|
Fig. 1
Quantitative analysis of X. laevis tadpole survival after Ly-294,002 treatment. X. laevis larvae were treated with different amounts of Ly-294,002 at different developmental stages until NF 45. As controls, X. laevis larvae were raised either in 0,1 μM DMSO or in 0,1à MBS. Larvae treated with DMSO and with 0,1à MBS show no significant differences in survival rates. The survival rate in Ly-294,002 treated larvae declines with increasing Ly-294,002 concentration and early start of the incubation
|
|
Fig. 2
Effects of Ly-294,002 treatment on external head morphology and bapx1 expression in X. laevis. Lateral view of larvae at NF 44 after rearing in a 0,1à MBS as control, b 0,1 μM DMSO and c 20 μM Ly-294,002 from NF 29 onwards. No significant differences in the external morphology can be observed. In situ hybridisation of NF 37 X. laevis larvae raised in d 0,1xMBS as control and e 20 μM Ly-294,002 from NF 29 onwards in lateral view reveal differences in the expression of bapx1 in the mandibular arch. After bapx1 upregulation the mandibular arch expression domain is broader and extends postero-dorsally. Scale bar 500 μm
|
|
Fig. 3
3D reconstructions based on confocal laser scanning microscopy showing the effects of Ly-294,002 treatment on cranial cartilage morphology in Xenopus laevis larvae. Lateral view of ZO 10 (a, b) and ZO 17 (c, d) larvae with normal bapx1 expression (left column) and elevated bapx1 expression (right column). In Ly-294,002-treated specimen with increased bapx1 expression an ectopic cartilage develops within the mandibular arch lateral to the palatoquadrate. Depictions of X. laevis larvae in lateral view show the main differences between e normal and f perturbed development. In short, the processus muscularis is reduced in size and an ectopic cartilage arises lateral to the palatoquadrate after upregulation of bapx1. ch, ceratohyal; cm, Meckel’s cartilage; ec, ectopic cartilage; ir, infrarostral cartilage; pq, palatoquadrate; sp., suprarostral plate
|
|
Fig. 4
3D-reconstructions based on confocal laser scanning microscopy of specimen stained with antibodies showing the effects of bapx1 upregulation on cranial muscle morphology in Xenopus laevis larvae. Lateral view of the jaw articulation and selected muscles of ZO 17 larvae. a Muscle morphology in a control specimen. b Muscle morphology in a specimen after bapx1 upregulation. The m. levator mandibulae articularis originates more anteriorly on the dorsal surface of the processus muscularis than in control specimens. The m. quadratohyoangularis surrounds the ectopic cartilage without originating from or inserting onto this cartilage. cm, Meckel’s cartilage; ec, ectopic cartilage; lma, M. levator mandibulae articularis; qha, M. quadratohyoangularis
|
|
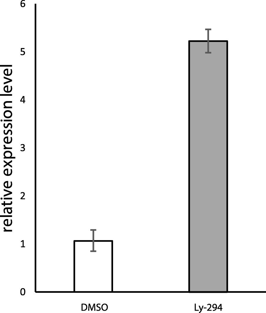
Fig. 5
Effect of Ly-294,002 treatment on bapx1 expression in Xenopus laevis at NF 45. Expression levels were determined through relative quantification (Livak method). Error bars indicate standard deviation of PCR runs (n = 3). DMSO reared specimens show no significant reduction in expression compared to control specimens. Ly-294,002 treated specimens show a ~ 5 times higher expression level of bapx1 in comparison to controls
|
|
Fig. 6
Effect of Ly-294,002 injection into mandibular arch precursors on cartilaginous cranial morphology in X. laevis larvae. 3D-reconstructions based on confocal laser scanning microscopy of a control and b injected specimens at ZO 17 in lateral view. Maximum intensity projections of c control and d injected specimens at ZO 20 stained with monoclonal II6B3-collagen II antibody and Alexa 568 in dorsal view. The reduction of the processus muscularis and the presence of an ectopic cartilage can be observed in injected specimens. ch, ceratohyal; cm, Meckelâs cartilage; ec, ectopic cartilage; pmpq, processus muscularis of the palatoquadrate; pq, palatoquadrate. Scale bar 200 μm
|
|
Fig. 7
Effect of Ly-294,002 treatment on the external and internal morphology of A. mexicanum. Dorsal view of a control and b Ly-294,002 treated specimens reveals no differences in external morphology. Lateral view of 3D-reconstructions based on confocal laser scanning microscopy of c control and d Ly-294,002 treated specimen shows the development of an ectopic cartilage lateral to the jaw articulation in treated specimens. The musculature of e control and f treated specimens are similar and no changes in origination or insertion of muscles can be observed after bapx1 upregulation. cm, Meckel’s cartilage; dm, M. depressor mandibulae; ec, ectopic cartilage; lma, M. levator mandibulae articularis; lme, M. levator mandibulae externus; lml, M. levator mandibulae longus; pq, palatoquadrate. Scale bar 500 μm
|
|
Fig. 8
Overview of the diversity of adrostral cartilages among anurans. Ventral view of the jaw region of selected anuran larvae. a Bombina orientalis shows a typical anuran condition of the jaw region consisting of paired infrarostral cartilages, a plate-like suprarostral cartilage and horizontally oriented Meckel’s cartilages. b In Pelobates fuscus (drawn after Nikitin 1986) two so-called adrostral cartilages can be observed lateral to the paired suprarostral cartilages. c Heliophryne orientalis possesses two additional cartilages in the lower jaw. The submeckelian cartilages lie beneath Meckel’s cartilages and the adrostral cartilages are situated lateral to the suprarostral cartilage. In Ly-294,002-treated Xenopus laevis larvae (d) the ectopic cartilages arise lateral to the palatoquadrate and are free from any muscle insertion or origination similar to P. fuscus and H. orientalis
|