|
Fig. 1. Custos is required for anterior development. (A) Schematic representation of Custos and its domains. Arrowheads indicate the two clusters of dual CKI phosphorylation sites. (B) Custos-MO blocks translation of tagged-Custos protein and depletes endogenous Xenopus Custos protein levels. Myc-tagged Custos RNA containing the MO binding site was coinjected with control MO or Custos-MO, and tagged-protein was visualized by SDS/PAGE and Western blotting (Left). Endogenous Custos protein was assessed using anti-Custos antibody (Right). (C) Depletion and overexpression of Custos induce anterior head defects. The indicated RNA or MO was injected into the two dorsal blastomeres of 4-cell embryos. (D) Suppression of head development was scored by the dorso-anterior index (DAI). The numbers above each bar indicate the number of injected embryos.
|
|
Fig. 2. Dysregulation of Custos inhibits the canonical Wnt pathway. (A and B) Overexpression or depletion of Custos reduced organizer gene expression (A) and anterior markers (B). Custos RNA (1.5 ng) or Custos-MO (50 ng) was injected with LacZ (250 pg) RNA into one dorsal cell of four-cell embryos. At stage 10.5, the expression level of organizer genes Xnr3 and Goosecoid (Gsc), or at stage 26, the expression of anterior markers Rx1, N-CAM and Wnt1, was examined by in situ hybridization. Red staining indicates the injected side. The number of embryos scored is shown on each panel. (C) Custos regulates nuclear accumulation of β-catenin at stage 10.5. Custos-MO (50 ng) or myc-Custos RNA (1 ng) was injected into one dorsal blastomere of four-cell embryos. mCherry RNA (250pg) was coinjected and red fluorescence was used as tracer for the injected side. Embryos were fixed at stage 10.5, and immunohistochemistry was performed with antiâβ-catenin and anti-myc antibodies. Arrowheads indicate cells with nuclear accumulation of β-catenin.
|
|
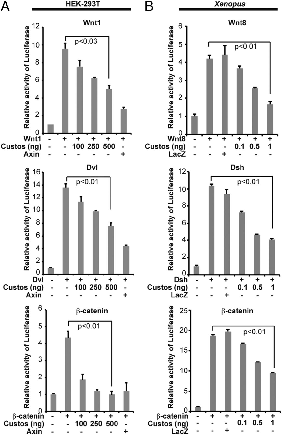
Fig. 3. Custos inhibits Wnt signal transduction. (A) Topflash reporters were cotransfected into HEK-293T cells with expression plasmids for Wnt1, Dvl or β-catenin and Custos, as indicated. (B) Topflash reporter was coinjected with Wnt8, Dsh, or β-catenin and Custos RNAs into all cells of two-cell embryos. Cell or embryo lysates (stage 10.5) were subjected to luciferase assay and normalized to reporter-only samples.
|
|
Fig. 4. Custos binds to β-catenin and regulates its nuclear translocation. (A) HA-Custos was transfected into HEK-293T cells, the cells were treated with 250 ng/mL recombinant mouse Wnt3a, and lysed at different time points. HA-Custos was immunoprecipitated from cell lysates, and coimmunoprecipitated β-catenin was detected by SDS/PAGE and Western Blotting. The α-ABC antibody detects the active form of β-catenin. (B) Overexpression of Custos and truncated forms of Custos inhibits nuclear accumulation of β-catenin in HeLa cells. Myc-Custos transfected cells were treated with 250 ng/mL recombinant mouse Wnt3a for 3 h and then subjected to immunocytochemistry with the indicated antibodies. DAPI staining was used to show the cellâs nucleus. (C) Quantification of the studies in B; nuclei positive for β-catenin staining (as in the first panel of B) were counted. (D) Colocalization of myc-Custos with laminA/C. HeLa cells were transfected with myc-Custos and then subjected to immunocytochemistry with the indicated antibodies.
|
|
Fig. 5. Custos is required for anterior development in zebrafish. (A and B) 25â100 pg of Myc-tagged Custos RNA was injected into the one-cell embryo and scored at 28 h postfertilization (hpf) for suppression of head development by the V1âV4 index. The numbers above each bar indicate the number of injected embryos. (C and E) Injection of Custos MO1 (C) or Custos MO2 (E) suppressed head and eye development which was rescued by coinjection of Custos Rescue RNA (2â4 pg). MOs (5â15 ng) were injected at the one-cell stage and embryos were scored at 24 hpf. (D and F) Quantitation of the results in C and E, respectively. The numbers above each bar indicate the number of injected embryos.
|
|
Fig. S1. Amino acid alignment of Xenopus, Zebrafish, rat, mouse, and human orthologs of Custos by the multiple sequence alignment computer program
ClustalW (1). Identical residues are shown in black. Black lines indicate the putative nuclear localization signals of Xenopus Custos. Black arrowheads indicate
the putative CK1 recognition sites (2).
|
|
Fig. S2. Custos is a binding partner of Dvl. (A) Custos binds to Dvl2. See Fig. S3 for schematic diagrams of the Custos and Dvl2 proteins and mutants used. HACustos
and Flag-Dvl2 were transfected into HEK-293T cells and the proteins were immunoprecipitated from lysates and resolved by SDS/PAGE and Western
blotting using the indicated antibodies. Coexpression of Custos with Dvl induced a band-shift of Custos, which is an unphosphorylated form of the protein. (B)
Custos-Dvl complex formation was decreased with Wnt stimulation. HA-Custos was transfected into HEK-293T cells and cells were treated with 250 ng/mL
recombinant mouse Wnt3a. Endogenous Dvl2 was immunoprecipitated from cell lysates at different time points with anti-Dvl2 antibody, and coimmunoprecipated
HA-Custos was detected by blotting. Lysates were immunoblotted with indicated antibodies to check sample loading. (C) Dvl2 interacts with NLS1
and NLS2 of Custos. Flag-Dvl2 and HA-tagged Custos mutants were transfected into HEK-293T cells and the proteins were immunoprecipitated from cell lysates
with the indicated antibodies. (D and E) The Custos binding region on Dvl2 mapped to between PDZ and DEP domain of Dvl2. HA-Custos and myc-tagged or Flag-tagged mutants of Dvl2 were transfected into HEK-293T cells and subjected to immunoprecipitation assays. (F) Custos interacts with casein kinase 1 (CK1).
GST-Custos protein was purified and incubated with in-vitro translated CK1. (G) Custos is phosphorylated by CK1. In vitro kinase reactions using GST or GSTCustos
revealed Custos is a substrate for CK1, CREB is used as a positive control.
|
|
Fig. S3. (A) Schematic representation of the Dishevelled constructs used in the binding studies along with black line reflecting the Custos binding region
within Dishevelled. Numbers indicate amino acid position. (B) Schematic representation of the Custos constructs used in the binding studies along with black
line reflecting the Dishevelled-binding region within Custos. Numbers indicate amino acid position. (C) Expression of Dishevelled with Custos causes
a downshift in the migration of Custos on an SDS/PAGE gel due to a dephosphorylation, and this phosphorylation site is mapped to S3 and S4 casein kinase
recognition sites within Custos.
|
|
Fig. S4. Temporal and spatial expression pattern of Custos in Xenopus embryo. (A) Xenopus Custos is expressed throughout development. The expression
level of Custos RNA was assessed by RT-PCR analysis. Ornithine Decarboxylase (ODC) was used as an internal control, RT(â) is without reverse transcriptase as
a negative control. (B) Custos is highly expressed in the anterior region of the embryo. Whole-mount in situ hybridization was performed using a Xenopus
Custos anti-sense RNA probe. No signal was detected using a Custos sense RNA probe. (C) Expression of Custos does not induce or suppress levels of activated
RhoA in HEK-293T cells; the GEF Ephexin is used as a positive control. (D) Sequence of Xenopus Custos antisense morpholino oligonucleotide (MO) is indicated
by red letters.
|
|
Fig. S5. Misexpression of Custos reduces the expression level of brain and eye marker genes. Custos RNA or Custos-MO was coinjected with LacZ RNA into one
dorsal cell of four-cell embryos. At stage 26, in situ hybridization was performed with the indicated probes. Red staining shows expression of LacZ as tracer for
the injected side of the embryo. The number of embryos scored is indicated on each panel. cg, cement gland; e, eye; hb, hindbrain; mb, midbrain.
Komiya
|
|
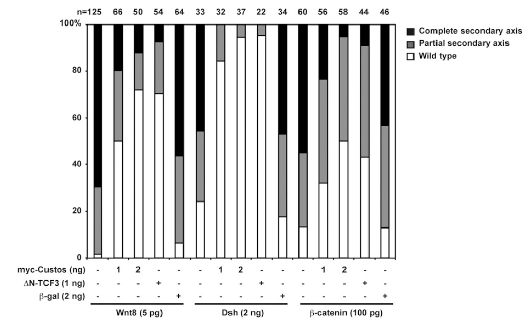
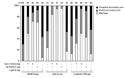
Fig. S6. Overexpression of Custos inhibits secondary axis induction by positive components of canonical Wnt signaling. Indicated RNAs along with doses were
injected into two ventral blastomeres of four-cell embryos and secondary axis was assessed at stage 30â35. δN-TCF3, a known inhibitor of Wnt signaling (1), is
used as a positive control.
|
|
Fig. S7. (A) Custos expression does not affect Activin-mediated reporter activity. Embryos were injected with Activin-response element containing reporter
plasmid and Custos RNA. At stage 8, animal caps were dissected and cultured with recombinant activin, 25 ng/mL, to stage 12. Total luciferase activity was
normalized to embryos injected with reporter only. (B) Sequence of Zebrafish Custos-MO is indicated. Red letters show the initiation codon. The rescue
construct does not contain homologous nucleotides upstream of the ATG codon.
|
|
c1h12orf43 (chromosome 1 C12orf43 homolog) gene expression in Xenopus laevis embryo, assayed via in situ hybridization, NF stage 9, animal view.
|
|
c1h12orf43 (chromosome 1 C12orf43 homolog) gene expression in Xenopus laevis embryo, assayed via in situ hybridization, NF stage 15, lateral view, anterior left, dorsal up.
|
|
c1h12orf43 (chromosome 1 C12orf43 homolog) gene expression in Xenopus laevis embryo, assayed via in situ hybridization, NF stage 20, dorsal view, anterior left.
|
|
c1h12orf43 (chromosome 1 C12orf43 homolog) gene expression in Xenopus laevis embryo, assayed via in situ hybridization, NF stage 30, lateral view, anterior left, dorsal up.
|