|
Fig. 1. Early stomach undergoes leftward expansion. The rotation model (A) posits that the embryonic stomach (shown in ventral views and cross-sections at successive stages) rotates around its longitudinal axis, shifting its dorsal face leftward. An alternative model (B) theorizes that the left wall expands more than the right. Sections of E10.5, E11 and E11.5 mouse embryos (C) or stage 34, 37 and 39 frog embryos (E) reveal the leftward expansion of the early stomach. The left/ right ratio of the lengths of the stomach walls becomes significantly greater than 1 in mouse by E11 (D) and in frog by stage 39 (F); *P<0.05. Sections in C and E are false-colored to match diagrams in A and B, highlighting layers of the stomach: right mesoderm, pink; right endoderm, teal; left endoderm, blue; left mesoderm, gold. In all sections, dorsal is upwards and the left side of animal is on right side of image. D, dorsal; V, ventral; L, left; R, right. Scale bars: 500 μm in C (E11.5, 150 μm); 75 μM in E.
|
|
Fig. 2. Asymmetries in tissue architecture are regulated by left-right patterning. Sections through mouse (A-D) or frog (I-L) stomachs were stained for β-catenin (A-D) or integrin (I-L) (green) and false color-coded as in Fig. 1 (RE, right endoderm; LE, left endoderm; RM, right mesoderm; LM, left mesoderm). The widths of the endoderm (Endo) and mesoderm (Meso) are significantly different by E10.5-11 in mouse (E,F) and stage 39 in frog (M,N). In Foxj1+/â controls (E11.5), the lumen expands leftward and left-right differences in tissue width are evident (B); however, in Foxj1â/â mutants, the normal leftward expansion of the stomach is perturbed (C,D), and left-right differences in tissue width are eliminated (G,H). Likewise, frog embryos exposed to DMSO show normal leftward expansion of the stomach lumen (K); this is eliminated in embryos exposed to a Nodal inhibitor (SB505124; L), as are normal left-right differences in widths of endoderm and mesoderm (O,P). Nuclear staining reveals asymmetry in the number of endoderm cell layers in the right (teal) versus left (blue) stomach walls by E11.5 in mouse (Q,R) and stage 39 in frog (S,T); this asymmetry is perturbed in Foxj1â/â mutants (Q,R) and in frog embryos exposed to SB505124 (S,T). Scale
bars: 100 μm in A-D,Q; 75 μm in I-L,S. *P<0.01; NS, not significant.
|
|
Fig. 3. Asymmetries in stomach epithelial polarity are regulated by left-right signaling. Stomach sections immunostained for α-tubulin (αtub, red) and
β-catenin (β-cat, green) in the E11.5 mouse (A-I), or Par3 (red) and E-cadherin (Ecad, green) in the stage 39 frog (J-O), reveal left-right differences in endoderm
morphogenesis. In the posterior stomach of Foxj1+/â mice, right endoderm is irregular, whereas left endoderm is more organized (D) and highly polarized,
as indicated by tight apical concentration of α-tubulin (αtub, red; arrowhead, G). Both walls of Foxj1â/â mutant embryo [Foxj1â/â(1), B,E,H], comprise polarized
cells with tight apical concentration of αtub (arrowheads, H); both sides resemble control left epithelium. In another mutant [Foxj1â/â(2), C,F,I] both sides are
irregular and resemble control right epithelium, although sub-regions exhibit greater organization and polarity (arrowhead, I). In control (DMSO) frog embryos
(J,L,N), left endoderm is more polarized than right, as indicated by enrichment of E-cadherin (Ecad; green) at apical adherens junctions (arrows, L), and
the concentration of the apical polarity marker Par3 at the lumenal surface (red; arrowheads, N). By contrast, SB505124 (K,M,O) results in right isomerism, with
left endoderm resembling right endoderm, as indicated by absence of apical enrichment of E-cadherin (M) and Par3 (O). L, left; R, right. Scale bars: 100 μmin
A-C; 50 μm in D-K; 25 μm in L-O. (See Fig. S4 for higher magnification images.)
|
|
Fig. 4. Pitx2c controls epithelial morphogenesis in left stomach wall. Frog embryos were injected with control
morpholino (control-MO; A,E,I,M,Q) or Pitx2c-MO (B,F,J,N,R) targeted to the left side of the stomach, or injected with Pitx2c- GR mRNA (C,G,K,O,S and D,H,L,P,T) targeted to the right side. (See Fig. S6A,B for morpholino validation.) In injected
embryos (A-D), the greater curvature of the stomach at stage 42 is indicated by an arrowhead (A,C); absence of curvature is
specified by an asterisk (B,D). Sections through stage 39 stomachs (E-T) were stained for β-catenin (βcat; red; E-L),
α-tubulin (αtub; green; M-P) or atypical PKC (aPKC; red; Q-T). GFP mRNA was coinjected as a lineage tracer to confirm proper targeting (green; E-H). MO depletion on the left (F) or ectopic activity of Pitx2 on the right (H) results in a loss of asymmetry
within the stomach compared with controls (E,G, respectively). In addition, compared with control-MO injected embryos, in which αtub and aPKC are concentrated at the apical surface of the left stomach wall (arrowheads in M,Q, respectively), MO
depletion of Pitx2c disrupts epithelial architecture (brackets in J,N,R). Meanwhile, dexamethasone induction of Pitx2c activity in the right wall polarizes stomach endoderm, as indicated by ectopic regions of polarized epithelial architecture (arrowheads in L,P,T), correlating with ectopic αtub (P) and aPKC (T), which are not observed in right wall of uninduced controls (K,O,S). Scale bars: 500 μm in A-D; 75 μm in E-H; 50 μm in I-T. L, left; R, right.
|
|
Figure S1. The normal left/right ratio of the lengths of the stomach walls is eliminated in E11.5 FoxJ1-/-
mouse stomachs (* denotes p<0.01).
|
|
Figure S2. SB505124 exposure inhibits stomach curvature. Stage 19/20 frog embryos were exposed to
DMSO (A) or 5uM SB505124 (B) through stage 42. C) The normal left/right (L/R) ratio of the lengths of the
stomach walls is eliminated in SB505124-dosed embryos (* denotes p<0.01). The graph (D) indicates the
percentage of embryos in which the greater curvature of the stomach is normal (e.g., arrowhead in A) or
reduced/absent (* in B).
|
|
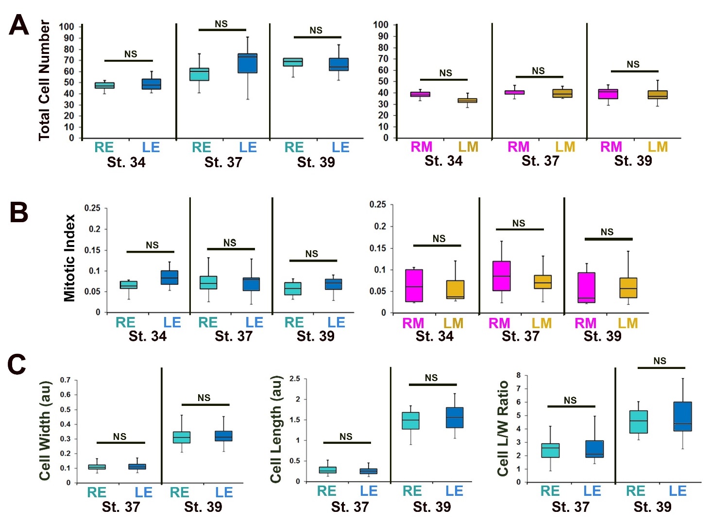
Figure S3. Morphometric comparison of cell properties in the left and right stomach walls. Sections of
the developing stomach were immunohistochemically stained to reveal cell outlines or mitotic nuclei, and the
indicated features were counted and/or measured at St. 34, 37 and 39, using at least 3 sections from each of 3
different embryos. At no stage are the total number of cells (A) or mitotic indices (B; number of pHH3+
cells/number of total cells) statistically different between the left and right sides. Likewise, there is no statistical
difference in endoderm cell width, length or length/width (L/W) ratio between sides during curvature formation
(C). RE, right endoderm; LE, left endoderm; RM, right mesoderm; LM, left mesoderm
|
|
Figure S4. Markers of apicobasal polarity become left-right asymmetric in the developing stomach. The
intensity of several markers of apical polarity, including aPKC, Par3, E-cadherin (E-cad), alpha-tubulin (a-tub) and
gamma-tubulin (g-tub) were measured at the left and right surfaces of the frog stomach lumen at the indicated stages using image J (A). The level of apical enrichment is represented as a ratio of left and right intensities measured
in at least 3 sections of 3-5 different embryos. The left/right (L/R) ratios of all apical markers become
significantly different by stage 39, while the L/R ratios of Beta-catenin (B-cat) and integrin are not significantly >1.
B-J) High magnification images of sections through the Stage 39 stomach stained forB-catenin B-cat; red; BD),
alpha-tubulin (atub; green; E-G), or atypical PKC (aPKC; red; H-J). Compared to control embryos (B, E, H),
in which a-tub and aPKC are concentrated at the apical surface of the left stomach wall (arrowheads in E, H,
respectively), MO depletion of Pitx2c (C, F, I) disrupts epithelial architecture (arrows in I). Meanwhile,
dexamethasone-induction of Pitx2c activity (D, G, J) in the right wall ectopically polarizes the stomach
endoderm, as indicated by ectopic regions of polarized epithelial architecture, correlating with enriched ï¡tub
and ectopic aPKC at the apical surface (arrows in G, J). Scalebars = 25uM. Left (L), Right (R).
|
|
Figure S5. CRISPR-Cas9 mediated editing of pitx2c gene perturbs stomach asymmetry. Xenopus embryos
were injected with 2 ng synthetic Cas9 mRNA plus 300 pg control tyrosinase (tyr) gRNA (A) or pitx2c gRNA
(B), and allowed to develop until stage 42. The graph (C) indicates the percentage of embryos in which the
greater curvature of the stomach is normal (arrowhead in A) or reduced/absent (* in B) after injection with the
tyr gRNA or two different pitx2c gRNAs (#1 and #2). D) Genomic DNA from 10 embryos injected with each
gRNA was pooled and PCR amplified using exon 1-specific primers, and then tested for CRISPR/Cas9-induced
mutations by T7 endonuclease I assay. The asterisk (*) indicates the 500 bp amplicon not cut in un-injected or
tyr gRNA-injected control embryos. Arrowheads indicate bands resulting from mismatches (inferred mutations)
in amplicons cleaved by T7 endonuclease I. E) Sequencing of a subset of individual clones validates the
presence of deleterious mutations in pitx2c gRNA injected embryos. For pitx2c gRNA #1, 9/17 mutations were
likely nulls and 3/17 were predicted to result in compromised function; for pitx2c gRNA #2: 2/18 mutations
were likely nulls and 4/17 were likely to result in compromised function. F-N) Sections through stomachs of
Cas9 control and pitx2c gRNA (#1) injected embryos (Stage 39) were stained for integrin (green) and false
color-coded as in Fig. 1 to highlight the relevant tissue layers (RE, right endoderm; LE, left endoderm; RM,
right mesoderm; LM, left mesoderm). Controls show normal asymmetric expansion of the left stomach wall
(F), but this is eliminated in embryos injected with pitx2c gRNA (G-H). Normal asymmetries in the lengths of
the left and right stomach walls (I), and the widths of the endoderm (Endo) and mesoderm (Meso) layers (J-K),
are also significantly perturbed by CRISPR-Cas editing of pitx2c; * denotes p<0.01. Compared to controls (L),
left endoderm tissue architecture is severely disrupted, and apicobasal polarity is reduced (M), and/or
disorganized (N) in embryos with CRISPR-mediated mutations in pitx2c; arrowheads indicate the expression of
the apical marker aPKC (red). Scalebars= 100 ïM.
|
|
Figure S6. Specificity and efficacy of the pitx2c MO. A) Xenopus embryos (8-cell stage) were injected with 8
ng Control or pitx2c MO plus 200pg RFP mRNA and GFP mRNA (fused with pitx2c 5â UTR MO target site),
and cultured until stage 20. Effective translation, indicated by GFP fluorescence, is visible in embryos injected
with Control MO, but not with Pitx2c MO; RFP (which does not contain the pitx2c 5â UTR sequence) levels
remain unaffected. B) Western blot confirms drastic reduction of GFP protein levels in embryonic extracts
from pitx2c-MO- but not Control-MO-injected embryos. GAPDH, loading control. C) The graph indicates the
frequency (percentage) of embryos in which the greater curvature of the stomach is normal or reduced/absent
when Control MO or pitx2c-MO (#1) is targeted to either the left or right side. A second, independent MO
(pitx2c MO #2) confirmed the result. While injection of Control MO has no effect on the relative thickness of
the left endoderm (D) or mesoderm (E), pitx2c-MO-injected tissues are similar in thickness to the normal (nonpitx2c-
expressing) right tissues (i.e., not significantly different, NS). F) The L/R ratio of endoderm cell layers is
significantly increased in pitx2c-MO-injected stomachs, compared to Control-MO. * denotes p<0.01
|
|
Figure S7. Reciprocal endoderm-mesoderm interactions affect morphogenesis of the left stomach wall.
Frog embryos were injected with GFP mRNA and either control morpholino (Co-MO; A) or pitx2c-MO (B-D),
targeted to the left side of the stomach. Top panels: sections through the stomach were stained for ï¢-catenin
(ï¢cat; red) and GFP (green). Bottom panels: the same sections were false color-coded as in Fig. 1(b) to
highlight the relevant tissue layers (RE, right endoderm; LE, left endoderm; RM, right mesoderm; LM, left
mesoderm). In the embryo shown in A, Control-MO is distributed throughout the LE and LM of the left
stomach wall, which exhibits normal left side tissue architecture. In the embryo shown in B, pitx2c-MO is
distributed throughout the LE and LM, and both tissue layers are abnormally thickened and/or disorganized. In
C, pitx2c-MO is present predominately in the LE, with minimal contribution to the LM; yet, both the LE and
LM are abnormal. Likewise, in D, pitx2c-MO is present only in the LM, with minimal contribution to LE, but
both LE and LM are abnormal.
|