|
Figure 1 Control of axonemal proximodistal patterning by the small GTPase Rsg1. (a–a”) A representative Xenopus multiciliated cell (MCC), co-expressing GFP-MAP7, a marker of proximal ciliary identity, and RFP-CLAMP, a marker of the distal-tips of cilia. (b–b”) A MCC co-expressing GFP-MAP7 and RFP-CLAMP, and in which the function of the small GTPase, Rsg1, has been knocked-down (KD) by a translation-blocking antisense morpholino oligonucleotide. Note the significantly shortened or absent distal compartments of RFP-CLAMP as compared to controls. In addition, the proximal compartment marked by GFP-MAP7 is significantly expanded in these axonemes. This cell exhibits a moderate Rsg1 KD phenotype, and was chosen to facilitate direct comparison with the control cell. (c) Quantification of axonemal RFP-CLAMP compartments reveals a severe reduction in distal identity upon Rsg1 KD (Ctl [mean ± SD]: 1.78 ± 0.48 μm, n = 517 axonemes, 29 cells, 5 embryos vs. Rsg1 KD:
0.23 ± 0.34 μm, n = 361 axonemes, 28 cells, 5 embryos; ***P <0.0001). (d) Quantification of GFP-MAP7-positive compartments reveals a significant increase in proximal identity (Ctl: 1.90 ± 0.36 μm, n = 452 axonemes, 29 cells, 5 embryos vs. Rsg1 KD: 3.32 ± 0.95 μm, n = 364 axonemes, 39 cells, 5 embryos; ***P <0.0001). Scale bars represent 5 μm.

|
|
Figure 2 GFP-IFT20 accumulates in axonemes of Rsg1 KD MCCs. (a) High-magnification confocal image of axonemes from a control MCC expressing GFP-IFT20. The orange box indicates the region shown in a’. See also Additional file 1: Movie 1. (a’) A series of stills from Additional file 1: Movie 1. Yellow dashed lines outline the axoneme and distal is to the right. Pink and blue arrowheads indicate an anterograde train and a retrograde train, respectively. (b) High-magnification confocal image of axonemes from an Rsg1 KD MCC expressing GFP-IFT20. Orange box represents the region shown in b’. See also Additional file 2: Movie 2. (b’) A series of stills from Additional file 2: Movie 2. Yellow dashed lines outline the axoneme and distal is to the right. No IFT trains are visible during the course of the movie. (c–c”) A single confocal slice of an control MCC co-expressing membraneRFP and GFP-IFT20. (d–d”). A single confocal slice of an Rsg1 KD MCC co-expressing membraneRFP and GFP-IFT20. (e–e”) A single confocal slice of an Rsg1 KD2 (second-site morpholino) MCC co-expressing membrane-RFP and GFP-IFT20. Yellow arrowheads indicate large GFP-IFT20 accumulations in distal axonemes. (f) Quantification of mean GFP-IFT20 signal along control and Rsg1 KD axonemes,
as normalized to membrane-RFP intensity along the same length. Note the increase in normalized IFT20 signal in Rsg1 KD axonemes
(Ctl: 0.39 ± 0.17, n = 304 axonemes, 36 cells, 7 embryos vs. Rsg1 KD: 0.75 ± 0.45, n = 223 axonemes, 31 cells, 6 embryos; ***P <0.0001). (g) There is no significant difference in axonemal average membrane-RFP signal as normalized to cortical membrane-RFP signal from the same cell, between control and Rsg1 KD conditions (Ctl: 1.04 ± 0.33, n = 28 cells, 6 embryos vs. Rsg1 KD: 1.21 ± 0.36, n = 21 cells, 6 embryos; P = 0.2607). Scale bars in a–b’ indicate 3 μm. Scale bars in c-e” indicate 5 μm. Time stamps in a’ and b’ are relative to the first frame of Additional file 1: Movie 1 and Additional file 2: Movie 2, respectively.
|
|
Figure 3 GFP-IFT43 axonemal localization is reduced in Rsg1 KD MCCs. (a) High-magnification confocal image of axonemes from a control MCC expressing GFP-IFT43. The orange box indicates the region shown in a’. See also Additional file 3: Movie 3. (a’) A series of stills from Additional file 3: Movie 3. Yellow dashed lines outline the axoneme, and distal is to the right. Pink and blue arrowheads indicate an anterograde train and a retrograde train, respectively. (b) High-magnification confocal image of axonemes from a Rsg1 KD MCC expressing GFP-IFT43. Orange box represents the region shown in b’. See also Additional file 4: Movie 4. (b’) A series of stills from Additional file 4: Movie 4. Yellow dashed lines outline the axoneme, and distal is to the right. No IFT trains are visible during the course of the movie. Note that the entire axoneme exhibits a faint uniform background signal. (c–c”) A single confocal slice of a control MCC co-expressing membrane-RFP and GFP-IFT43. (d–d”) A single confocal slice of an Rsg1 KD MCC co-expressing membrane-RFP and GFP-IFT43. (e–e”) A signal confocal slice of an Rsg1 KD2 MCC co-expressing membrane-RFP and GFP-IFT43. (f) Quantification of mean GFP-IFT43 signal along control and Rsg1 KD axonemes, as normalized to membrane- RFP intensity along the same length. Note the decrease in normalized IFT43 signal in Rsg1 KD axonemes (Ctl: 0.28 ± 0.15, n = 225 axonemes, 28 cells, 5 embryos vs. Rsg1 KD: 0.15 ± 0.09, n = 250 axonemes, 32 cells, 6 embryos; ***P <0.0001). (g) Quantification of mean GFP-IFT43 signal along control and Rsg1 KD2 axonemes, as normalized to membrane-RFP intensity along the same length (Ctl: 0.26 ± 0.12, n = 200 axonemes, 44 cells, 6 embryos vs. Rsg1 KD: 0.15 ± 0.06, n = 223 axonemes, 52 cells, 6 embryos; ***P <0.0001). Scale bars in a–b’ indicate 3 μm. Scale bars in c–e” indicate 5 μm. Time stamps in a’ and b’ are relative to the first frame of Additional file 3: Movie 3 and Additional file 4: Movie 4, respectively.
|
|
Figure 4 GFP-IFT43 but not GFP-IFT20 requires Rsg1 function for localization to peri-basal body IFT pools. (a) A single confocal slice of the apical surface of a control MCC expressing GFP-IFT20 and centrin-RFP. (b) A single confocal slice of a representative Rsg1 KD MCC co- expressing GFP-IFT20 and centrin-RFP. Note that despite the decreased density of centrin-RFP foci there is still a strong correlation between the centrin-RFP and GFP-IFT20 localization patterns. (c) A single confocal slice of a representative Rsg1 KD2 MCC co-expressing GFP-IFT20 and centrin-RFP. (d) A representative control MCC expressing GFP-IFT43 and centrin-RFP. (e) A representative Rsg1 KD MCC expressing GFP-IFT43 and centrin-RFP. Notice the impaired localization of GFP-IFT43 to centrin-RFP foci. (f) A representative Rsg1 KD2 MCC expressing GFP-IFT43 and centrin-RFP. (g) Quantification of the mean of GFP-IFT20 foci mean intensities, as normalized to the same value for centrin-RFP, shows no significant change between control and Rsg1 KD MCCs (Ctl: 0.84 ± 0.28, n = 45 cells, 8 embryos vs. Rsg1 KD: 0.71 ± 0.26, n = 43 cells, 8 embryos, P = 0.042). (h). Quantification of the mean of GFP-IFT43 foci mean intensities, as normalized to the same value for centrin-RFP, shows a significant decrease between control and Rsg1 KD MCCs (Ctl: 0.59 ± 0.14, n = 41 cells, 8 embryos vs. Rsg1 KD: 0.37 ± 0.25, n = 41 cells, 8 embryos. ***P <0.0001). (i) Quantification of the mean area of GFP-IFT20 foci in a cell normalized against the same value for centrin-RFP shows no significant change between control and Rsg1 KD conditions (Ctl: 2.14 ± 0.79, n = 44 cells, 8 embryos vs. Rsg1 KD: 2.41 ± 0.80, n = 41 cells, 8 embryos; P = 0.3477). (j) Quantification of the mean area of GFP-IFT43 foci in a cell normalized against the same value for centrin-RFP shows a significant decrease in Rsg1 KD MCCs as compared to controls (Ctl: 1.98 ± 0.74, n = 39 cells, 8 embryos vs. Rsg1 KD: 0.69 ± 0.46, n = 39 cells, 8 embryos; ***P <0.0001). (k) There is no significant change in the number of GFP-IFT20 foci detected per centrin-RFP foci between control and Rsg1 KD MCCs (Ctl: 0.81 ± 0.15, n = 45 cells, 8 embryos vs. Rsg1 KD: 0.78 ± 0.19, n = 43 cells, 8 embryos; P = 0.062). (l) There is a significant reduction in the number of GFP-IFT43 foci detected per centrin-RFP foci between control and Rsg1 KD MCCs (Ctl: 0.76 ± 0.17, n = 41 cells, 8 embryos vs. Rsg1 KD: 0.25 ± 0.25, n = 41 cells, 8 embryos; ***P <0.0001).
(m) There is a reduction in the number of centrin-RFP foci detected on average in Rsg1 KD MCCs as compared to controls (Ctl: 106.90 ± 21.39, n = 45 cells, 8 embryos vs. Rsg1 KD: 72.95 ± 28.63, n = 43 cells, 8 embryos; ***P <0.0001). (n) The average area of detected centrin-RFP foci is not significantly different between control and Rsg1 KD MCCs, indicating that there are no gross abnormalities in apically docked basal bodies upon Rsg1 KD
(Ctl: 0.12 ± 0.02, n = 45 cells, 8 embryos vs. Rsg1 KD: 0.13 ± 0.03, n = 42 cells, 8 embryos; P = 0.685). Scale bars in a–f represent 5 μm.
|
|
Figure 5 Rsg1 controls apical trafficking of basal bodies. (a) A 3D-reconstruction of the long axis of a control MCC shows a consistent localization of centrin-RFP foci to the apical surface. (b) A 3D-reconstruction of the long axis of an Rsg1 KD MCC shows a disorganization of centrin-RFP foci and failure of some foci to localize apically. The grid-boxes in a and b are in 1 μm increments.
|
|
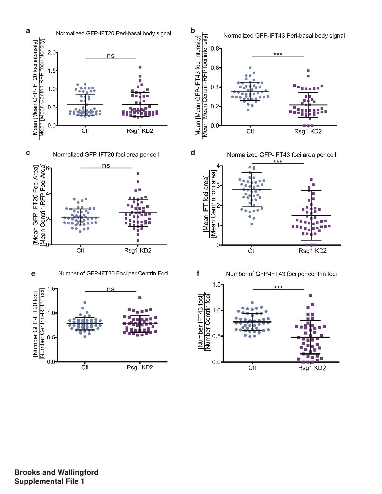
Additional file 5: Quantification of centrin and IFT analyses from Rsg1 KD2 MCCs. (a) Quantification of the mean of GFP-IFT20 foci mean intensities, as normalized to the same value for centrin-RFP, shows no significant change between control and Rsg1 KD2 MCCs (Ctl (mean ± SD): 0.57 ± 0.29, n = 48 cells, 7 embryos vs. Rsg1 KD2: 0.57 ± 0.33, n = 48 cells,
7 embryos; P = 0.8980). (b) Quantification of the mean of GFP-IFT43 foci mean intensities, as normalized to the same value for centrin-RFP, shows a significant decrease between control and Rsg1 KD MCCs (Ctl: 0.36 ± 0.09,
n = 47 cells, 5 embryos vs. Rsg1 KD2: 0.21 ± 0.17, n = 46 cells, 5 embryos; ***P <0.0001). (c) Quantification of the mean area of GFP-IFT20 foci in a cell normalized against the same value for centrin-RFP shows no significant change between control and Rsg1 KD2 conditions (Ctl: 2.17 ± 0.62,
n = 48 cells, 7 embryos vs. Rsg1 KD2: 2.51 ± 1.06, n = 48 cells, 7 embryos; P = 0.1212). (d) Quantification of the mean area of GFP-IFT43 foci in a cell normalized against the same value for centrin-RFP shows a significant decrease in Rsg1 KD2 MCCs as compared to controls (Ctl: 2.79 ± 0.86,
n = 47 cells, 5 embryos vs. Rsg1 KD2: 1.50 ± 1.25, n = 46 cells, 5 embryos; ***P <0.0001). (e) There is no significant change in the number of GFP-IFT20 foci detected per centrin-RFP foci between control and Rsg1 KD2 MCCs (Ctl: 0.78 ± 0.13, n = 48 cells, 7 embryos vs. Rsg1 KD2: 0.78 ± 0.17, n = 48 cells, 7 embryos; P = 0.5504). (f) There is a significant reduction in the number of GFP-IFT43 foci detected per centrin-RFP foci between control and Rsg1 KD2 MCCs (Ctl: 0.78 ± 0.17, n = 47 cells, 5 embryos vs. Rsg1 KD2: 0.48 ± 0.32, n = 46 cells, 5 embryos; ***P <0.0001).
|
|
Figure 1. Control of axonemal proximodistal patterning by the small GTPase Rsg1. (a?a?) A representative Xenopus multiciliated cell (MCC), co-expressing GFP-MAP7, a marker of proximal ciliary identity, and RFP-CLAMP, a marker of the distal-tips of cilia. (b?b?) A MCC co-expressing GFP-MAP7 and RFP-CLAMP, and in which the function of the small GTPase, Rsg1, has been knocked-down (KD) by a translation-blocking antisense morpholino oligonucleotide. Note the significantly shortened or absent distal compartments of RFP-CLAMP as compared to controls. In addition, the proximal compartment marked by GFP-MAP7 is significantly expanded in these axonemes. This cell exhibits a moderate Rsg1 KD phenotype, and was chosen to facilitate direct comparison with the control cell. (c) Quantification of axonemal RFP-CLAMP compartments reveals a severe reduction in distal identity upon Rsg1 KD (Ctl [mean ? SD]: 1.78 ? 0.48 ?m, n = 517 axonemes, 29 cells, 5 embryos vs. Rsg1 KD: 0.23 ? 0.34 ?m, n = 361 axonemes, 28 cells, 5 embryos; ***P <0.0001). (d) Quantification of GFP-MAP7-positive compartments reveals a significant increase in proximal identity (Ctl: 1.90 ? 0.36 ?m, n = 452 axonemes, 29 cells, 5 embryos vs. Rsg1 KD: 3.32 ? 0.95 ?m, n = 364 axonemes, 39 cells, 5 embryos; ***P <0.0001). Scale bars represent 5 ?m.
|
|
Figure 2. GFP-IFT20 accumulates in axonemes of Rsg1 KD MCCs. (a) High-magnification confocal image of axonemes from a control MCC expressing GFP-IFT20. The orange box indicates the region shown in a?. See also Additional file 1: Movie 1. (a?) A series of stills from Additional file 1: Movie 1. Yellow dashed lines outline the axoneme and distal is to the right. Pink and blue arrowheads indicate an anterograde train and a retrograde train, respectively. (b) High-magnification confocal image of axonemes from an Rsg1 KD MCC expressing GFP-IFT20. Orange box represents the region shown in b?. See also Additional file 2: Movie 2. (b?) A series of stills from Additional file 2: Movie 2. Yellow dashed lines outline the axoneme and distal is to the right. No IFT trains are visible during the course of the movie. (c?c?) A single confocal slice of an control MCC co-expressing membraneRFP and GFP-IFT20. (d?d?). A single confocal slice of an Rsg1 KD MCC co-expressing membraneRFP and GFP-IFT20. (e?e?) A single confocal slice of an Rsg1 KD2 (second-site morpholino) MCC co-expressing membrane-RFP and GFP-IFT20. Yellow arrowheads indicate large GFP-IFT20 accumulations in distal axonemes. (f) Quantification of mean GFP-IFT20 signal along control and Rsg1 KD axonemes, as normalized to membrane-RFP intensity along the same length. Note the increase in normalized IFT20 signal in Rsg1 KD axonemes (Ctl: 0.39 ? 0.17, n = 304 axonemes, 36 cells, 7 embryos vs. Rsg1 KD: 0.75 ? 0.45, n = 223 axonemes, 31 cells, 6 embryos; ***P <0.0001). (g) There is no significant difference in axonemal average membrane-RFP signal as normalized to cortical membrane-RFP signal from the same cell, between control and Rsg1 KD conditions (Ctl: 1.04 ? 0.33, n = 28 cells, 6 embryos vs. Rsg1 KD: 1.21 ? 0.36, n = 21 cells, 6 embryos; P = 0.2607). Scale bars in a?b? indicate 3 ?m. Scale bars in c-e? indicate 5 ?m. Time stamps in a? and b? are relative to the first frame of Additional file 1: Movie 1 and Additional file 2: Movie 2, respectively.
|
|
Figure 3. GFP-IFT43 axonemal localization is reduced in Rsg1 KD MCCs. (a) High-magnification confocal image of axonemes from a control MCC expressing GFP-IFT43. The orange box indicates the region shown in a?. See also Additional file 3: Movie 3. (a?) A series of stills from Additional file 3: Movie 3. Yellow dashed lines outline the axoneme, and distal is to the right. Pink and blue arrowheads indicate an anterograde train and a retrograde train, respectively. (b) High-magnification confocal image of axonemes from a Rsg1 KD MCC expressing GFP-IFT43. Orange box represents the region shown in b?. See also Additional file 4: Movie 4. (b?) A series of stills from Additional file 4: Movie 4. Yellow dashed lines outline the axoneme, and distal is to the right. No IFT trains are visible during the course of the movie. Note that the entire axoneme exhibits a faint uniform background signal. (c?c?) A single confocal slice of a control MCC co-expressing membrane-RFP and GFP-IFT43. (d?d?) A single confocal slice of an Rsg1 KD MCC co-expressing membrane-RFP and GFP-IFT43. (e?e?) A signal confocal slice of an Rsg1 KD2 MCC co-expressing membrane-RFP and GFP-IFT43. (f) Quantification of mean GFP-IFT43 signal along control and Rsg1 KD axonemes, as normalized to membrane-RFP intensity along the same length. Note the decrease in normalized IFT43 signal in Rsg1 KD axonemes (Ctl: 0.28 ? 0.15, n = 225 axonemes, 28 cells, 5 embryos vs. Rsg1 KD: 0.15 ? 0.09, n = 250 axonemes, 32 cells, 6 embryos; ***P <0.0001). (g) Quantification of mean GFP-IFT43 signal along control and Rsg1 KD2 axonemes, as normalized to membrane-RFP intensity along the same length (Ctl: 0.26 ? 0.12, n = 200 axonemes, 44 cells, 6 embryos vs. Rsg1 KD: 0.15 ? 0.06, n = 223 axonemes, 52 cells, 6 embryos; ***P <0.0001). Scale bars in a?b? indicate 3 ?m. Scale bars in c?e? indicate 5 ?m. Time stamps in a? and b? are relative to the first frame of Additional file 3: Movie 3 and Additional file 4: Movie 4, respectively.
|
|
Figure 4. GFP-IFT43 but not GFP-IFT20 requires Rsg1 function for localization to peri-basal body IFT pools. (a) A single confocal slice of the apical surface of a control MCC expressing GFP-IFT20 and centrin-RFP. (b) A single confocal slice of a representative Rsg1 KD MCC co-expressing GFP-IFT20 and centrin-RFP. Note that despite the decreased density of centrin-RFP foci there is still a strong correlation between the centrin-RFP and GFP-IFT20 localization patterns. (c) A single confocal slice of a representative Rsg1 KD2 MCC co-expressing GFP-IFT20 and centrin-RFP. (d) A representative control MCC expressing GFP-IFT43 and centrin-RFP. (e) A representative Rsg1 KD MCC expressing GFP-IFT43 and centrin-RFP. Notice the impaired localization of GFP-IFT43 to centrin-RFP foci. (f) A representative Rsg1 KD2 MCC expressing GFP-IFT43 and centrin-RFP. (g) Quantification of the mean of GFP-IFT20 foci mean intensities, as normalized to the same value for centrin-RFP, shows no significant change between control and Rsg1 KD MCCs (Ctl: 0.84 ? 0.28, n = 45 cells, 8 embryos vs. Rsg1 KD: 0.71 ? 0.26, n = 43 cells, 8 embryos, P = 0.042). (h). Quantification of the mean of GFP-IFT43 foci mean intensities, as normalized to the same value for centrin-RFP, shows a significant decrease between control and Rsg1 KD MCCs (Ctl: 0.59 ? 0.14, n = 41 cells, 8 embryos vs. Rsg1 KD: 0.37 ? 0.25, n = 41 cells, 8 embryos. ***P <0.0001). (i) Quantification of the mean area of GFP-IFT20 foci in a cell normalized against the same value for centrin-RFP shows no significant change between control and Rsg1 KD conditions (Ctl: 2.14 ? 0.79, n = 44 cells, 8 embryos vs. Rsg1 KD: 2.41 ? 0.80, n = 41 cells, 8 embryos; P = 0.3477). (j) Quantification of the mean area of GFP-IFT43 foci in a cell normalized against the same value for centrin-RFP shows a significant decrease in Rsg1 KD MCCs as compared to controls (Ctl: 1.98 ? 0.74, n = 39 cells, 8 embryos vs. Rsg1 KD: 0.69 ? 0.46, n = 39 cells, 8 embryos; ***P <0.0001). (k) There is no significant change in the number of GFP-IFT20 foci detected per centrin-RFP foci between control and Rsg1 KD MCCs (Ctl: 0.81 ? 0.15, n = 45 cells, 8 embryos vs. Rsg1 KD: 0.78 ? 0.19, n = 43 cells, 8 embryos; P = 0.062). (l) There is a significant reduction in the number of GFP-IFT43 foci detected per centrin-RFP foci between control and Rsg1 KD MCCs (Ctl: 0.76 ? 0.17, n = 41 cells, 8 embryos vs. Rsg1 KD: 0.25 ? 0.25, n = 41 cells, 8 embryos; ***P <0.0001). (m) There is a reduction in the number of centrin-RFP foci detected on average in Rsg1 KD MCCs as compared to controls (Ctl: 106.90 ? 21.39, n = 45 cells, 8 embryos vs. Rsg1 KD: 72.95 ? 28.63, n = 43 cells, 8 embryos; ***P <0.0001). (n) The average area of detected centrin-RFP foci is not significantly different between control and Rsg1 KD MCCs, indicating that there are no gross abnormalities in apically docked basal bodies upon Rsg1 KD (Ctl: 0.12 ? 0.02, n = 45 cells, 8 embryos vs. Rsg1 KD: 0.13 ? 0.03, n = 42 cells, 8 embryos; P = 0.685). Scale bars in a?f represent 5 ?m.
|
|
Figure 5. Rsg1 controls apical trafficking of basal bodies. (a) A 3D-reconstruction of the long axis of a control MCC shows a consistent localization of centrin-RFP foci to the apical surface. (b) A 3D-reconstruction of the long axis of an Rsg1 KD MCC shows a disorganization of centrin-RFP foci and failure of some foci to localize apically. The grid-boxes in a and b are in 1 ?m increments.
|