XB-ART-51601
Elife
2015 Jan 06;4. doi: 10.7554/eLife.11351.
Show Gene links
Show Anatomy links
Multivariate analysis of electrophysiological diversity of Xenopus visual neurons during development and plasticity.
???displayArticle.abstract???
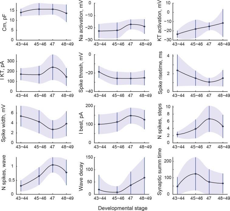
Biophysical properties of neurons become increasingly diverse over development, but mechanisms underlying and constraining this diversity are not fully understood. Here we investigate electrophysiological characteristics of Xenopus tadpole midbrain neurons across development and during homeostatic plasticity induced by patterned visual stimulation. We show that in development tectal neuron properties not only change on average, but also become increasingly diverse. After sensory stimulation, both electrophysiological diversity and functional differentiation of cells are reduced. At the same time, the amount of cross-correlations between cell properties increase after patterned stimulation as a result of homeostatic plasticity. We show that tectal neurons with similar spiking profiles often have strikingly different electrophysiological properties, and demonstrate that changes in intrinsic excitability during development and in response to sensory stimulation are mediated by different underlying mechanisms. Overall, this analysis and the accompanying dataset provide a unique framework for further studies of network maturation in Xenopus tadpoles.
???displayArticle.pubmedLink??? 26568314
???displayArticle.pmcLink??? PMC4728129
???displayArticle.link??? Elife
???displayArticle.grants??? [+]
P40 OD010997 NIH HHS , T32 MH019118 NIMH NIH HHS, T32 MH019118-19 NIMH NIH HHS
Genes referenced: bad
???attribute.lit??? ???displayArticles.show???
References [+] :
Aizenman,
Visually driven regulation of intrinsic neuronal excitability improves stimulus detection in vivo.
2003, Pubmed,
Xenbase
Aizenman, Visually driven regulation of intrinsic neuronal excitability improves stimulus detection in vivo. 2003, Pubmed , Xenbase
Aizenman, Visually driven modulation of glutamatergic synaptic transmission is mediated by the regulation of intracellular polyamines. 2002, Pubmed , Xenbase
Aizenman, Enhanced visual activity in vivo forms nascent synapses in the developing retinotectal projection. 2007, Pubmed , Xenbase
Bell, A neuroprotective role for polyamines in a Xenopus tadpole model of epilepsy. 2011, Pubmed , Xenbase
Belmonte, Autism and abnormal development of brain connectivity. 2004, Pubmed
Bucher, Animal-to-animal variability in motor pattern production in adults and during growth. 2005, Pubmed
Caplan, Many parameter sets in a multicompartment model oscillator are robust to temperature perturbations. 2014, Pubmed
Ciarleglio, Correction: Multivariate analysis of electrophysiological diversity of Xenopus visual neurons during development and plasticity. 2016, Pubmed , Xenbase
Cline, Activity-dependent plasticity in the visual systems of frogs and fish. 1991, Pubmed
Cline, Dendritic arbor development and synaptogenesis. 2001, Pubmed
Daoudal, Long-term plasticity of intrinsic excitability: learning rules and mechanisms. 2003, Pubmed
Deeg, Sensory modality-specific homeostatic plasticity in the developing optic tectum. 2011, Pubmed , Xenbase
Deeg, Development of multisensory convergence in the Xenopus optic tectum. 2009, Pubmed , Xenbase
Desai, Homeostatic plasticity in the CNS: synaptic and intrinsic forms. 2003, Pubmed
Dong, Visual avoidance in Xenopus tadpoles is correlated with the maturation of visual responses in the optic tectum. 2009, Pubmed , Xenbase
Elstrott, Cellular mechanisms for response heterogeneity among L2/3 pyramidal cells in whisker somatosensory cortex. 2014, Pubmed
Ewert, The neural basis of visually guided behavior. 1974, Pubmed
Ewert, Neural correlates of key stimulus and releasing mechanism: a case study and two concepts. 1997, Pubmed
Goaillard, Functional consequences of animal-to-animal variation in circuit parameters. 2009, Pubmed
Grubb, Activity-dependent relocation of the axon initial segment fine-tunes neuronal excitability. 2010, Pubmed
Hamodi, Region-specific regulation of voltage-gated intrinsic currents in the developing optic tectum of the Xenopus tadpole. 2014, Pubmed , Xenbase
Holt, Order in the initial retinotectal map in Xenopus: a new technique for labelling growing nerve fibres. 1983, Pubmed , Xenbase
Hutcheon, Resonance, oscillation and the intrinsic frequency preferences of neurons. 2000, Pubmed
Ibata, Rapid synaptic scaling induced by changes in postsynaptic firing. 2008, Pubmed
Jadhav, Sparse temporal coding of elementary tactile features during active whisker sensation. 2009, Pubmed
Kang, Response properties and receptive field organization of collision-sensitive neurons in the optic tectum of bullfrog, Rana catesbeiana. 2010, Pubmed
Khakhalin, Excitation and inhibition in recurrent networks mediate collision avoidance in Xenopus tadpoles. 2014, Pubmed , Xenbase
Khakhalin, GABAergic transmission and chloride equilibrium potential are not modulated by pyruvate in the developing optic tectum of Xenopus laevis tadpoles. 2012, Pubmed , Xenbase
Kleschevnikov, Changes in paired-pulse facilitation correlate with induction of long-term potentiation in area CA1 of rat hippocampal slices. 1997, Pubmed
Krzywinski, Circos: an information aesthetic for comparative genomics. 2009, Pubmed
Kuba, Presynaptic activity regulates Na(+) channel distribution at the axon initial segment. 2010, Pubmed
Lázár, The development of the optic tectum in Xenopus laevis: a Golgi study. 1973, Pubmed , Xenbase
Liu, Neuronal responses to looming objects in the superior colliculus of the cat. 2011, Pubmed
Marder, Variability, compensation, and modulation in neurons and circuits. 2011, Pubmed
Marder, Variability, compensation and homeostasis in neuron and network function. 2006, Pubmed
Marder, Multiple models to capture the variability in biological neurons and networks. 2011, Pubmed
Marder, Robust circuit rhythms in small circuits arise from variable circuit components and mechanisms. 2015, Pubmed
McGarry, Quantitative classification of somatostatin-positive neocortical interneurons identifies three interneuron subtypes. 2010, Pubmed
Munz, Rapid Hebbian axonal remodeling mediated by visual stimulation. 2014, Pubmed , Xenbase
Nakagawa, Collision-sensitive neurons in the optic tectum of the bullfrog, Rana catesbeiana. 2010, Pubmed
Nelson, Probing the transcriptome of neuronal cell types. 2006, Pubmed
Nowak, Electrophysiological classes of cat primary visual cortical neurons in vivo as revealed by quantitative analyses. 2003, Pubmed
O'Leary, Correlations in ion channel expression emerge from homeostatic tuning rules. 2013, Pubmed
Pratt, Homeostatic regulation of intrinsic excitability and synaptic transmission in a developing visual circuit. 2007, Pubmed , Xenbase
Pratt, Development and spike timing-dependent plasticity of recurrent excitation in the Xenopus optic tectum. 2008, Pubmed , Xenbase
Pratt, Modeling human neurodevelopmental disorders in the Xenopus tadpole: from mechanisms to therapeutic targets. 2013, Pubmed , Xenbase
Pratt, Multisensory integration in mesencephalic trigeminal neurons in Xenopus tadpoles. 2009, Pubmed , Xenbase
Rice, Critical periods of vulnerability for the developing nervous system: evidence from humans and animal models. 2000, Pubmed
Ruthazer, Insights into activity-dependent map formation from the retinotectal system: a middle-of-the-brain perspective. 2004, Pubmed
Ruthazer, Learning to see: patterned visual activity and the development of visual function. 2010, Pubmed
Schulz, Variable channel expression in identified single and electrically coupled neurons in different animals. 2006, Pubmed
Sharma, Visual activity regulates neural progenitor cells in developing xenopus CNS through musashi1. 2010, Pubmed , Xenbase
Sin, Dendrite growth increased by visual activity requires NMDA receptor and Rho GTPases. 2002, Pubmed , Xenbase
Sobie, Parameter sensitivity analysis in electrophysiological models using multivariable regression. 2009, Pubmed
Spawn, Abnormal visual processing and increased seizure susceptibility result from developmental exposure to the biocide methylisothiazolinone. 2012, Pubmed , Xenbase
Tan, Comparison of responses of neurons in the mouse inferior colliculus to current injections, tones of different durations, and sinusoidal amplitude-modulated tones. 2007, Pubmed
Tripathy, Intermediate intrinsic diversity enhances neural population coding. 2013, Pubmed
Turrigiano, Activity-dependent changes in the intrinsic properties of cultured neurons. 1994, Pubmed
Turrigiano, The self-tuning neuron: synaptic scaling of excitatory synapses. 2008, Pubmed
Turrigiano, Homeostatic plasticity in the developing nervous system. 2004, Pubmed
Victor, Nature and precision of temporal coding in visual cortex: a metric-space analysis. 1996, Pubmed
Wu, Maturation of a central glutamatergic synapse. 1996, Pubmed , Xenbase
Xu, Visual experience-dependent maturation of correlated neuronal activity patterns in a developing visual system. 2011, Pubmed , Xenbase
Yassin, An embedded subnetwork of highly active neurons in the neocortex. 2010, Pubmed
