XB-ART-49626
Mol Biol Cell
2014 Nov 05;2522:3486-93. doi: 10.1091/mbc.E14-08-1306.
Show Gene links
Show Anatomy links
Spatial trigger waves: positive feedback gets you a long way.
Gelens L
,
Anderson GA
,
Ferrell JE
.
???displayArticle.abstract???
Trigger waves are a recurring biological phenomenon involved in transmitting information quickly and reliably over large distances. Well-characterized examples include action potentials propagating along the axon of a neuron, calcium waves in various tissues, and mitotic waves in Xenopus eggs. Here we use the FitzHugh-Nagumo model, a simple model inspired by the action potential that is widely used in physics and theoretical biology, to examine different types of trigger waves-spatial switches, pulses, and oscillations-and to show how they arise.
???displayArticle.pubmedLink??? 25368427
???displayArticle.pmcLink??? PMC4230609
???displayArticle.link??? Mol Biol Cell
???displayArticle.grants??? [+]
GM046383 NIGMS NIH HHS , GM107615 NIGMS NIH HHS , P50 GM107615 NIGMS NIH HHS , R01 GM110564 NIGMS NIH HHS , R01 GM046383 NIGMS NIH HHS
Species referenced: Xenopus laevis
Genes referenced: ccnb1.2 cdk1 gnao1 tbx2
???attribute.lit??? ???displayArticles.show???
|
|
FIGURE 1:. Examples of biological trigger waves. (AâC) Action potentials. (A) Action potentials are generated at the axon hillock and propagate distally down the axon. (B) Recordings of an action potential traveling down an axon, measured by an array of extracellular electrodes. The inward flux of Na+ during an action potential registers as a negative deflection of the potential registered by the extracellular electrodes. (Adapted from Bakkum et al., 2013.) (C) Schematic view of the circuit that generates the action potential. (DâF) Calcium waves in fertilized eggs. (D) Calcium waves are generated at the sperm entry point and spread across the egg. (E) Calcium concentrations as a function of time in a fertilized oocyte from the milky ribbon worm, Cerebratulus lacteus, as measured by ratiometric imaging after calcium green loading. (Taken from Stricker, 1999.) (F) Schematic view of the circuit that generates calcium waves. (GâI) Mitotic waves in Xenopus eggs. (G) About 1 h after fertilization and the postfertilization calcium wave, a wave of Cdk1 activation spreads from near the centrosome to the cortex of the cell. (H) Waves of mitosis in Xenopus egg extracts. Thin Teflon tubes were filled with cycling Xenopus egg extracts together with sperm chromatin and a nuclear localization signalâgreen fluorescent protein marker. Waves of nuclear envelope breakdown spread from the fastest regions of the cytoplasm, near the middle of this section of the tube, outward. (Taken from Chang and Ferrell, 2013.) (I) Schematic view of the circuit that generates waves of cyclin B-Cdk1 activation. |
|
|
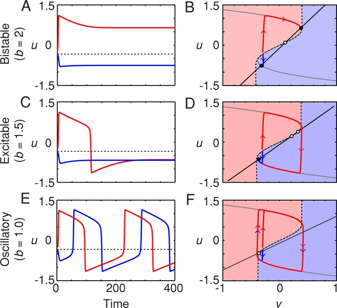
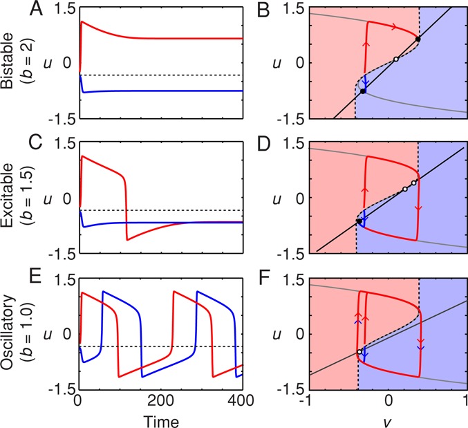
FIGURE 2:. Different types of dynamics from the FHN model. (A, C, E) Time course; (B, D, F) phase plots. (A, B) Bistability. For b = 2, the system is bistable, with two stable steady states (B, filled circles) and one saddle point (B, open circle). For the value of v(t = 0) assumed here (v(t = 0) = â0.3), trajectories beginning above a threshold value of u (A, dashed line) go to the high-u stable steady state, whereas those beginning below the threshold go to the low-u stable steady state. In the phase plane, a separatrix (dashed curve) divides the starting points that approach the high-u stable steady state (pink area) from those that go to the low-u steady state. (C, D) Excitability. For b = 1.5, there is a single stable steady state plus a saddle point and an unstable steady state. Trajectories beginning above the threshold (C) or the separatrix (D) yield a pulse of u and circle the unstable steady state before settling down to a low steady-state value of u. Those beginning below the threshold do not yield a pulse of high u. (E, F) Oscillations. For b = 1.0, the single steady state is unstable. From all initial conditions (except starting right on the unstable steady state), the trajectories approach the same stable limit cycle, although from above the threshold, they go first to the upper limb of the u-nullcline, and below the threshold, they go first to the lower limb. A, C, and E are time courses; B, D, and F are phase plots. In each case, a = 0.1, ε = 0.01, v(t = 0) = â0.3, and u(t = 0) = â0.25 (red trajectories) or â0.35 (blue trajectories). |
|
|
FIGURE 3:. Three types of trigger waves from coupling the FHN reactions to diffusion. The system is assumed to have one spatial dimension (represented on the y-axis); it is essentially a long, thin tube. The values of u as a function of time and position are represented by a heat map color scale. In all cases we assumed that the system has a high initial value of u in the middle of the tube over a width of 40 units (u(t = 0) = 1) and a low initial value of u elsewhere (u(t = 0) = –0.6). The initial value for v is the same everywhere (v(t = 0) = –0.3). For the oscillatory case, we also assumed that the frequency of the oscillations is higher in the middle of the tube (b = 0.5) than in the rest of the tube (b = 1), acting as a pacemaker for the whole system. In the top panels there is no diffusive coupling (D = 0), while in the bottom panels diffusion is included (D = 1). The FHN parameters are the same as those shown in Figure 2. |
|
|
FIGURE 4:. Diffusion can push the system across a threshold. (A, B) Diffusive spreading of a high-u state in the absence of reaction for two different diffusion coefficients. The values of u as a function of position and time are depicted both as curves and in a simplified red-green-blue heat map representation. Increasing the diffusion coefficient allows some regions within the low-u region to attain moderately high (green) levels of u more quickly, but for a shorter duration. (C) Phase plot for one point in space that is initially in the low-u region. Diffusion moves the value of u across the threshold into the green region, but in the absence of reaction, eventually returns it to the blue region. If the FHN reactions are fast enough, they can capture the suprathreshold trajectory and convert this point in space to a high-u (red) state. (D, E) Diffusion plus reaction allows self-regenerating trigger waves to propagate outward (D) unless the diffusion coefficient is too high (E). |
|
|
FIGURE 5:. Trigger waves tend to self-organize. (A) Self-organizing trigger waves in an oscillatory FHN model with the model's parameters assumed to be inhomogeneous in space. A single focus of oscillations eventually dominates the whole system. (B) Self-organizing mitotic waves in Xenopus egg extracts in Teflon tubes. The red circles mean that a reporter nucleus at that position entered mitosis at that time. The blue circles denote mitotic exit. In cycle 1, there is no obvious relationship between position and time of mitotic entry or exit, but by cycle 6, a wave of mitosis starting near the top of the tube dominates the whole system. The arrows denote positions from which waves apparently originate. (Adapted from Chang and Ferrell, 2013.) |
|
|
FIGURE 1:. Examples of biological trigger waves. (A–C) Action potentials. (A) Action potentials are generated at the axon hillock and propagate distally down the axon. (B) Recordings of an action potential traveling down an axon, measured by an array of extracellular electrodes. The inward flux of Na+ during an action potential registers as a negative deflection of the potential registered by the extracellular electrodes. (Adapted from Bakkum et al., 2013.) (C) Schematic view of the circuit that generates the action potential. (D–F) Calcium waves in fertilized eggs. (D) Calcium waves are generated at the sperm entry point and spread across the egg. (E) Calcium concentrations as a function of time in a fertilized oocyte from the milky ribbon worm, Cerebratulus lacteus, as measured by ratiometric imaging after calcium green loading. (Taken from Stricker, 1999.) (F) Schematic view of the circuit that generates calcium waves. (G–I) Mitotic waves in Xenopus eggs. (G) About 1 h after fertilization and the postfertilization calcium wave, a wave of Cdk1 activation spreads from near the centrosome to the cortex of the cell. (H) Waves of mitosis in Xenopus egg extracts. Thin Teflon tubes were filled with cycling Xenopus egg extracts together with sperm chromatin and a nuclear localization signal–green fluorescent protein marker. Waves of nuclear envelope breakdown spread from the fastest regions of the cytoplasm, near the middle of this section of the tube, outward. (Taken from Chang and Ferrell, 2013.) (I) Schematic view of the circuit that generates waves of cyclin B-Cdk1 activation. |
|
|
FIGURE 2:. Different types of dynamics from the FHN model. (A, C, E) Time course; (B, D, F) phase plots. (A, B) Bistability. For b = 2, the system is bistable, with two stable steady states (B, filled circles) and one saddle point (B, open circle). For the value of v(t = 0) assumed here (v(t = 0) = –0.3), trajectories beginning above a threshold value of u (A, dashed line) go to the high-u stable steady state, whereas those beginning below the threshold go to the low-u stable steady state. In the phase plane, a separatrix (dashed curve) divides the starting points that approach the high-u stable steady state (pink area) from those that go to the low-u steady state. (C, D) Excitability. For b = 1.5, there is a single stable steady state plus a saddle point and an unstable steady state. Trajectories beginning above the threshold (C) or the separatrix (D) yield a pulse of u and circle the unstable steady state before settling down to a low steady-state value of u. Those beginning below the threshold do not yield a pulse of high u. (E, F) Oscillations. For b = 1.0, the single steady state is unstable. From all initial conditions (except starting right on the unstable steady state), the trajectories approach the same stable limit cycle, although from above the threshold, they go first to the upper limb of the u-nullcline, and below the threshold, they go first to the lower limb. A, C, and E are time courses; B, D, and F are phase plots. In each case, a = 0.1, ε = 0.01, v(t = 0) = −0.3, and u(t = 0) = −0.25 (red trajectories) or −0.35 (blue trajectories). |
References [+] :
Allard,
Traveling waves in actin dynamics and cell motility.
2013, Pubmed
Allard, Traveling waves in actin dynamics and cell motility. 2013, Pubmed
Allbritton, Range of messenger action of calcium ion and inositol 1,4,5-trisphosphate. 1992, Pubmed , Xenbase
Bakkum, Tracking axonal action potential propagation on a high-density microelectrode array across hundreds of sites. 2013, Pubmed
Barnhart, An adhesion-dependent switch between mechanisms that determine motile cell shape. 2011, Pubmed
Bretschneider, The three-dimensional dynamics of actin waves, a model of cytoskeletal self-organization. 2009, Pubmed
Busa, An elevated free cytosolic Ca2+ wave follows fertilization in eggs of the frog, Xenopus laevis. 1985, Pubmed , Xenbase
Chang, Mitotic trigger waves and the spatial coordination of the Xenopus cell cycle. 2013, Pubmed , Xenbase
Choi, Salt stress-induced Ca2+ waves are associated with rapid, long-distance root-to-shoot signaling in plants. 2014, Pubmed
Codazzi, Control of astrocyte Ca(2+) oscillations and waves by oscillating translocation and activation of protein kinase C. 2001, Pubmed
Cornell-Bell, Glutamate induces calcium waves in cultured astrocytes: long-range glial signaling. 1990, Pubmed
De Young, A single-pool inositol 1,4,5-trisphosphate-receptor-based model for agonist-stimulated oscillations in Ca2+ concentration. 1992, Pubmed
Fitzhugh, Impulses and Physiological States in Theoretical Models of Nerve Membrane. 1961, Pubmed
Fletcher, An introduction to cell motility for the physical scientist. 2004, Pubmed
Gilkey, A free calcium wave traverses the activating egg of the medaka, Oryzias latipes. 1978, Pubmed
Goldbeter, Minimal model for signal-induced Ca2+ oscillations and for their frequency encoding through protein phosphorylation. 1990, Pubmed
Hara, Cinematographic observation of "surface contraction waves" (SCW) during the early cleavage of axolotl eggs. 1971, Pubmed
Hara, A cytoplasmic clock with the same period as the division cycle in Xenopus eggs. 1980, Pubmed , Xenbase
HODGKIN, A quantitative description of membrane current and its application to conduction and excitation in nerve. 1952, Pubmed
Lewis, Calcium oscillations in T-cells: mechanisms and consequences for gene expression. 2003, Pubmed
Machacek, Morphodynamic profiling of protrusion phenotypes. 2006, Pubmed
MALCOLM, A method of measuring reflex times applied in sciatica and other conditions due to nerve-root compression. 1951, Pubmed
Meyer, Molecular model for receptor-stimulated calcium spiking. 1988, Pubmed
Meyer, Cell signaling by second messenger waves. 1991, Pubmed
Pálsson, Origin and evolution of circular waves and spirals in Dictyostelium discoideum territories. 1996, Pubmed
Pérez-Mongiovi, A propagated wave of MPF activation accompanies surface contraction waves at first mitosis in Xenopus. 1998, Pubmed , Xenbase
Pomerening, Building a cell cycle oscillator: hysteresis and bistability in the activation of Cdc2. 2003, Pubmed , Xenbase
Prahlad, Fast transport of neurofilament protein along microtubules in squid axoplasm. 2000, Pubmed
Prahlad, Rapid movements of vimentin on microtubule tracks: kinesin-dependent assembly of intermediate filament networks. 1998, Pubmed
Rankin, The surface contraction waves of Xenopus eggs reflect the metachronous cell-cycle state of the cytoplasm. 1997, Pubmed , Xenbase
Sato, Waves of differentiation in the fly visual system. 2013, Pubmed
Sha, Hysteresis drives cell-cycle transitions in Xenopus laevis egg extracts. 2003, Pubmed , Xenbase
Straub, Calcium wave propagation in pancreatic acinar cells: functional interaction of inositol 1,4,5-trisphosphate receptors, ryanodine receptors, and mitochondria. 2000, Pubmed
Stricker, Comparative biology of calcium signaling during fertilization and egg activation in animals. 1999, Pubmed
Tomlinson, Cell fate in the Drosophila ommatidium. 1987, Pubmed
Verchot-Lubicz, Cytoplasmic streaming enables the distribution of molecules and vesicles in large plant cells. 2010, Pubmed
Weiner, An actin-based wave generator organizes cell motility. 2007, Pubmed
Winfree, Spiral waves of chemical activity. 1972, Pubmed
Yang, The Cdk1-APC/C cell cycle oscillator circuit functions as a time-delayed, ultrasensitive switch. 2013, Pubmed , Xenbase
Yde, Analyzing inflammatory response as excitable media. 2011, Pubmed
Yde, Modeling the NF-κB mediated inflammatory response predicts cytokine waves in tissue. 2011, Pubmed
