyp19) (B). For information on tr and ar half-site motifs in thyroid- and androgen-re;ated genes please refer to Flood et al. (2013). All sequences used for analysis were collected from the Ensembl Project (http://www.ensembl.org). Putative transcription factor binding sites within the putative promoter (â2000 toâ¯+â¯1) were identified using PROMO (v.3.0.2; Farré et al., 2003) and FIMO (v.4.11.1; Grant et al., 2011) software. TREs are shown in blue, AREs are shown in green, and EREs are represented by purple arrows. This figure was adapted from Fig. 1 in Flood et al. (2013). (For interpretation of the references to colour in this figure legend, the reader is referred to the web version of this article.)
|
|
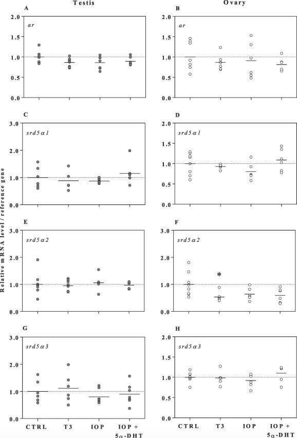
Fig. 2. Expression of trs (trβ) and dios (dio1, dio2, and dio3) in testes (A, C, E, and G, respectively) and ovaries (B, D, F, and H, respectively) exposed ex vivo to testosterone (T; 1â¯Î¼M), 5α-dihydrotestosterone (5α-DHT; 1â¯Î¼M), and to 5β-dihydrotestosterone (5β-DHT; 1â¯Î¼M) for 6â¯h. Symbols represent individual samples (nâ¯=â¯6â8 per treatment). Gene expression data are normalized to odc and presented as fold changes relative to the control treatment. Significant differences between treatments and the control (*) were identified by one-way ANOVAs followed by post hoc Dunnettâs tests (pâ¯<â¯0.05). Note that the scales of the y-axis vary.
|
|
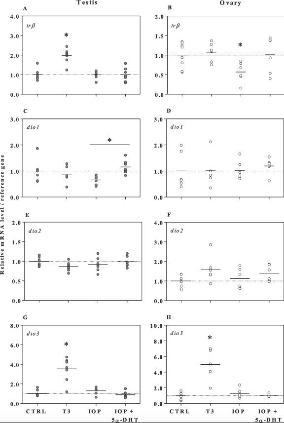
Fig. 3. Expression of trs (trβ) and dios (dio1, dio2, and dio3) in testes (A, C, E, and G, respectively) and ovaries (B, D, F, and H, respectively) exposed ex vivo to triiodothyronine (T3; 50â¯nM), iopanoic acid (IOP; 10â¯Î¼M), and to a co-treatment of IOP (10â¯Î¼M)â¯+â¯5α-dihydrotestosterone (5α-DHT; 1â¯Î¼M) for 6â¯h. Symbols represent individual samples (nâ¯=â¯5â8 per treatment). Testis and ovary gene expression data are normalized to odc and rpl8, respectively and presented as fold changes relative to the control treatment. Significant differences between treatments and the control (*) were identified by one-way ANOVAs followed by post hoc Dunnettâs tests (pâ¯<â¯0.05). Significant differences between treatments were identified by two-tailed t tests (pâ¯<â¯0.05). Note that the scales of the y-axis vary.
|
|
Fig. 4. Expression of erα, cyp19, and dax-1 in testes (A, C, and E respectively) and ovaries (B, D, and F respectively) exposed ex vivo to testosterone (T; 1â¯Î¼M), 5α-dihydrotestosterone (5α-DHT; 1â¯Î¼M), and to 5β-dihydrotestosterone (5β-DHT; 1â¯Î¼M) for 6â¯h. Symbols represent individual samples (nâ¯=â¯6â8 per treatment). Gene expression data are normalized to odc and presented as fold changes relative to the control treatment. Significant differences between treatments and the control (*) were identified by one-way ANOVAs followed by post hoc Dunnettâs tests (pâ¯<â¯0.05). Note that the scales of the y-axis vary.
|
|
Fig. 5. Expression of erα, cyp19, and dax-1 in testes (A, C, and E, respectively) and ovaries (B, D, and F, respectively) exposed ex vivo to triiodothyronine (T3; 50â¯nM), iopanoic acid (IOP; 10â¯Î¼M), and to a co-treatment of IOP (10â¯Î¼M) + 5α-dihydrotestosterone (5α-DHT; 1â¯Î¼M) for 6â¯h. Symbols represent individual samples (nâ¯=â¯5â8 per treatment). Testis and ovary gene expression data are normalized to odc and rpl8, respectively and presented as fold changes relative to the control treatment. Significant differences between treatments and the control (*) were identified by one-way ANOVAs followed by post hoc Dunnettâs tests (pâ¯<â¯0.05). Note that the scales of the y-axis vary.
|
|
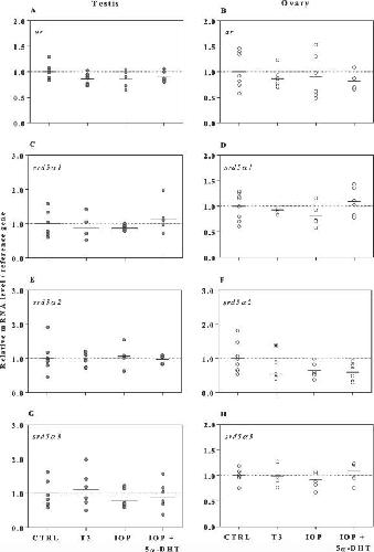
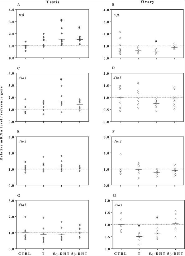
Fig. 6. Expression of ar, srd5α1, srd5α2, and srd5α3 in testes (A, C, E, and G, respectively) and ovaries (B, D, F, and H, respectively) exposed ex vivo to triiodothyronine (T3; 50â¯nM), iopanoic acid (IOP; 10â¯Î¼M), or a co-treatment of IOP (10â¯Î¼M)â¯+â¯5α-dihydrotestosterone (5α-DHT; 1â¯Î¼M) for 6â¯h. Symbols represent individual samples (nâ¯=â¯5â8 per treatment). Testis and ovary gene expression data are normalized to odc and rpl8, respectively and presented as fold changes relative to the control treatment. Significant differences between treatments and the control (*) were identified by one-way ANOVAs followed by post hoc Dunnettâs tests (pâ¯<â¯0.05). Note: scales of the y-axis vary.
|