|
Fig. 1.
Xenopus hmga2 expression in developing NCCs as detected by WISH. (A) hmga2 mRNA is expressed in the prospective neural plate border (NPB, outlined in red) and in the prospective placodal plate (PPP, outlined in black) of stage 13 Xenopus embryo (dorsal-anterior view). (B) hmga2 expression at stage 16 (anterior-lateral view) is visible in prospective neuroectoderm and cranial NCCs (arrowhead). (C,D) hmga2 mRNA is detected in the anterior NCCs (arrowhead) at stage 20 (frontal view) and 28 (lateral view), respectively.
|
|
Fig. 2.
Phenotypic and molecular effects of Hmga2 depletion on Xenopus embryos. (A) Stage 28 morphant embryos (ventral view) show a clear reduction (red arrowhead) of the pharygeal bulges (bracket) (cg, cement gland). (B) Schematics of normal NCC migration in Xenopus embryos; ma, hy, br, denote mandibular, hyoid, branchial streams, respectively. (C) Schematics of skeletal derivatives of NCCs at tadpole stage; m, q, c, cb denote Meckel's, quadrate, ceratohyal, ceratobranchial cartilages, respectively. (DâG) Pharyngeal skeletal phenotypes obtained following unilateral injections of MOs, as indicated; frequencies of the displayed phenotypes (D,E, morphant phenotype; F,G, wild type aspect) were 83% (n=130) and 76% (n=122) for MO1 and MO2 injections respectively. Typical phenotypes obtained with anti-hmga2 MOs consist in disruption or absence of branchial arch skeletal derivatives (stained in blue and indicated by arrows) and/or missing otic capsule (dashed circle) on injected side (left side in figure). (H) Effects of MO1 and MO2 on several NCC molecular markers as detected by WISH; expression was reduced by MO1 and MO2, respectively, in 75% and 76% of embryos for twist (n=124 and n=223); in 86% and 93% of embryos for sox9 (n=86 and n=84); in 85% and 73% of embryos for ap2 (n=66 and n=52); in 65% and 70% of embryos for dlx2 (n=61 and n=47). (I) The effects of MO2 are rescued by coinjection of hmga2 mRNA, as shown by recovery of normal twist expression (in 52% of embryos, n=99) and morphology (in 68% of embryos, n=187). Injected side was determined by GFP visualisation (DâG) and β-gal staining (H,I).
|
|
Fig. 3.
Hmga2 depletion impairs NCC migration in Xenopus embryos. Cranial NCCs from GFP or RFP labelled embryos were transplanted into host embryos (see scheme in the upper part of figure). While 5-mis MO-injected NCCs migrated normally, MO1- or MO2-injected NCCs failed to migrate properly in host embryos (left). When wild type RFP-labelled NCCs were transplanted in GFP-labelled, MO2-injected host embryos, they migrated regularly in the Hmga2-depleted environment (right). Pictures were taken at stage 18, 25, 30. Per cent inhibition of migration is indicated for MO1- or MO2-injected embryos relative to controls.
|
|
Fig. 4.
msx1 modulates hmga2 expression in Xenopus embryos. (AâP) Msx1 but not Snail2 is required for hmga2 expression in prospective NCCs; depletion of Msx1 leads to reduction of hmga2 expression (arrowhead) at stage 13, 16, and 25 (AâD); standard MO has no effect on hmga2 expression (EâH); msx1 mRNA expands hmga2 expression, as shown at stage 13 (I, arrowhead) or at stage 16 (J, lines compare medio-lateral extension of hmga2 expression domain between two sides of embryo), and results in stronger hmga2 expression at stage 25 (K,L); MO against snail2 mRNA does not affect hmga2 (M), but downregulates twist (N) at stage 16, while has some effects on hmga2 expression at stage 25 (O,P). (QâV) Effects of msx1 depletion or overexpression on stage 16 sibling embryos are shown on pax3 (Q,T), snail2 (R,U), twist (S,V). In all these embryos, injected side (inj) was scored by GFP fluorescence, except for (C,D,G,H,K,L,O,P) where β-gal was used as a tracer.
|
|
Fig. 5.
Hmga2 is required for NCS, but not for NBP, gene expression. (A) Xenopus embryos injected unilaterally with MO2 show downregulation of snail2 and sox10, but not of msx1, pax3, ap2 or hairy2 at stage 13. (B) Effects of hmga2 knockdown or overexpression in stage 16 embryos: MO2 causes downregulation of snail2 and twist, but not of msx1 or pax3; a mismatched control MO (5-mis) has no effect; hmga2 mRNA injection does not vary expression of these same genes. Injected side (inj) was scored by β-gal staining (A), or by GFP fluorescence (B).
|
|
Fig. 6.
Hmga2 is required for Msx1, Pax3 and Snail2 effects in the Xenopus NCC genetic network. (AâC) Embryos were injected unilaterally with msx1, pax3, or snail2 mRNA (alone or in combination with MO2 or hmga2 mRNA, as indicated) and subsequently analysed at stage 16 by WISH for expression of hmga2, pax3, snail2 and twist, as indicated. GFP mRNA was coinjected to visualise injected side (inj) in all embryos.
|
|
Fig. 7.
pax3 and hmga2 synergize to rescue the effects of msx1 knockdown in Xenopus. Embryos were injected unilaterally with the indicated combinations of MO-msx1, pax3 and hmga2 mRNAs and were subsequently analysed at stage 16 by WISH for expression of hmga2, snail2 and twist, as indicated. Arrowheads show reduction of hmga2 expression on the injected side. GFP mRNA was coinjected to visualise injected side (inj) in all embryos.
|
|
Fig. 8.
TGF-β stimulation regulates the expression of a novel set of genes, involved in the NCC genetic network, in a mouse breast cancer cell model. (A) Expression levels of mRNA encoding Sox9, Pax2, EphrinB2 and Ap2 genes were measured by qRT-PCR at 6 and 30 h after TGF-β treatment (5 ng/mL) in NMuMG cells, with respect to control cells (-TGF-β) set at 1 as reference. The data are represented as the mean±SD (n=3). (B) Left panel shows representative RT-PCR amplification products of Sox10, Adam12 and Msx1 genes in NMuMG cells stimulated with TGF-β (6 and 30 h of treatment, lanes 2 and 4 respectively) and in control cells (lanes 1 and 3) loaded on 10% TBE-PAGE. RT-PCR was carried out on the same biological triplicate samples as in A. Right panel shows densitometric analyses of RT-PCR products (n=3) of Sox10, Adam12 and Msx1 genes, comparing cells exposed to TGF-β treatment (+TGF-β) with respect to control cells (−TGF-β) set at 1 as reference both at 6 and 30 h. Sox10 densitometric analysis was not reported at 30 h (±TGF-β) because PCR products were not detectable at this time point (n.d. in the graph). In both (A) and (B) Gapdh is used as control and internal normaliser.
|
|
Fig. 9.
Hmga2 downregulation modulates several NCC genes in the TGF-β induced EMT of mouse breast cancer cell model. (A) Relative mRNA expression levels of Hmga2, Fibronectin (Fn1), Snail2, Zeb2 and Sox9 genes in NMuMG cells silenced for Hmga2 gene (si_HMGA2) with respect to cells transfected with control siRNA (si_CTRL), set at 1 as reference, in TGF-β exposed conditions (2.5 ng/mL, 16 h after TGF-β treatment). Expression was measured by qRT-PCR analyses. The data are represented as the mean±SD (n=3). (B) Left panel: gene expression analyses of Sox10 and Adam12 of NMuMG cells exposed to TGF-β and silenced (si-HMGA2) or not (si-CTRL) for the expression of Hmga2; a representative image of RT-PCR analyses on 10% TBE-PAGE is shown. Right panel: densitometric analyses of RT-PCR products (n=3) of Sox10 and Adam12 genes comparing cells silenced for Hmga2 gene (si_HMGA2) with cells transfected with control siRNA (si_CTRL), set at 1 as reference. In both (A) and (B) Gapdh is used as control and internal normaliser.
|
|
Fig. 10.
Scheme of hmga2 action on the NCC and EMT-promoting genes analysed in this study. In the Xenopus embryo, NPB genes (blue boxes), responding to earlier inducing signals, initiate the NCC genetic network; msx1 has a key position in eliciting pax3 and hmga2 expression (blue arrows). pax3 action on snail2 and twist is shown by red arrows; pax3 and hmga2 cooperate in their modulation. hmga2 modulates the expression of several genes of the NCC genetic network (black arrows); genes shown in green and red boxes respond to TGF-β, but only for the first group modulation by hmga2 was confirmed in the NMuMG breast cancer cell model.
|
|
Supplementary material: Fig. S1 â Western blot analysis of hmga2 depleted embryos. (A) Coomassie staining of HMG and histone H1 selectively extracted with PCA from wild type (wt) stage 13 Xenopus embryos and similar embryos injected with different morpholinos (MO1, MO2, 5-mis); normalization, given by histone H1, shows that similar amounts of proteins were analysed from pools of embryos. (B) Ponceau staining of membranes blotted with PCA extracted proteins. Human recombinant HMGA2 protein was included as control (lane 6). (C) Western blot analysis of membrane shown in (B) with specific anti-HMGA2 antibody (Rizzi et al., 2013). (D) Results of densitometric analysis on protein bands detected by α-HMGA2 antibody (panel C).
|
|
Supplementary material: Fig. S2 â Standard control MO (MO-STD) or 5-mismatched MO (5-mis) have no effects on Xenopus NCC molecular markers. Results of WISH with the indicated molecular markers are displayed. Percentages refer to frequency of tailbud stage embryos showing normal expression, numbers to the amounts of injected embryos. β-gal staining identifies injected side. Control side is also shown.
|
|
Supplementary material: Fig. S3 â Reduction of placode-derived structures upon MO2 injections in Xenopus embryos. (AâC) sox2 is absent in its placodal domain (asterisks), while still present in the contralateral side. (DâF) Reduced expression of pax2 in the otic vesicle in lateral views of injected and control side (D,E, respectively) and in dorsal view (F): arrowhead points at reduced otic vesicle in (D) and (F). (G,H) neuroD1 expression in placodes is severely reduced (arrowheads). (I-K)nrp1 (general pan-neural marker, I,J) or otx2 (proencephalic and mesencephalic marker, K) expression is not affected. β-gal staining identifies injected side.
|
|
Supplementary material: Fig. S4 â Effects of Hmga2 knockdown on other neural patterning genes. (AâC) en2 expression is unaltered on the MO2 injected side of a stage 26 embryo (A), compared to control side (B); dorsal view is shown in (C). (DâF) krox20 expression is unaltered in the neural tube domain on the injected side compared to control side, but is reduced in its neural crest domain (D,E); dorsal view is shown in (F). (G,H) hobx9 expression in the spinal cord is identical on both injected (G) and uninjected (H) side (embryo orientation is flipped horizontally).
|
|
Supplementary material: Fig. S5 â hmga2 knockdown perturbs neuronal development. (AâF) Injection of MO2 (A,C,E), but not of 5-mis MO (B,D,F), leads to reduction of the expression of neurog1 (A,B), elr-c (C,D) and tubb2b (E,F) on the injected side. Developing primary neurons and/or trigeminal ganglion are affected (arrowheads).
|
|
Supplementary material: Fig. S6 â Further characterization of hmga2 knockdown effects. (A) A dominant-negative hmga2 construct impairs NCCs in Xenopus: injection of 3.2 ng of Xhmga2-EnR mRNA on NCCs reduces twist expression in NCC streams during tailbud stages in injected vs. non-injected side; no effect is shown by injection of mRNA encoding EnR domain alone. (B) TUNEL analysis on MO2 injected embryos: β-gal staining (pink) shows injected side (inj); snail2 and twist expression are reduced on the injected side, without significant cell death detected by TUNEL staining (blue spots); injected and control sides from single embryos at stage 22 or 25 are shown; in stage 13 and 18 embryos both sides are visible from a frontal view. (C) Effect of Hmga2 depletion by MO2 on adam13 and zeb2: WISH results show reduction of expression of these markers. β-gal staining identifies injected side.
|
|
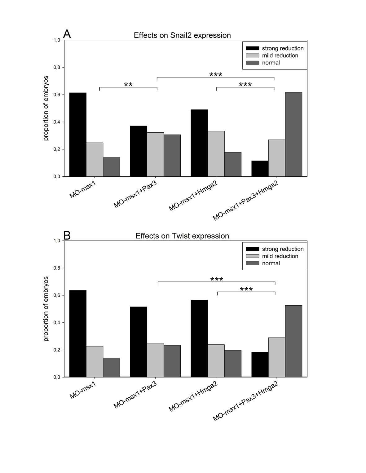
Supplementary material: Fig. S7 – hmga2 is required for msx1 (A-C), pax3 (D,E) and snail2 (F) action in Xenopus NCCs. The frequency of phenotypes observed in embryos injected with the displayed combinations are shown. In all combinations doses were 100 pg for msx1 mRNA, 100 pg for pax3 mRNA, 200 pg for hmga2 mRNA, 2.5 ng for MO2. Total numbers of embryos are shown in Table S9. Statistical differences between the distribution of phenotypes in the groups are shown by bars (χ2-test; ***, p<0.001).
|
|
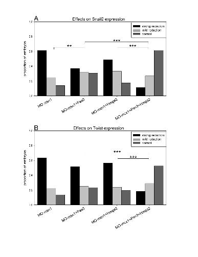
Supplementary material: Fig. S8 – pax3 and hmga2 coinjection rescues msx1 morphant Xenopus embryos. (A,B) Embryos were injected with MO-msx1 (20ng) either alone or in combination with pax3 (100pg), hmga2 (50 pg) or both. The proportion of phenotypes observed are reported for snail2 (A) and twist (B). Total numbers of embryos are shown in Table S10. Statistical differences between the distribution of phenotypes in the groups are shown by bars (χ2-test; **, p<0.01; ***, p<0.001).
|
|
Supplementary material: Fig. S9 â TGF-β stimulation in NMuMG cells modulates Hmga2 and EMT marker, but not Hmga1, expression. (A) Expression of Hmga2, Hmga1, Fibronectin (Fn1), Snail2, Zeb2 and E-cadherin (E-cad) in NMuMG cells induced (+TGF-β) or not (âTGF-β) with TGF-β (5 ng/mL) at 6 and 30 h was measured by real time RT-PCR and reported relative to uninduced cells set at 1 as reference. Gapdh was used as an internal control. The data are represented as the mean±SD (n=3). (B) Expression levels of HMGA1 and HMGA2 proteins in NMuMG cells analysed by Western Blot using specific antibodies at 30 h after TGF-β treatment (5 ng/mL) (lanes 2 and 4) with respect to control cells (lanes 1 and 3). Actin was used as internal normalization.
|
|
Supplementary material: Fig. S10 â Endogenous modulation of genes not induced by TGF-β treatment upon Hmga2 downregulation in mouse NMuMG cells. (A) Expression levels of Hmga2, Ap2, EphrinB2 and Pax2 mRNAs in NMuMG cells transfected with control siRNA (si_CTRL), and siRNA for Hmga2 (si_HMGA2). Expression was measured by qRT-PCR and normalized against cells transfected with control siRNA (si_CTRL, set at 1 as reference). The data are represented as the means±SD (n=3). (B) Msx1 gene expression was analysed by RT-PCR on 10% TBE-PAGE in NMuMG cells silenced (si_HMGA) or not (si_CTRL) for Hmga2 expression in the same conditions as in (A). Gapdh is used as internal normalizer. A representative image is shown in the left panel while in the right panel a densitometric analyses of PCR products (n=3) are reported. Expression of Msx1 in cells transfected with control siRNA (si_CTRL) is set at 1 as reference. In both (A) and (B) Gapdh is used as control and internal normalizer.
|