Click here to close
Hello! We notice that you are using Internet Explorer, which is not supported by Xenbase and may cause the site to display incorrectly.
We suggest using a current version of Chrome,
FireFox, or Safari.
PLoS One
2017 Jan 01;1210:e0186444. doi: 10.1371/journal.pone.0186444.
Show Gene links
Show Anatomy links
Targeted Pth4-expressing cell ablation impairs skeletal mineralization in zebrafish.
Suarez-Bregua P
,
Saxena A
,
Bronner ME
,
Rotllant J
.
???displayArticle.abstract???
Skeletal development and mineralization are essential processes driven by the coordinated action of neural signals, circulating molecules and local factors. Our previous studies revealed that the novel neuropeptide Pth4, synthesized by hypothalamic cells, was involved in bone metabolism via phosphate regulation in adult zebrafish. Here, we investigate the role of pth4 during skeletal development using single-cell resolution, two-photon laser ablation of Pth4:eGFP-expressing cells and confocal imaging in vivo. Using a stable transgenic Pth4:eGFP zebrafish line, we identify Pth4:eGFP-expressing cells as post-mitotic neurons. After targeted ablation of eGFP-expressing cells in the hypothalamus, the experimental larvae exhibited impaired mineralization of the craniofacial bones whereas cartilage development was normal. In addition to a decrease in pth4 transcript levels, we noted altered expression of phex and entpd5, genes associated with phosphate homeostasis and mineralization, as well as a delay in the expression of osteoblast differentiation markers such as sp7 and sparc. Taken together, these results suggest that Pth4-expressing hypothalamic neurons participate in the regulation of bone metabolism, possibly through regulating phosphate balance during zebrafish development.
???displayArticle.pubmedLink???
29040309
???displayArticle.pmcLink???PMC5645135 ???displayArticle.link???PLoS One ???displayArticle.grants???[+]
Fig 1. Stable transgenic Pth4:eGFP zebrafish line shows eGFP-expressing cells through development.Whole mount confocal imaging showing eGFP-expressing cells and axonal projections at 1, 3 and 7 dpf (A, B and C). Confocal z-stack projection showing two clusters of Pth4:eGFP-expressing cells on the lateral hypothalamus in a ventral view (D, E and F) or dorsal view (G). The total number of eGFP cells was measured by analyzing each 2μm thick z-plane slice from the full confocal z-stack projection in each stage of development: (D) 14±2 eGFP cells at 1dpf, (E) 22±2 eGFP cells at 2dpf, (F) 29±2 and (G) 33±1 eGFP cells at 3 and 7dpf, respectively). Note that the number of cells increases over time and axonal projections become more abundant and branched (B, G). Two groups of Pth4:eGFP-expressing cells move gradually from a caudo-ventral to a more rostro-dorsal position. Abbreviation: e, eye; hy, hypothalamus; m, midbrain; sc, spinal cord. Scale bars: 100 μm (A-C) 50 μm (D-G).
Fig 2. Zebrafish Pth4:eGFP-expressing cells are post-mitotic neurons.Double inmunostaining in Pth4:eGFP transgenic embryos using anti-eGFP antibody (A and B) and anti-HuC/D antibody (A´and B´) shows complete co-localization at 1 and 2 dpf (A´´ and B´´). Ventral views with anterior to the top. Pth4:eGFP: green; HuC/D: red; nuclear stain: blue. Abbreviation: e, eye. Scale bar: 50 μm.
Fig 3. Two-photon laser ablation of Pth4:eGFP-expressing cells at 1 dpf and 2 dpf.Before ablation 1 and 2, Pth4:eGFP+/Bactin2:H2A-mCherry+ transgenic embryo shows two bilateral clusters of neurons in the hypothalamic area (A and D). After several rounds of ablation the eGFP-expressing cells are completely eliminated (B and E). Ablation processes example (C-C´´and F-F´´): (C and F) arrows indicate eGFP-expressing cells chosen for ablation; nuclear region of interest for targeted elimination of Pth4:eGFP neurons is defined by circles, based on red fluorescence from nuclear marker Bactin2 (C´ and F´); immediately after ablation Pth4:eGFP neurons are eliminated (marked by arrows in C´´ and F´´). Note that the untargeted cells around the eGFP-expressing cells ablated are intact (C´´ and F´´). A confocal z-stack projection (A, B, D and E) or single 2 μm thick z-plane slice (C-C´´ and F-F´´) are shown. Scales bars: 50 μm (A, B, D and E); 15 μm (C-C´´ and F-F´´).
Fig 4. Illustration showing the development of the two clusters of Pth4:eGFP neurons in control (A-D) and ablated larvae (E-H) from 1 to 7 dpf.After first and second round of ablation, 1 and 2 (at 1 and 2 dpf, respectively) the eGFP-expressing cells are totally eliminated (E and F); at 3 dpf and 7 dpf a low number of Pth4:eGFP-expressing neurons recover (G-H), but there remains significantly decreased pth4 gene expression (***p< 0.001) in 7 dpf ablated larvae (I). Results normalized to actb1 are expressed as mean ± SEM. Confocal z-stack projections are shown. Abbreviation: e, eye. Scales bars: 50 μm.
Fig 5. Ablated larvae exhibit impaired mineralization of the craniofacial skeleton but normal cartilage development.Skeletal staining in 7 dpf control larvae (A and C) shows calcification of the craniofacial bones unlike ablated larvae (B and D) with a widely non-mineralized skeleton except an incipient mineral deposit on teeth. Lateral views (A and B) and ventral views (C and D). Abbreviations: ps, parasphenoid; nt, notochord tip; op, operculum; ot, otolith; cb5, ceratobranchial arch 5; t, teeth; cl, cleithrum. Scale bars: 100 μm.
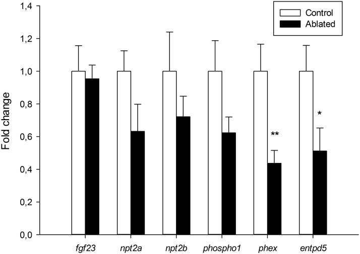
Fig 6. Mineralization and phosphate metabolism markers are altered post-ablation.qRT-PCR on 7 dpf larvae shows significant down-regulation of phex (**p<0.025) and entpd5 (*p<0.05) expression in ablated larvae (black bars) compared with controls (white bars). Results normalized to actb1 are expressed as mean ± SEM.
Fig 7. Whole mount in situ hybridization shows the gene expression pattern of osteoblast differentiation markers at 3 dpf in control (A, C and E) and ablated larvae (B, D and F) from lateral view.Expression of sp7 is detected in operculum, cleithrum, teeth and parasphenoid (A). Note the absence of expression in cleithrum and operculum in ablated larvae (B). runx2b and dlx2b display the same expression pattern before ablation (C, E) and after ablation (D, F). Quantitative RT-PCR analysis of early (runx2b), intermediate (sp7) and late (sparc) stage markers of osteoblast differentiation in 7 dpf ablated (black bars) and control larvae (white bars) (G). Results show significant down-regulation of sparc gene expression (*p <0.05) when compared with controls. Results normalized to actb1 are expressed as mean ± SEM. Abbreviations: ps, parasphenoid; op, operculum; cb5, ceratobranchial arch 5; t, teeth; cl, cleithrum. Scale bars: 100 μm.
Bajayo,
Skeletal parasympathetic innervation communicates central IL-1 signals regulating bone mass accrual.
2012, Pubmed
Bajayo,
Skeletal parasympathetic innervation communicates central IL-1 signals regulating bone mass accrual.
2012,
Pubmed
Blair,
The developmental basis of skeletal cell differentiation and the molecular basis of major skeletal defects.
2008,
Pubmed
Bonjour,
Calcium and phosphate: a duet of ions playing for bone health.
2011,
Pubmed
Driessler,
Hypothalamic regulation of bone.
2010,
Pubmed
Elefteriou,
Regulation of bone remodeling by the central and peripheral nervous system.
2008,
Pubmed
Flores,
A hierarchy of Runx transcription factors modulate the onset of chondrogenesis in craniofacial endochondral bones in zebrafish.
2006,
Pubmed
Huitema,
Entpd5 is essential for skeletal mineralization and regulates phosphate homeostasis in zebrafish.
2012,
Pubmed
Ichikawa,
A Phex mutation in a murine model of X-linked hypophosphatemia alters phosphate responsiveness of bone cells.
2012,
Pubmed
Jackman,
Fgf signaling is required for zebrafish tooth development.
2004,
Pubmed
Javed,
Genetic and transcriptional control of bone formation.
2010,
Pubmed
Kiela,
Recent advances in the renal-skeletal-gut axis that controls phosphate homeostasis.
2009,
Pubmed
Kim,
Zebrafish elav/HuC homologue as a very early neuronal marker.
1996,
Pubmed
Kimmel,
Stages of embryonic development of the zebrafish.
1995,
Pubmed
,
Xenbase
Komori,
Targeted disruption of Cbfa1 results in a complete lack of bone formation owing to maturational arrest of osteoblasts.
1997,
Pubmed
Kronenberg,
PTHrP and skeletal development.
2006,
Pubmed
Kular,
An overview of the regulation of bone remodelling at the cellular level.
2012,
Pubmed
Lavi-Moshayoff,
PTH increases FGF23 gene expression and mediates the high-FGF23 levels of experimental kidney failure: a bone parathyroid feedback loop.
2010,
Pubmed
Li,
Tracking gene expression during zebrafish osteoblast differentiation.
2009,
Pubmed
Martin,
Regulation and function of the FGF23/klotho endocrine pathways.
2012,
Pubmed
Matsubara,
BMP2 regulates Osterix through Msx2 and Runx2 during osteoblast differentiation.
2008,
Pubmed
Nishio,
Runx2-mediated regulation of the zinc finger Osterix/Sp7 gene.
2006,
Pubmed
NULL,
A gene (PEX) with homologies to endopeptidases is mutated in patients with X-linked hypophosphatemic rickets. The HYP Consortium.
1995,
Pubmed
Pfaffl,
A new mathematical model for relative quantification in real-time RT-PCR.
2001,
Pubmed
Potts,
Parathyroid hormone: past and present.
2005,
Pubmed
Quiros-Gonzalez,
Central genes, pathways and modules that regulate bone mass.
2014,
Pubmed
Razzaque,
Osteo-renal regulation of systemic phosphate metabolism.
2011,
Pubmed
Redruello,
Isolation and characterization of piscine osteonectin and downregulation of its expression by PTH-related protein.
2005,
Pubmed
Rotllant,
Sparc (Osteonectin) functions in morphogenesis of the pharyngeal skeleton and inner ear.
2008,
Pubmed
Rowe,
The wrickkened pathways of FGF23, MEPE and PHEX.
2004,
Pubmed
Rowe,
Regulation of bone-renal mineral and energy metabolism: the PHEX, FGF23, DMP1, MEPE ASARM pathway.
2012,
Pubmed
Ruchon,
Pex mRNA is localized in developing mouse osteoblasts and odontoblasts.
1998,
Pubmed
Sabbagh,
Intestinal npt2b plays a major role in phosphate absorption and homeostasis.
2009,
Pubmed
Saxena,
Sox10-dependent neural crest origin of olfactory microvillous neurons in zebrafish.
2013,
Pubmed
Schmidt,
Neurogenesis in zebrafish - from embryo to adult.
2013,
Pubmed
Suarez-Bregua,
Pth4, an ancient parathyroid hormone lost in eutherian mammals, reveals a new brain-to-bone signaling pathway.
2017,
Pubmed
,
Xenbase
Terkeltaub,
Inorganic pyrophosphate generation and disposition in pathophysiology.
2001,
Pubmed
Yadav,
Loss of skeletal mineralization by the simultaneous ablation of PHOSPHO1 and alkaline phosphatase function: a unified model of the mechanisms of initiation of skeletal calcification.
2011,
Pubmed
Yan,
Duplicated zebrafish co-orthologs of parathyroid hormone-related peptide (PTHrP, Pthlh) play different roles in craniofacial skeletogenesis.
2012,
Pubmed