|
Figure 2. Genome wide identification of dA6m marks in X. laevis fat, oviduct, testes and M. musculus kidney.a, dA6m peak signal tracks. One gene region for each tissue type is shown. The y-axis represents the amount of immunoprecipitated DNA at each position normalized by the total number of reads. RefSeq gene annotations are shown. n=2 for each X. laevis tissue and n=3 for M. musculus, biological replicates from different animals, AU=arbitrary units. b, Heat map of Pearson correlation coefficient values from comparisons between X. laevis and M. musculus dA6m DIP-Seq and input-Seq samples. Correlation was calculated pairwise for all samples, excluding windows where both samples in the pair had zero depth. n=2 for each X. laevis tissue and n=3 for M. musculus, biological replicates from different animals, **P<1×10−16, Pearson Correlation test on mapped reads. c, Scatter plots comparing individual samples pairwise for overlapping peaks. The enrichment score ranging from 0–8 is plotted on both axes. The color in each plot reflects the correlation value (Pearson correlation coefficient), which is also shown in the top right corner of each plot. n=2 for each X. laevis tissue and n=3 for M. musculus, biological replicates from different animals, **P<1×10−16, two sided t-test on dA6m peaks. d, Number of unique and overlapping dA6m peaks identified in X. laevis and in M. musculus tissues. n=2 for each X. laevis tissue and n=3 for M. musculus, biological replicates from different animals, **P<1×10−16, χ2-test on dA6m peaks.
|
|
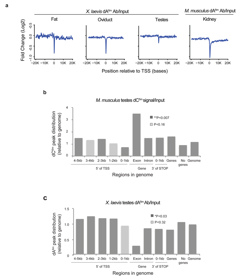
Figure 3. Genome wide distribution of dA6m in the vicinity of genes.a, Distribution of dA6m peaks around TSS, from 20kb 5’ to 20kb 3’, identified in X. laevis fat, oviduct, testes and in M. musculus kidney. One biological replicate from one animal is shown in each graph. b, Density of dC5m versus unmethylated dC in distinct areas of the M. musculus testes genome. Only the regions shown in dark grey are statistically significant. One biological replicate from one animal is shown, **P<0.007, binomial test on dA6m peaks. c, Density of dA6m versus unmethylated dA in distinct areas of the genome of X. laevis testes. Only the regions shown in dark grey are statistically significant. One biological replicate from one animal is shown, *P<0.03, binomial test on dA6m peaks.
|
|
Figure 4. Genome wide distribution of dA6m peaks in X. laevis testes samples as determined with three different dA6m recognizing antibodies in DIP-Seq and comparison to input-Seq or IgG-Seq controls.a, dA6m peak signal tracks. Tracks obtained from dA6m Ab DIP-Seq, dA6m Ab* DIP-Seq, dA6m Ab** DIP-Seq and control input-Seq and IgG-Seq are shown. One gene region for each biological replicate is shown. The y-axis of each profile represents the amount of reads at each position normalized by the total number of reads in a given dataset. RefSeq gene annotations are shown. n=2, biological replicates from different animals, AU=arbitrary units. b, Heat map of Pearson correlation coefficient values from comparisons between X. laevis testes dA6m Ab DIP-Seq, dA6m Ab* DIP-Seq, dA6m Ab** DIP-Seq, IgG DIP-Seq and input-Seq samples. Correlation was calculated pairwise for all samples, excluding windows where both samples in the pair had zero depth. n=2, biological replicates from different animals, **P<1×10−16, Pearson Correlation test on mapped reads. c, Scatter plots comparing individual samples pairwise for overlapping peaks. The enrichment score ranging from 0–8 is plotted on both axes. The color in each plot reflects the correlation value (Pearson correlation coefficient), which is also shown in the top right corner of each plot. n=2, biological replicates from different animals, **P<1×10−16, two sided t-test on dA6m peaks.
|
|
Figure 5. dA6m motif identification in bacteria and X. laevis.a, Abundance of 4bp motif in dA6m peaks. 256 potential 4bp motifs, each representing one column along x-axis, were ranked for their abundance in Dam+ and Dam– bacterial dA6m peaks. The Dam recognition motif GATC is shown in red. n=1 biological replicate from one bacterial culture for Dam+ and Dam- bacteria, Spearman rank correlation coefficient=0.94 between Dam+ and Dam– bacteria, Spearman’s **ρ=2.2×10−16. b, Ratio between Dam+ and Dam– bacteria enriched 4bp motifs. Only motifs that are at least 5% enriched are illustrated. c, Bacterial dA6m motif identified by MEME. In Dam+ bacteria, the motif GATC has been identified (73 out of 73 gene regions identified by MEME). n=1 biological replicate from one bacterial culture for Dam+ and Dam- bacteria, AU=arbitrary units. d, X. laevis dA6m motif identification by MEME. Overlaps between biological replicates from different animals were used for analysis. Same tissue n=2 biological replicates from different animals, different tissue overlaps n=6 biological replicates for different animals, **E-value<1.2×10−8, statistics by MEME, AU=arbitrary units.
|