|
Figure 1. I-V relationships of hASIC1a. (A) Repeated application of pH 5.0 medium (at arrow) to an oocyte clamped at −100 to 80 mV at 20-mV intervals. (B) Application of voltage ramps of 50-ms duration from −100 to 80 mV at 200-ms intervals before and during application of pH 5.0 medium. (C) Comparison of peak current versus voltage from A (red) with peak ramp response in B (black).
|
|
Figure 2. Effects of replacement of bath Na+ with K+. (A) Replacement of NaCl with KCl in the presence of 2 mM Ca2+. (B) Replacement of NaCl with KCl in the absence of Ca2+. (C) Replacement of NaMeSO4 with K MeSO4 in the presence of 2 mM Ca2+. (D) Replacement of NaCl with 20 mM Ca (MeSO4)2. (E) Replacement of NaCl with 75 mM MgCl2. In all cases, currents were normalized to values obtained at Vm = −100 mV with 110 mM NaCl (I0). Data represent means ± SEM for four to seven measurements.
|
|
Figure 3. Replacement of bath Na+ with NMDG+. Blue inverted triangles: [Ca2+] = 2 mM. Red circles: [Ca2+] = 0 mM. Green triangles: [Ca2+] = 0 mM with 10 mM K+ added. Currents were normalized to values obtained with 110 mM NaCl (black squares) at Vm = −100 mV (I0). Data represent means ± SEM for three to six measurements.
|
|
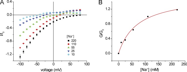
Figure 4. Inward conductance as a function of external [Na+]. (A) I-V relationships in the presence of different [Na+] with replacement by NMDG+. All solutions were nominally Ca2+ free. Currents were normalized to values obtained at Vm = −100 mV with 110 mM NaCl. In the case of [Na+] = 220 mM, the currents were normalized to those obtained at Vm = −100 mV with 110 mM NaCl + 110 mM NMDG·Cl. Data represent means ± SEM for 5–11 measurements. (B) Inward slope conductance as a function of [Na+]. Slope conductances were normalized to values at 110 mM NaCl (G0) and were fit to the following equation: G/Gmax = [Na+]/{[Na+] + KNa}. Best-fit values were Gmax = 1.23 ± 0.12, KNa = 25 ± 8 mM.
|
|
Figure 5. Inward currents as a function of external [K+]. (A) I-V relationships with NaCl replaced with 25 mM NaCl + 85 mM NMDG·Cl (blue triangles) or with 25 mM NaCl + 85 mM KCl. All solutions were nominally Ca2+ free. Currents were normalized to values obtained at Vm = −100 mV with 110 mM NaCl (I0). Data represent means ± SEM for five measurements. (B) I-V relationships in the absence of Na+ and Ca2+ with [K+] = 10, 25, 50, 110, and 220 mM. Data represent means ± SEM for three to nine measurements. (C) Inward slope conductance as a function of [K+].
|
|
Figure 6. Monovalent alkali cation selectivity. (A) I-V relationships with NaCl replaced by LiCl, RbCl, or CsCl. All solutions were nominally Ca2+ free. (B) I-V relationships with Na+ replaced by KCl, RbCl, or NMDG·Cl in the absence of Ca2+. Currents were normalized to values obtained at Vm = −100 mV with 110 mM NaCl. Data represent means ± SEM for 5–13 measurements. (C) Values of Gx/GNa obtained from ratios of inward slope conductance in A and B. Values of Px/PNa were obtained from the shift in reversal potential in A and B.
|
|
Figure 7. Selectivity for nitrogen-based cations. (A–C) I-V relationships with NaCl replaced by NH4Cl (A), NH3OH·Cl (B), or guanidinium·Cl (C). All solutions were nominally Ca2+ free. Currents were normalized to values obtained at Vm = −100 mV with 110 mM NaCl (I0). Data represent means ± SEM for 5–11 measurements. (D) Values of Gx/GNa obtained from ratios of inward slope conductance in A–C. Values of Px/PNa were obtained from the shift in reversal potential in A–C.
|
|
Figure 8. Block of Na+ currents by guanidinium+. (A) I-V relationships with 110 mM NaCl and with NaCl replaced by 25 mM NaCl + 85 mM NMDG·Cl or 25 mM NaCl + 85 mM guanidinium·Cl. All solutions were nominally Ca2+ free. Currents were normalized to values obtained at Vm = −100 mV with 110 mM NaCl (I0). Data represent means ± SEM for 3–10 measurements. (B) Similar to A with NH4OH·Cl replacing NaCl.
|
|
Figure 9. Conductance and block of ASIC1 channels by guanidinium. (A) I-V relationships with NaCl replaced in part or in full by guanidinium·Cl, in the nominal absence of Ca2+. Currents were normalized to values obtained at Vm = −100 mV with 110 mM NaCl (I0). Data represent means ± SEM for 8–15 measurements. (B) Chord conductance as a function of [guanidinium+] at constant [Na+] + [guanidinium+]. Data represent means ± SEM for 5–15 measurements and were fit by Eq. 3 (see Materials and methods), which yielded a best fit values of Gguan,max = 0.33 and Kguan = 2.2 mM.
|
|
Figure 10. I-V relationships of WT hASIC and D434N mutant. (A) Comparison of WT and D434N. The bath contained 110 mM NaCl in the nominal absence of Ca2+. Currents were normalized to values obtained at Vm = −100 mV (I0). (B) Currents through the D434N mutant with 110 mM NaCl and 110 mM KCl in the nominal absence of Ca2+. Currents were normalized to values obtained at Vm = −100 mV (I0).
|
|
Figure 11. hASIC currents in outside-out excised patches. The bath contained 110 mM NaCl. The pH was changed from 7.4 to 5.0 (arrows). Single-channel currents were measured when all but one of the activated channels had desensitized. (A) WT and D434 currents. (B) I-V relationships obtained from data as shown in A. Data represent means ± SEM for 3–15 observations.
|
|
Figure 12. Inward conductance as a function of external [Na+] for hASIC1a D434. (A) I-V relationships with different [Na+]. NMDG+ replaced Na+. Currents were normalized to values obtained at Vm = −100 mV with 110 mM NaCl (I0). In the case of [Na+] = 220 mM, the currents were normalized to those obtained at Vm = −100 mV with 110 mM NaCl + 110 mM NMDG·Cl. Data represent means ± SEM for four to five measurements. (B) Inward slope conductance as a function of [Na+]. Slope conductances were normalized to values at 110 mM NaCl (G0) and were fit to the equation G/Gmax = [Na+]/{[Na+] + KNa}. Best-fit values were Gmax = 1.58 and KNa = 72 mM.
|
|
Figure 13. Conductance and block of hASIC1a D434N channels by guanidinium. (A) I-V relationships with NaCl replaced in part or in full by guanidinium·Cl, in the nominal absence of Ca2+. Currents were normalized to values obtained at Vm = −100 mV with 110 mM NaCl (I0). (B) Chord conductance as a function of [guanidinium+] at constant [Na+] + [guanidinium+]. Data were fit by Eq. 3 (see Materials and methods), which yielded best-fit values of Gguan,max = 0.34 and Kguan = 3.9 mM. (A and B) Data represent means ± SEM for 6–14 measurements.
|
|
Figure 14. Monovalent alkali cation selectivity of hASIC1a D434. (A) I-V relationships with NaCl replaced by LiCl, KCl, RbCl, or CsCl in the nominal absence of Ca2+. Currents were normalized to values obtained at Vm = −100 mV with 110 mM NaCl (I0). Data represent means ± SEM for five to eight measurements. (B) Values of Gx/GNa obtained from ratios of chord conductances in A. Values of Px/PNa were obtained from the shift in reversal potential in A.
|
|
Figure 15. Cartoon of the pore region. The negatively charged outer vestibule with the D434 residues interacts with ions as they pass through the channel (light gray circle). Removal of the negative charges reduces single-channel conductance, shifts selectivity, and decreases the apparent affinity of the conduction pathway for Na+. The ions interact more strongly with an inner binding site (dark gray circle) that confers selectivity.
|