Click here to close
Hello! We notice that you are using Internet Explorer, which is not supported by Xenbase and may cause the site to display incorrectly.
We suggest using a current version of Chrome,
FireFox, or Safari.
???displayArticle.abstract???
The Western clawed frog, Xenopus tropicalis, is a highly promising model amphibian, especially in developmental and physiological research, and as a tool for understanding disease. It was originally found in the West African rainforest belt, and was introduced to the research community in the 1990s. The major strains thus far known include the Nigerian and Ivory Coast strains. However, due to its short history as an experimental animal, the genetic relationship among the various strains has not yet been clarified, and establishment of inbred strains has not yet been achieved. Since 2003 the Institute for Amphibian Biology (IAB), Hiroshima University has maintained stocks of multiple X. tropicalis strains and conducted consecutive breeding as part of the National BioResource Project. In the present study we investigated the inbreeding ratio and genetic relationship of four inbred strains at IAB, as well as stocks from other institutions, using highly polymorphic microsatellite markers and mitochondrial haplotypes. Our results show successive reduction of heterozygosity in the genome of the IAB inbred strains. The Ivory Coast strains clearly differed from the Nigerian strains genetically, and three subgroups were identified within both the Nigerian and Ivory Coast strains. It is noteworthy that the Ivory Coast strains have an evolutionary divergent genetic background. Our results serve as a guide for the most effective use of X. tropicalis strains, and the long-term maintenance of multiple strains will contribute to further research efforts.
???displayArticle.pubmedLink???
26222540
???displayArticle.pmcLink???PMC4519292 ???displayArticle.link???PLoS One ???displayArticle.grants???[+]
Fig 1. General pedigree chart of X. tropicalis strains.
Frogs facing left represent the Ivory Coast strain and those facing right are Nigerian strains. Frogs colored black indicate strains used in this study. The arrows and figures next to frogs indicate transportation of animals and the years when those were held (if there is a record).
Fig 2. Alignment of physical and genetic linkage maps of X. tropicalis.
Left = FISH cytogenetic map [16]. Middle = physical map from full nucleotide sequence data (JGI X. tropicalis genome assembly 7.1). Right = genetic map based on linkage analysis [12]. The sixty loci used in our analyses are indicated on the right. All maps are size proportional. Physical nucleotide units are mega base (Mbp), and genetic map units are centimorgan (cM).
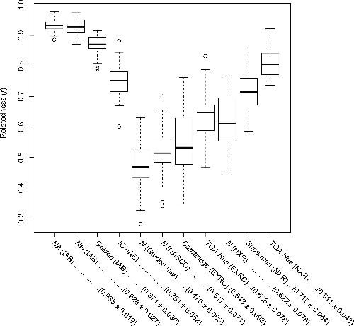
Fig 3. Observed distribution of pairwise r estimates among X. tropicalis strains.
Box plots represent the distribution of relatedness values (r) of each strain. Mean and SD values are described in the parentheses below the labels.
Fig 4. Neighbor joining trees and comparison of the control region structures of mitochondrial genomes.
(A) Neighbor joining trees of the strains based on genetic distances (DA) of SSLP data (left) and p-distance of mitochondrial haplotypes (2,328 nucleotide sites) (right). Numbers on branches indicate percent bootstrap probability (>50%). The values for SSLP tree are given in order for DA/DPS. (B) Comparison of the control region structures of mitochondrial genomes. Structures of the control region and alignments of identified putative origin of H-strand replication (OH), conserved sequence blocks (CSB-1-3), and repeat motifs are shown. (C) Neighbor joining tree of the strains and wild individuals based on p-distance of mitochondrial haplotypes (1,109 nucleotide sites).
Fig 5. Plot of expected heterozygosity (HE) against generation number (t).
The curved dotted strain indicates theoretical reduction of heterozygosity via single brother-sister matings for every generation, calculated from the following equation: , where H0 is the heterozygosity of the founder colony, and Ne is effective population size (i.e., number of individuals that contribute to breeding). HE of F0 of N (Gurdon Inst.) (0.509) and 2 are used for H0 and Ne, respectively. Open rectangles indicate mean HE estimated from individual based simulation using VORTEX version 10 [43]. During simulation, allele frequencies of N (Gurdon Inst.) were used as initial allele frequency, and single brother-sister mating was conducted in every generation. The simulation was repeated one hundred times. Bar indicates standard deviation.
Blitz,
Biallelic genome modification in F(0) Xenopus tropicalis embryos using the CRISPR/Cas system.
2013, Pubmed,
Xenbase
Blitz,
Biallelic genome modification in F(0) Xenopus tropicalis embryos using the CRISPR/Cas system.
2013,
Pubmed
,
Xenbase
Bowcock,
High resolution of human evolutionary trees with polymorphic microsatellites.
1994,
Pubmed
Castresana,
Selection of conserved blocks from multiple alignments for their use in phylogenetic analysis.
2000,
Pubmed
Coe,
Genetic variation in strains of zebrafish (Danio rerio) and the implications for ecotoxicology studies.
2009,
Pubmed
Evans,
A mitochondrial DNA phylogeny of African clawed frogs: phylogeography and implications for polyploid evolution.
2004,
Pubmed
,
Xenbase
Ewing,
Base-calling of automated sequencer traces using phred. II. Error probabilities.
1998,
Pubmed
Ewing,
Base-calling of automated sequencer traces using phred. I. Accuracy assessment.
1998,
Pubmed
Frazer,
A sequence-based variation map of 8.27 million SNPs in inbred mouse strains.
2007,
Pubmed
Gao,
Footprints of ancient-balanced polymorphisms in genetic variation data from closely related species.
2015,
Pubmed
Gordon,
Consed: a graphical tool for sequence finishing.
1998,
Pubmed
Grainger,
Xenopus tropicalis as a model organism for genetics and genomics: past, present, and future.
2012,
Pubmed
,
Xenbase
Grammer,
Identification of mutants in inbred Xenopus tropicalis.
2005,
Pubmed
,
Xenbase
Hellsten,
The genome of the Western clawed frog Xenopus tropicalis.
2010,
Pubmed
,
Xenbase
Ishibashi,
Highly efficient bi-allelic mutation rates using TALENs in Xenopus tropicalis.
2012,
Pubmed
,
Xenbase
Johnson,
Genetic backgrounds and some standard stocks and strains used in zebrafish developmental biology and genetics.
1999,
Pubmed
Kashiwagi,
Xenopus tropicalis: an ideal experimental animal in amphibia.
2010,
Pubmed
,
Xenbase
Krotoski,
Developmental mutants isolated from wild-caught Xenopus laevis by gynogenesis and inbreeding.
1985,
Pubmed
,
Xenbase
Milligan,
Maximum-likelihood estimation of relatedness.
2003,
Pubmed
Nakajima,
Generation of albino Xenopus tropicalis using zinc-finger nucleases.
2012,
Pubmed
,
Xenbase
Nakayama,
Simple and efficient CRISPR/Cas9-mediated targeted mutagenesis in Xenopus tropicalis.
2013,
Pubmed
,
Xenbase
Nei,
Accuracy of estimated phylogenetic trees from molecular data. II. Gene frequency data.
1983,
Pubmed
Nowell,
Ancestral polymorphisms in Drosophila pseudoobscura and Drosophila miranda.
2011,
Pubmed
Peakall,
GenAlEx 6.5: genetic analysis in Excel. Population genetic software for teaching and research--an update.
2012,
Pubmed
Robert,
Comparative and developmental study of the immune system in Xenopus.
2009,
Pubmed
,
Xenbase
Schuelke,
An economic method for the fluorescent labeling of PCR fragments.
2000,
Pubmed
Seifertova,
Efficient high-throughput sequencing of a laser microdissected chromosome arm.
2013,
Pubmed
,
Xenbase
Showell,
A comparative survey of the frequency and distribution of polymorphism in the genome of Xenopus tropicalis.
2011,
Pubmed
,
Xenbase
Takezaki,
POPTREE2: Software for constructing population trees from allele frequency data and computing other population statistics with Windows interface.
2010,
Pubmed
Tamura,
MEGA6: Molecular Evolutionary Genetics Analysis version 6.0.
2013,
Pubmed
Thompson,
CLUSTAL W: improving the sensitivity of progressive multiple sequence alignment through sequence weighting, position-specific gap penalties and weight matrix choice.
1994,
Pubmed
Tompkins,
Experimentally induced homozygosity in Xenopus laevis.
1991,
Pubmed
,
Xenbase
Tymowska,
Chromosome complements of the genus Xenopus.
1973,
Pubmed
,
Xenbase
Uno,
Inference of the protokaryotypes of amniotes and tetrapods and the evolutionary processes of microchromosomes from comparative gene mapping.
2012,
Pubmed
,
Xenbase
Uno,
Homoeologous chromosomes of Xenopus laevis are highly conserved after whole-genome duplication.
2013,
Pubmed
,
Xenbase
van Oppen,
Extensive homoplasy, nonstepwise mutations, and shared ancestral polymorphism at a complex microsatellite locus in Lake Malawi cichlids.
2000,
Pubmed
Wang,
A new method for estimating effective population sizes from a single sample of multilocus genotypes.
2009,
Pubmed
Wells,
A genetic map of Xenopus tropicalis.
2011,
Pubmed
,
Xenbase
Xu,
Distribution of polymorphic and non-polymorphic microsatellite repeats in Xenopus tropicalis.
2008,
Pubmed
,
Xenbase
Young,
Efficient targeted gene disruption in the soma and germ line of the frog Xenopus tropicalis using engineered zinc-finger nucleases.
2011,
Pubmed
,
Xenbase