XB-ART-52783
Elife
2016 Jan 28;5. doi: 10.7554/eLife.16118.
Show Gene links
Show Anatomy links
Stochasticity in the miR-9/Hes1 oscillatory network can account for clonal heterogeneity in the timing of differentiation.
Phillips NE
,
Manning CS
,
Pettini T
,
Biga V
,
Marinopoulou E
,
Stanley P
,
Boyd J
,
Bagnall J
,
Paszek P
,
Spiller DG
,
White MR
,
Goodfellow M
,
Galla T
,
Rattray M
,
Papalopulu N
.
???displayArticle.abstract???
Recent studies suggest that cells make stochastic choices with respect to differentiation or division. However, the molecular mechanism underlying such stochasticity is unknown. We previously proposed that the timing of vertebrate neuronal differentiation is regulated by molecular oscillations of a transcriptional repressor, HES1, tuned by a post-transcriptional repressor, miR-9. Here, we computationally model the effects of intrinsic noise on the Hes1/miR-9 oscillator as a consequence of low molecular numbers of interacting species, determined experimentally. We report that increased stochasticity spreads the timing of differentiation in a population, such that initially equivalent cells differentiate over a period of time. Surprisingly, inherent stochasticity also increases the robustness of the progenitor state and lessens the impact of unequal, random distribution of molecules at cell division on the temporal spread of differentiation at the population level. This advantageous use of biological noise contrasts with the view that noise needs to be counteracted.
???displayArticle.pubmedLink??? 27700985
???displayArticle.pmcLink??? PMC5050025
???displayArticle.link??? Elife
???displayArticle.grants??? [+]
Species referenced: Xenopus
Genes referenced: hes1 kit mapt ubc
???attribute.lit??? ???displayArticles.show???
|
|
Figure 1. Absolute quantification of mRNA copy number and active transcription sites. (A) Schematic showing the mouse Hes1 primary transcript, with 29 smFISH probes targeting exonic sequence (red) and 38 smFISH probes targeting intronic sequence (blue). (B) smFISH for Hes1 mRNA (white) in C17.2 cells; nuclei are stained with DAPI (blue). (C) Quantification of Hes1 mRNA number in C17.2 cells (n=103). (D) smFISH for Hes1 mRNA (white) in Tau-GFP NS cells; nuclei are stained with DAPI (blue), and GFP protein is stained with rabbit anti-GFP > anti-rabbit Alexa Fluor 488 (green). The field contains one GFP positive cell, as determined by GFP immunofluorescence intensity analysis (Figure 1âfigure supplement 3). (E) Quantification of Hes1 mRNA number in GFP negative NS cells (n=253). (F) Quantification of Hes1 mRNA number in GFP positive neuronal differentiated NS cells (n=49). (G, H) Double smFISH for Hes1 mRNA (G) and Hes1 intron (H) in the same Tau-GFP NS cells; arrow indicates an active transcription site, marked by colocalised exonic and intronic Hes1 smFISH signals in the nucleus. (I, J) Quantification of Hes1 active transcription sites in GFP negative NS cells (I, n=253) and in GFP positive neuronal differentiated NS cells (J, n=49). Source data contained in Figure 1âsource data 1. |
|
|
Figure 2. Quantifying HES1 protein number with FCS. Schematic and image of stably infected NS-E cells containing (A) UbC-VENUS:HES1 reporter construct and (B) 2.7 kb-Hes1pr-VENUS:HES1 reporter construct. VENUS:HES1 signal in yellow. Scale bars show 30 μm. (C) HES1 western blot with LAMIN B1 loading control. Nuclear lysates of NS-E cells stably infected with UbC-VENUS:HES1 or control NS-E cells. Both cell-lines treated with DMSO or 10 μM MG132 proteasome inhibitor for 3âhr. MG132 treated cells show increased HES1 and VENUS:HES1. (D) FCS quantification of VENUS:HES1 molecules per nucleus in stable UbC-VENUS:HES1 and 2.7 kb-Hes1pr-VENUS:HES1 reporter NS-E cell-lines. 236 cells (mean 3660 ± 120 (S.E.M) molecules) and 98 cells (mean 2450 ± 190 (S.E.M) molecules) were analysed in 4 and 2 experiments respectively. Error bars show S.D. FCS data and Western blots at different exposures are contained in Figure 2âsource data 1. |
|
|
Figure 3. Stochastic simulations of HES1 oscillations match the experimental data better. (A) Time series of LUC2:HES1 reporter protein expression in a single primary NS cell determined by bioluminescence imaging. (B) Deterministic simulation of Hes1/miR-9 network at a single-cell level, plot shows HES1 protein concentration as a function of time. (C) Stochastic simulation of Hes1/miR-9 network with the dSSA at a single cell level. (D) q-PCR quantification of endogenous Hes1 mRNA in C17.2 cells at the population level following serum synchronization. Error bars show S.E.M of 2 technical replicates of 2 biological experiments. (E) Population level deterministic simulation of Hes1/miR-9 network through averaging 2000 single-cells, with Hes1 mRNA shown as a function of time. (F) Population level stochastic simulation of Hes1/miR-9 network with the dSSA and averaging over 2000 cells, with Hes1 mRNA shown as a function of time. All simulations performed with parameter set 1 (Appendix 1âtable 1) with system size Ï = 1 and initial conditions m(0) = p(0) = r(0) = 0. Note that the computational simulations are less damped than the experimental data, presumably because other sources of variability in experimental data lead to greater damping. MATLAB code and experimental data contained in Figure 3âsource data1. |
|
|
Figure 4. The distribution of time-to-differentiation widens at low system sizes. (A, D, G) Examples of stochastic simulations using the dSSA at Ï=50, 5 and 1, respectively. Blue, mRNA; green, protein; red, miR-9. (B, E, H) The distribution of times to reach the low HES1 protein state of 2000 simulations using the dSSA. (C, F, I) The distribution of times to reach the low HES1 protein state of 2000 simulations using the CLE. Note that even at low system size, the CLE is in excellent agreement with the Gillespie dSSA, which is consistent with previous studies showing that the CLE can be highly accurate when reactions only involve the creation or degradation of one species and act to either increase or decrease the molecule number by one (Grima et al., 2011) and confirms the results. All simulations performed with parameter set 2 (Appendix 1âtable 1) and initial conditions m(0) = 20xÏ, p(0) = 400xÏ and r(0) = 0. MATLAB code contained in Figure 4âsource data 1. |
|
|
Figure 5. Stochasticity causes systematic changes to the mean time-to-differentiation. The time course of HES1 protein and miR-9 expression, compared with the production of miR-9 at a system size of (A) Ï=5 or (B) Ï=1 and simulated with the CLE. Green, protein; red, miR-9; blue, production of miR-9. All simulations performed with parameter set 2 (Appendix 1âtable 1) and initial conditions m(0) = 20xÏ, p(0) = 400xÏ and r(0) = 0. (C) The distribution of time to reach the low HES1 protein state when p1 = 700, αr = 0.25. Black, Ï=50; red, Ï=5, blue, Ï = 1. Note that here differentiation is defined to reach a miR-9 high state (r>170), as the transition to the low protein state is much less well defined. MATLAB code contained in Figure 5âsource data 1. |
|
|
Figure 6. The spread of time-to-differentiation decreases in both the computational model and experiments with increased initial miR-9. (A, B, C) The distribution of times to reach the low HES1 state of 3000 simulations using initial conditions of miR-9 r(0) = 0, 40 and 80, respectively. The initial conditions of mRNA and protein were m(0) = 20xÏ, p(0) = 400xÏ. All simulations performed with parameter set 2 (Appendix 1âtable 1) with system size Ï = 1 and using the CLE. (D, E, F) Newly differentiated Tuj1 positive C17.2 cells compared to previous time point as a percentage of the population. Cells were transfected with 100 nM control mimic or 50 nM and 100 nM miR-9 mimic, respectively. Cells were cultured in serum-free differentiation conditions for the time shown. 5 images analysed per condition in at least 2 experiments. MATLAB code and experimental data contained in Figure 6âsource data 1. |
|
|
Figure 7. Stochasticity increases the parameter space where HES1 oscillates. (A) The areas of HES1 protein oscillations in the deterministic system, as a function of translation repression Hill co-efficient (m1) and translation repression threshold (r1). (B) The areas of HES1 protein oscillations in the stochastic system at the steady state as calculated by the LNA. The colour scale represents the coherence of the stochastic oscillations. (C, E, G) Deterministic simulations of the system for point 1 (m1 = 3.5, r1 = 900), point 2 (m1 = 3.5, r1 = 600) and point 3 (m1 = 1.5, r1 = 600), respectively. Green, Protein; red, miR-9. (D, F, H) Stochastic simulations (dSSA) of the system for point 1 (m1 = 3.5, r1 = 900), point 2 (m1 = 3.5, r1 = 600) and point 3 (m1 = 1.5, r1 = 600), respectively. All simulations performed with parameter set 1 (Appendix 1âtable 1) and initial conditions m(0) = 20xÏ, p(0) = 400xÏ and r(0) = 0. MATLAB code contained in Figure 4âsource data 1. |
|
|
Figure 8. Hes1 mRNA is inherited unequally at cell division. (A, B, C) smFISH with an exonic Hes1 probe showing asymmetry in Hes1 mRNA number (white) between sister NS cells, just prior to their complete separation at cytokinesis. Aurora-B kinase antibody staining (red) marks the midbody at cytokinesis; nuclei are DAPI stained (blue). (D) Quantification of Hes1 mRNA to cell area ratios between sister cells from 51 NS cell divisions at cytokinesis, from one experiment. Dark blue area represents the 90% confidence bounds that the ratios are drawn from a binomial distribution, where the average amount of mRNA received by each cell is normalised to the relative cell areas. Light blue represents multiple testing Bonferroni corrected 90% confidence bounds that the ratios are drawn from a binomial distribution. mRNA count data contained in Figure 8âsource data 1. |
|
|
Figure 9. Stochastic system is robust to the binomial distribution of constituents at cell division. (A) Schematic to show the difference between symmetric and asymmetric division. (B) The distribution of time to reach the low HES1 state with 50/50 initial conditions using deterministic dynamics as system size of Ï = 50, 1 and 0.2, respectively. (C) The distribution of times to reach the low HES1 state of 3000 simulations with binomial initial conditions using deterministic dynamics at system size of Ï = 50, 1 and 0.2, respectively. (D) The distribution of times to reach the low HES1 state of 3000 simulations with 50/50 initial conditions using the CLE at system size of Ï = 50, 1 and 0.2, respectively. (E) The distribution of times to reach the low HES1 state of 3000 simulations with binomial initial conditions using the CLE at system size of Ï = 50, 1 and 0.2, respectively. All simulations performed with parameter set 2 (Appendix 1âtable 1) and initial conditions m(0) = 20xÏ, p(0) = 400xÏ and r(0) = 0. The standard deviation of the distribution is denoted with Ï. In the simulations shown, parent cells were simulated deterministically for 12âhr prior to 'division' however, the distributions remained statistically the same (p-value>0.05) when either 11 or 13âhr deterministic simulations prior to division were used (data not shown). MATLAB code contained in Figure 9âsource data 1. |
|
|
Figure 1—figure supplement 1. Quantification of miR-9 sensor activity in neural progenitor cells versus Tuj1 positive neurons. Intensity of Ds-Red-miR-9 sensor (40 cells analysed) or Ds-Red-control sensor (20 cells analysed) relative to intensity of constitutive eGFP in Tuj1 positive (differentiated) or Tuj1 negative (progenitors) C17.2 cells. miR-9 sensor contains miR-9 binding sites and shows reduced expression in high miR-9 activity conditions, therefore low Red:Green ratio indicates high miR-9 activity. Significance tested with Kruskal-Wallis test with Dunn’s multiple comparison correction. 5 images analysed per condition in 2 biological replicates. Error bars show S.E.M. Source data contained in Figure 1—source data 2. |
|
|
Figure 1—figure supplement 2. Validation of smFISH accuracy. (A) To test the reliability of smFISH for accurate single-cell RNA quantification, we analysed spot number detected by two interleaved smFISH probe sets (each comprising 28 x 20 nt probes), targeting luciferase RNAs expressed from a 2.7 kb-Hes1pr-UbLUC:HES1–Hes1 3’UTR construct stably transfected into C17.2 cells (generated in Goodfellow et al. [Goodfellow et al., 2014]). (B) Luciferase Quasar 570 and Quasar 670 smFISH probes simultaneously hybridized to luciferase RNAs in a C17.2 cell. (C) Zoom panel of the region highlighted in B, showing colocalisation of smFISH spots detected with each probe set; there is a slight chromatic shift between channels. (D) smFISH spots detected by each probe set were quantified in 24 cells using the 'analyze spots' function in Imaris. Linear regression analysis confirmed strong agreement in the RNA number detected by each probe set (slope = 0.95 ± 0.03, R2 = 0.98). (E) To test that the probe sets detected the same RNAs, colocalisation of detected spots was analysed between the two channels. A correction was applied in x, y and z to account for the chromatic shift between channels, then the Imaris XTension 'Spots Colocalize' was performed using a distance of 0.5 μM. This returned 92.5% colocalisation of Quasar 570 spots with Quasar 670 spots, and 88.0% colocalisation of Quasar 670 spots with Quasar 570. smFISH count data contained in Figure 1—source data 3. |
|
|
Figure 1âfigure supplement 3. Quantification of GFP signal intensity in Tau-GFP NS cells. Following smFISH in Tau-GFP NS cells, GFP protein was detected using anti-GFP primary (Life Technologies A11122) and goat anti-rabbit Alexa Fluor 488 secondary antibody (Life Technologies A11008). Z-stacks were sum projected in FIJI, nuclei manually segmented, and mean signal intensity (sum intensity/segmented area) measured. Cells with mean GFP intensity >12000 were classed as GFP positive. (A, B, C) Sample image of a field of Tau-GFP NS cells with DAPI stained nuclei (blue) and immunofluorescent detection of GFP (white). One cell has high mean GFP signal (24555, GFP+ve); other cells show only low signal (â¼4000) that may be due to autofluorescence and/or some non-specific antibody binding. (D) Mean GFP intensity measurements for all GFP-ve and GFP+ve cells analysed for Hes1 smFISH in Figure 1E, F. Source data contained in Figure 1âsource data 4. |
|
|
Figure 1âfigure supplement 4. Method to quantify miR-9 copy number. (A) Diagram showing the process of microRNA reverse transcription (Applied Biosystems TaqMan microRNA Reverse Transcription kit (4366596)) and TaqMan qRT-PCR (TaqMan Fast Advanced master mix reagent (Applied Biosystems 4444557)) using ThermoFisher Scientificâs stem loop primer for mouse miR-9-5p (product 4427975, assay ID 001089). (B) Graphs showing the efficacy of the stem loop primers to reverse transcribe the synthetic mature miR-9 variants as described on miRBase (accession MI0000157, deep sequencing mmu-miR-9-5p accession MIMAT0000142). Only the two longest forms, miR-9 UAUGA and miR-9 UAUG, are reliably reverse transcribed for amplification. This is highlighted by the high R2 values and by all points of the curve residing on the trend line. The third graph is representative of the other 3 truncated forms tested (miR-9 UAU, UA and U) |
|
|
Figure 1—figure supplement 5. Quantification of miR-9 copy number. (A) Graphs showing qPCR standard curves generated from known concentrations of synthetic mature miR-9 (3 biological experiments) and linear regression. (B) Graph showing the number of miR-9 molecules per cell in C17.2 progenitors extrapolated from the synthetic miR-9 standard curve in the equivalent biological experiment. 3 technical replicates per biological experiment were analysed. Error bars show S.D of 10 identical samples per technical replicate. The mean and S.E.M (including all samples) is 1100 ± 20 (S.E.M) molecules per cell. Source data contained in Figure 1—source data 5. |
|
|
Figure 2âfigure supplement 1. Fluorescence Correlation Spectroscopy technique. (A) Time-series of Venus intensity fluctuations recorded in the confocal volume in NS-E UbC-VENUS:HES1 cells. (B) Auto-correlation function of time-series (A) and data fitting with a two-component model with triplet state. |
|
|
Figure 3âfigure supplement 1 Bioluminescence images from a single primary LUC2:HES1 NS cell cultured in proliferative conditions. Corresponds to single-cell LUC2:HES1 time-series data shown in Figure 3A. 16 colours look-up table was used from ImageJ where hot (red) colours show high intensity and cold (blue) colours show low intensity. |
|
|
Figure 3âfigure supplement 2. Multiple single-cell time series of LUC2:HES1 reporter protein expression in primary NS cells determined by bioluminescence imaging. |
|
|
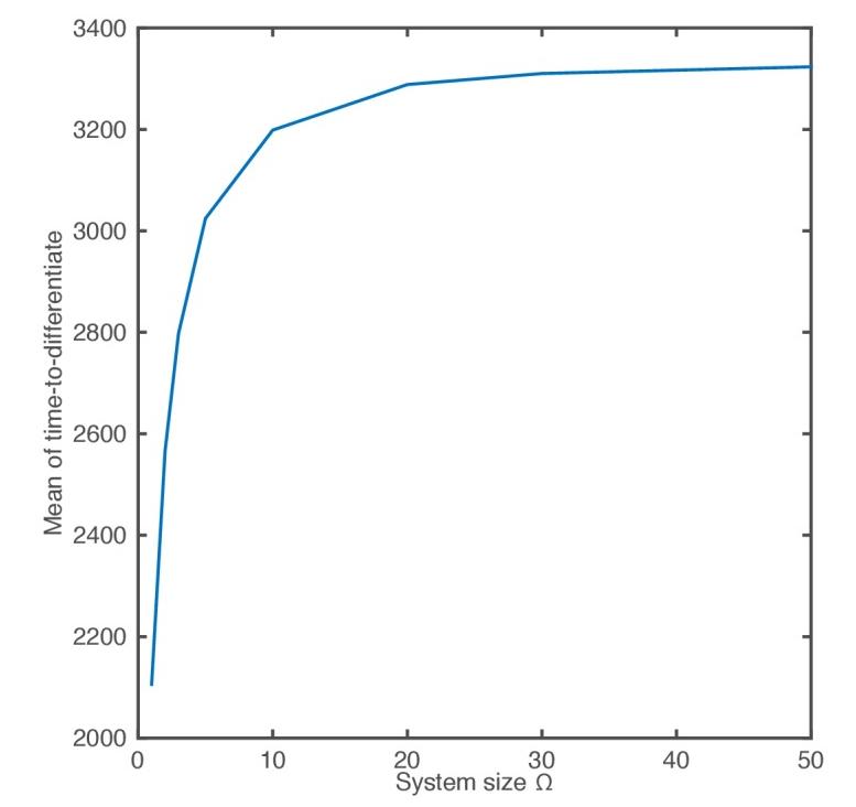
Figure 4—figure supplement 1. The mean of the time-to-differentiate as a function of the system size. |
|
|
Figure 6—figure supplement 1. Increased miR-9 shifts timing of differentiation earlier in C17.2 neural progenitor cells. (A) Percentage of Tuj1 positive neurons in differentiated C17.2 cells after transfection of 50 nM miR-9 mimic or control mimic and culture in serum-free differentiation conditions. Significance tested in one-way ANOVA with Holm-Sidak multiple comparison correction. Significance: *p<0.05; **p<0.01; ***p<0.001. 5 images analysed per condition in 2 biological replicates. Error bars show S.E.M. (B) The density of cells after transfection of negative control mimic or 50 nM and 100 nM miR-9 mimic and culture in serum-free differentiation conditions. No differences within a given time point are statistically significant, where significance is tested in a two-way ANOVA with Tukey multiple comparison correction. Source data contained in Figure 6—source data 2. |
|
|
Figure 6âfigure supplement 2. Increased miR-9 shifts timing of differentiation earlier in NS cells. (A) Representative flow cytometry plots showing the percentage of GFP positive neurons during neuronal differentiation of Tau-GFP NS cells after transfection of 40 nM miR-9 mimic or control mimic. Time-points represent hours after the onset of neuronal differentiation. SSC: side scatter (B) Frequency of GFP positive neurons following treatment of Tau-GFP NS cells with 40 nM miR-9 mimic or control mimic (n=5 biological replicates). Significance tested in one-way ANOVA with Holm-Sidak multiple comparison correction. Significance: *p<0.05; **p<0.01; ***p<0.001.Error bars show S.E.M. Source data contained in Figure 6âsource data 3. |
|
|
Figure 7—figure supplement 1. Coherence of a power spectrum. |
|
|
Figure 7âfigure supplement 2. Random fluctuations are distinct from stochastic oscillations. (A, C) The power spectrum of HES1 protein oscillations calculated using the average of 1000 simulations with the dSSA (blue), for m1 = 3.5, r1 = 600 and m1 = 1.5, r1 = 600, respectively. (B, D) HES1 protein dynamics after the accumulation of miR-9 simulated with the dSSA to (A) and (C), respectively. |
|
|
Figure 1—figure supplement 2. Validation of smFISH accuracy.(A) To test the reliability of smFISH for accurate single-cell RNA quantification, we analysed spot number detected by two interleaved smFISH probe sets (each comprising 28 x 20 nt probes), targeting luciferase RNAs expressed from a 2.7 kb-Hes1pr-UbLUC:HES1–Hes1 3’UTR construct stably transfected into C17.2 cells (generated in Goodfellow et al. [Goodfellow et al., 2014]). (B) Luciferase Quasar 570 and Quasar 670 smFISH probes simultaneously hybridized to luciferase RNAs in a C17.2 cell. (C) Zoom panel of the region highlighted in B, showing colocalisation of smFISH spots detected with each probe set; there is a slight chromatic shift between channels. (D) smFISH spots detected by each probe set were quantified in 24 cells using the 'analyze spots' function in Imaris. Linear regression analysis confirmed strong agreement in the RNA number detected by each probe set (slope = 0.95 ± 0.03, R2 = 0.98). (E) To test that the probe sets detected the same RNAs, colocalisation of detected spots was analysed between the two channels. A correction was applied in x, y and z to account for the chromatic shift between channels, then the Imaris XTension 'Spots Colocalize' was performed using a distance of 0.5 μM. This returned 92.5% colocalisation of Quasar 570 spots with Quasar 670 spots, and 88.0% colocalisation of Quasar 670 spots with Quasar 570. smFISH count data contained in Figure 1—source data 3.DOI: http://dx.doi.org/10.7554/eLife.16118.009 |
|
|
Figure 1—figure supplement 3. Quantification of GFP signal intensity in Tau-GFP NS cells.Following smFISH in Tau-GFP NS cells, GFP protein was detected using anti-GFP primary (Life Technologies A11122) and goat anti-rabbit Alexa Fluor 488 secondary antibody (Life Technologies A11008). Z-stacks were sum projected in FIJI, nuclei manually segmented, and mean signal intensity (sum intensity/segmented area) measured. Cells with mean GFP intensity >12000 were classed as GFP positive. (A, B, C) Sample image of a field of Tau-GFP NS cells with DAPI stained nuclei (blue) and immunofluorescent detection of GFP (white). One cell has high mean GFP signal (24555, GFP+ve); other cells show only low signal (∼4000) that may be due to autofluorescence and/or some non-specific antibody binding. (D) Mean GFP intensity measurements for all GFP-ve and GFP+ve cells analysed for Hes1 smFISH in Figure 1E, F. Source data contained in Figure 1—source data 4.DOI: http://dx.doi.org/10.7554/eLife.16118.010 |
|
|
Figure 1âfigure supplement 4. Method to quantify miR-9 copy number.(A) Diagram showing the process of microRNA reverse transcription (Applied Biosystems TaqMan microRNA Reverse Transcription kit (4366596)) and TaqMan qRT-PCR (TaqMan Fast Advanced master mix reagent (Applied Biosystems 4444557)) using ThermoFisher Scientificâs stem loop primer for mouse miR-9-5p (product 4427975, assay ID 001089). (B) Graphs showing the efficacy of the stem loop primers to reverse transcribe the synthetic mature miR-9 variants as described on miRBase (accession MI0000157, deep sequencing mmu-miR-9-5p accession MIMAT0000142). Only the two longest forms, miR-9 UAUGA and miR-9 UAUG, are reliably reverse transcribed for amplification. This is highlighted by the high R2 values and by all points of the curve residing on the trend line. The third graph is representative of the other 3 truncated forms tested (miR-9 UAU, UA and U)DOI: http://dx.doi.org/10.7554/eLife.16118.011 |
|
|
Figure 1—figure supplement 5. Quantification of miR-9 copy number.(A) Graphs showing qPCR standard curves generated from known concentrations of synthetic mature miR-9 (3 biological experiments) and linear regression. (B) Graph showing the number of miR-9 molecules per cell in C17.2 progenitors extrapolated from the synthetic miR-9 standard curve in the equivalent biological experiment. 3 technical replicates per biological experiment were analysed. Error bars show S.D of 10 identical samples per technical replicate. The mean and S.E.M (including all samples) is 1100 ± 20 (S.E.M) molecules per cell. Source data contained in Figure 1—source data 5.DOI: http://dx.doi.org/10.7554/eLife.16118.012 |
|
|
Figure 3âfigure supplement 2. Multiple single-cell time series of LUC2:HES1 reporter protein expression in primary NS cells determined by bioluminescence imaging.Traces contained in Figure 3âsource data 2.DOI: http://dx.doi.org/10.7554/eLife.16118.020 |
|
|
Figure 6âfigure supplement 2. Increased miR-9 shifts timing of differentiation earlier in NS cells.(A) Representative flow cytometry plots showing the percentage of GFP positive neurons during neuronal differentiation of Tau-GFP NS cells after transfection of 40Â nM miR-9 mimic or control mimic. Time-points represent hours after the onset of neuronal differentiation. SSC: side scatter (B) Frequency of GFP positive neurons following treatment of Tau-GFP NS cells with 40Â nM miR-9 mimic or control mimic (n=5 biological replicates). Significance tested in one-way ANOVA with Holm-Sidak multiple comparison correction. Significance: *p<0.05; **p<0.01; ***p<0.001.Error bars show S.E.M. Source data contained in Figure 6âsource data 3.DOI: http://dx.doi.org/10.7554/eLife.16118.031 |
|
|
Figure 7âfigure supplement 2. Random fluctuations are distinct from stochastic oscillations.(A, C) The power spectrum of HES1 protein oscillations calculated using the average of 1000 simulations with the dSSA (blue), for m1 = 3.5, r1 = 600 and m1 = 1.5, r1 = 600, respectively. (B, D) HES1 protein dynamics after the accumulation of miR-9 simulated with the dSSA to (A) and (C), respectively.DOI: http://dx.doi.org/10.7554/eLife.16118.036 |
|
|
Figure 3—figure supplement 1. Bioluminescence images from a single primary LUC2:HES1 NS cell cultured in proliferative conditions.Corresponds to single-cell LUC2:HES1 time-series data shown in Figure 3A. 16 colours look-up table was used from ImageJ where hot (red) colours show high intensity and cold (blue) colours show low intensity.DOI: http://dx.doi.org/10.7554/eLife.16118.019 |
|
|
Figure 7—figure supplement 1. Coherence of a power spectrum.DOI: http://dx.doi.org/10.7554/eLife.16118.035 |
References [+] :
Aggarwal,
Concentration Sensing by the Moving Nucleus in Cell Fate Determination: A Computational Analysis.
2016, Pubmed
Aggarwal, Concentration Sensing by the Moving Nucleus in Cell Fate Determination: A Computational Analysis. 2016, Pubmed
Alonso, Stochastic amplification in epidemics. 2007, Pubmed
Anderson, A modified next reaction method for simulating chemical systems with time dependent propensities and delays. 2007, Pubmed
Arias, Filtering transcriptional noise during development: concepts and mechanisms. 2006, Pubmed
Bagnall, Quantitative dynamic imaging of immune cell signalling using lentiviral gene transfer. 2015, Pubmed
Bahar Halpern, Bursty gene expression in the intact mammalian liver. 2015, Pubmed
Bahar Halpern, Nuclear Retention of mRNA in Mammalian Tissues. 2015, Pubmed
Balázsi, Cellular decision making and biological noise: from microbes to mammals. 2011, Pubmed
Barrio, Oscillatory regulation of Hes1: Discrete stochastic delay modelling and simulation. 2006, Pubmed
Battich, Control of Transcript Variability in Single Mammalian Cells. 2015, Pubmed
Bertrand, Proneural genes and the specification of neural cell types. 2002, Pubmed
Bibel, Differentiation of mouse embryonic stem cells into a defined neuronal lineage. 2004, Pubmed
Boije, Reconciling competence and transcriptional hierarchies with stochasticity in retinal lineages. 2014, Pubmed
Bonev, MicroRNA-9 reveals regional diversity of neural progenitors along the anterior-posterior axis. 2011, Pubmed , Xenbase
Bonev, MicroRNA-9 Modulates Hes1 ultradian oscillations by forming a double-negative feedback loop. 2012, Pubmed , Xenbase
Brett, Gaussian approximations for stochastic systems with delay: chemical Langevin equation and application to a Brusselator system. 2014, Pubmed
Brett, Stochastic processes with distributed delays: chemical Langevin equation and linear-noise approximation. 2013, Pubmed
Cai, Exact stochastic simulation of coupled chemical reactions with delays. 2007, Pubmed
Chen, Real-time quantification of microRNAs by stem-loop RT-PCR. 2005, Pubmed
Conti, Niche-independent symmetrical self-renewal of a mammalian tissue stem cell. 2005, Pubmed
Coolen, miR-9 controls the timing of neurogenesis through the direct inhibition of antagonistic factors. 2012, Pubmed
Corrigan, Regulation of transcriptional bursting by a naturally oscillating signal. 2014, Pubmed
Dross, Mapping eGFP oligomer mobility in living cell nuclei. 2009, Pubmed
Elf, Fast evaluation of fluctuations in biochemical networks with the linear noise approximation. 2003, Pubmed
Franco, Fate-restricted neural progenitors in the mammalian cerebral cortex. 2012, Pubmed
Franco, Shaping our minds: stem and progenitor cell diversity in the mammalian neocortex. 2013, Pubmed
Furusawa, A dynamical-systems view of stem cell biology. 2012, Pubmed
Galla, Intrinsic fluctuations in stochastic delay systems: theoretical description and application to a simple model of gene regulation. 2009, Pubmed
Gao, Deterministic progenitor behavior and unitary production of neurons in the neocortex. 2014, Pubmed
Garcia-Ojalvo, Towards a statistical mechanics of cell fate decisions. 2012, Pubmed
Gaspard, An intrinsic mechanism of corticogenesis from embryonic stem cells. 2008, Pubmed
Goetz, Making of a retinal cell: insights into retinal cell-fate determination. 2014, Pubmed
Golding, Real-time kinetics of gene activity in individual bacteria. 2005, Pubmed
Gomes, Reconstruction of rat retinal progenitor cell lineages in vitro reveals a surprising degree of stochasticity in cell fate decisions. 2011, Pubmed
Goodfellow, microRNA input into a neural ultradian oscillator controls emergence and timing of alternative cell states. 2014, Pubmed , Xenbase
Götz, The cell biology of neurogenesis. 2005, Pubmed
Greig, Molecular logic of neocortical projection neuron specification, development and diversity. 2013, Pubmed
Grima, How accurate are the nonlinear chemical Fokker-Planck and chemical Langevin equations? 2011, Pubmed
Grima, A study of the accuracy of moment-closure approximations for stochastic chemical kinetics. 2012, Pubmed
Harper, Dynamic analysis of stochastic transcription cycles. 2011, Pubmed
Hatakeyama, Hes genes regulate size, shape and histogenesis of the nervous system by control of the timing of neural stem cell differentiation. 2004, Pubmed
He, How variable clones build an invariant retina. 2012, Pubmed
Hirata, Oscillatory expression of the bHLH factor Hes1 regulated by a negative feedback loop. 2002, Pubmed
Huang, Systems biology of stem cells: three useful perspectives to help overcome the paradigm of linear pathways. 2011, Pubmed
Huh, Non-genetic heterogeneity from stochastic partitioning at cell division. 2011, Pubmed
Huh, Random partitioning of molecules at cell division. 2011, Pubmed
Imayoshi, Oscillatory control of factors determining multipotency and fate in mouse neural progenitors. 2013, Pubmed
Ishibashi, Targeted disruption of mammalian hairy and Enhancer of split homolog-1 (HES-1) leads to up-regulation of neural helix-loop-helix factors, premature neurogenesis, and severe neural tube defects. 1995, Pubmed
Jenkins, Stochastic Regulation of her1/7 Gene Expression Is the Source of Noise in the Zebrafish Somite Clock Counteracted by Notch Signalling. 2015, Pubmed
Jensen, Sustained oscillations and time delays in gene expression of protein Hes1. 2003, Pubmed
Kaern, Stochasticity in gene expression: from theories to phenotypes. 2005, Pubmed
Kageyama, The Hes gene family: repressors and oscillators that orchestrate embryogenesis. 2007, Pubmed
Kageyama, Dynamic Notch signaling in neural progenitor cells and a revised view of lateral inhibition. 2008, Pubmed
Klein, Universal patterns of stem cell fate in cycling adult tissues. 2011, Pubmed
Kohwi, Temporal fate specification and neural progenitor competence during development. 2013, Pubmed
Lau, Identification of dynamically regulated microRNA and mRNA networks in developing oligodendrocytes. 2008, Pubmed
Lestas, Fundamental limits on the suppression of molecular fluctuations. 2010, Pubmed
Lewis, Autoinhibition with transcriptional delay: a simple mechanism for the zebrafish somitogenesis oscillator. 2003, Pubmed
Lundqvist, Optimisation of culture conditions for differentiation of C17.2 neural stem cells to be used for in vitro toxicity tests. 2013, Pubmed
Margolin, ChIP-on-chip significance analysis reveals large-scale binding and regulation by human transcription factor oncogenes. 2009, Pubmed
McKane, Predator-prey cycles from resonant amplification of demographic stochasticity. 2005, Pubmed
Momiji, Dissecting the dynamics of the Hes1 genetic oscillator. 2008, Pubmed
Monk, Oscillatory expression of Hes1, p53, and NF-kappaB driven by transcriptional time delays. 2003, Pubmed
Munsky, Using gene expression noise to understand gene regulation. 2012, Pubmed
Nakamura, The bHLH gene hes1 as a repressor of the neuronal commitment of CNS stem cells. 2000, Pubmed
Neuert, Systematic identification of signal-activated stochastic gene regulation. 2013, Pubmed
Osella, The role of incoherent microRNA-mediated feedforward loops in noise buffering. 2011, Pubmed
Pearson, Specification of temporal identity in the developing nervous system. 2004, Pubmed
Pfeuty, Neuronal specification exploits the inherent flexibility of cell-cycle gap phases. 2015, Pubmed
Pfeuty, A computational model for the coordination of neural progenitor self-renewal and differentiation through Hes1 dynamics. 2015, Pubmed
Pollard, In vitro expansion of fetal neural progenitors as adherent cell lines. 2013, Pubmed
Qian, Timing of CNS cell generation: a programmed sequence of neuron and glial cell production from isolated murine cortical stem cells. 2000, Pubmed
Rao, Control, exploitation and tolerance of intracellular noise. 2002, Pubmed
Rapaport, Timing and topography of cell genesis in the rat retina. 2004, Pubmed
Rué, Cell dynamics and gene expression control in tissue homeostasis and development. 2015, Pubmed
Sasai, Two mammalian helix-loop-helix factors structurally related to Drosophila hairy and Enhancer of split. 1992, Pubmed
Schreiber, Rapid detection of octamer binding proteins with 'mini-extracts', prepared from a small number of cells. 1989, Pubmed
Schwanhäusser, Global quantification of mammalian gene expression control. 2011, Pubmed
Shen, The timing of cortical neurogenesis is encoded within lineages of individual progenitor cells. 2006, Pubmed
Shimojo, Oscillations in notch signaling regulate maintenance of neural progenitors. 2008, Pubmed
Shimojo, Oscillatory control of Delta-like1 in cell interactions regulates dynamic gene expression and tissue morphogenesis. 2016, Pubmed
Simons, Strategies for homeostatic stem cell self-renewal in adult tissues. 2011, Pubmed
Slater, Cell lineage tree models of neurogenesis. 2009, Pubmed
Sturrock, Spatial stochastic modelling of the Hes1 gene regulatory network: intrinsic noise can explain heterogeneity in embryonic stem cell differentiation. 2013, Pubmed
Suter, Origins and consequences of transcriptional discontinuity. 2011, Pubmed
Swain, Intrinsic and extrinsic contributions to stochasticity in gene expression. 2002, Pubmed
Tan, MicroRNA9 regulates neural stem cell differentiation by controlling Hes1 expression dynamics in the developing brain. 2012, Pubmed
Temple, The development of neural stem cells. 2001, Pubmed
Thomas, Intrinsic noise analyzer: a software package for the exploration of stochastic biochemical kinetics using the system size expansion. 2012, Pubmed
Zechner, Scalable inference of heterogeneous reaction kinetics from pooled single-cell recordings. 2014, Pubmed
