XB-ART-51298
Gen Comp Endocrinol
2016 Aug 01;234:133-41. doi: 10.1016/j.ygcen.2015.09.015.
Show Gene links
Show Anatomy links
Life cycle exposure of the frog Silurana tropicalis to arsenate: Steroid- and thyroid hormone-related genes are differently altered throughout development.
???displayArticle.abstract???
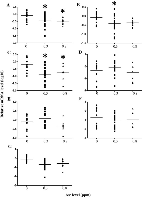
Arsenic contaminates water surface and groundwater worldwide. Several studies have suggested that arsenic acts as an endocrine disruptor in mammalian and non-mammalian species, although its chronic effect during development remains largely unknown. To address this question, life cycle exposures to 0, 0.3 and 0.8ppm of arsenate (pentavalent arsenic; As(V)) were performed in the Western clawed frog (Silurana tropicalis) from the gastrulae stage (developmental stage Nieuwkoop-Faber; NF12) until metamorphosis (NF66). Tissue samples were collected at the beginning of feeding (NF46; whole body), sexual development (NF56; liver), and at metamorphosis completion (NF66; liver and gonadal mesonephros complex). Real-time RT-PCR analysis quantified decreases in mRNA levels of genes related to estrogen- (estrogen receptor alpha and aromatase), androgen- (androgen receptor and steroid 5-alpha-reductase type 2), and cholesterol metabolism- (steroidogenic acute regulatory protein) at stage NF46. Similarly, arsenate decreased steroid 5-alpha-reductase type 2 expression in stage NF56 livers, but transcript increases were observed for both estrogen receptor alpha and steroidogenic acute regulatory protein at this stage. Given the changes observed in the expression of genes essential for proper sexual development, gonadal histological analysis was carried out in stage NF66 animals. Arsenate treatments did not alter sex ratio or produce testicular oocytes. On the other hand, arsenate interfered with thyroid hormone-related transcripts at NF66. Specifically, thyroid hormone receptor beta and deiodinase type 2 mRNA levels were significantly reduced after arsenate treatment in the gonadal mesonephros complex. This reduction in thyroid hormone-related gene expression, however, was not accompanied by any morphological changes measured. In summary, environmentally relevant concentrations of As(V) altered steroidogenesis-, sex steroid signaling- and thyroid hormone-related gene expression, although transcriptional changes varied among tissues and developmental stages.
???displayArticle.pubmedLink??? 26393310
???displayArticle.link??? Gen Comp Endocrinol
Species referenced: Xenopus
Genes referenced: actb ar cyp19a1 dio2 odc1 rpl8 srd5a2 thra thrb
???attribute.lit??? ???displayArticles.show???
