Click here to close
Hello! We notice that you are using Internet Explorer, which is not supported by Xenbase and may cause the site to display incorrectly.
We suggest using a current version of Chrome,
FireFox, or Safari.
Nucleic Acids Res
2014 Jul 01;4213:8767-76. doi: 10.1093/nar/gku562.
Show Gene links
Show Anatomy links
Revealing transient structures of nucleosomes as DNA unwinds.
Chen Y
,
Tokuda JM
,
Topping T
,
Sutton JL
,
Meisburger SP
,
Pabit SA
,
Gloss LM
,
Pollack L
.
???displayArticle.abstract???
The modulation of DNA accessibility by nucleosomes is a fundamental mechanism of gene regulation in eukaryotes. The nucleosome core particle (NCP) consists of 147 bp of DNA wrapped around a symmetric octamer of histone proteins. The dynamics of DNA packaging and unpackaging from the NCP affect all DNA-based chemistries, but depend on many factors, including DNA positioning sequence, histone variants and modifications. Although the structure of the intact NCP has been studied by crystallography at atomic resolution, little is known about the structures of the partially unwrapped, transient intermediates relevant to nucleosome dynamics in processes such as transcription, DNA replication and repair. We apply a new experimental approach combining contrast variation with time-resolved small angle X-ray scattering (TR-SAXS) to determine transient structures of protein and DNA constituents of NCPs during salt-induced disassembly. We measure the structures of unwrapping DNA and monitor protein dissociation from Xenopus laevis histones reconstituted with two model NCP positioning constructs: the Widom 601 sequence and the sea urchin 5S ribosomal gene. Both constructs reveal asymmetric release of DNA from disrupted histone cores, but display different patterns of protein dissociation. These kinetic intermediates may be biologically important substrates for gene regulation.
Figure 1. Contrast variation reveals DNA conformation within protein–nucleic acid complexes. (a) Cartoon depicting how contrast variation is used to isolate scattering from the DNA component in protein–nucleic acid complexes. Left: The protein–nucleic acid complex in solution can be approximated as three phases with electron densities ρSOLV (light blue), ρPROT (orange), and ρDNA (dark blue). Right: Because contrast arises from electron density differences, the electron density of the solvent is increased by adding small molecules such as sucrose until it matches that of the protein. Consequently, the protein is effectively ‘blanked’ and only the DNA contributes to the measured scattering signal. (b) Scattering profiles for NCP components measured separately in 2 M NaCl with and without sucrose. In 50% sucrose, proteins become invisible above the background and only the DNA contributes to the scattering. The resulting signal for the DNA is decreased because of the reduced contrast between the DNA and solvent.
Figure 2. Schematic of stopped-flow mixing experiment to probe salt-induced disassembly of NCPs without sucrose. Compact NCPs in 0.2 M NaCl mix with buffer containing 3.0 M NaCl to achieve a final NaCl concentration of 1.9 M, where full NCP disassembly occurs. The optimal flow rates and volumes used were 6 ml/s and 315 μl for 0% sucrose and 7.5 ml/s and 375 μl for 50% sucrose. In 0% sucrose, both nucleosomal DNA and histones are ‘visible’, hence TR-SAXS data reports changes in NCP global size, structure and composition. In 50% sucrose, only nucleosomal DNA is ‘visible’, TR-SAXS data directly reveals changes in DNA conformation. λ is the wavelength of the incident X-rays (in Å).
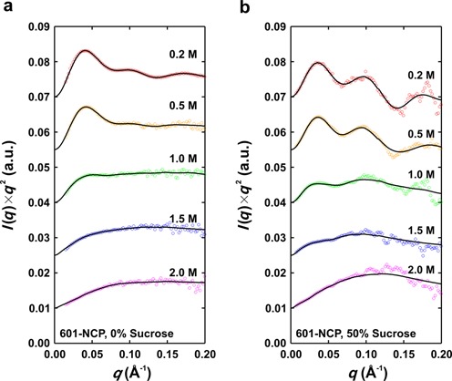
Figure 3. Kratky plots for 601-NCP in varied [NaCl] with (a) 0% and (b) 50% sucrose. The data (colored circles) and regularized fits to the data (black lines) are scaled and offset to enhance visualization. Because the data in (b) are significantly noisier, a moving average with a span of 9 was used to show the quality of the fits. The transition from a compact to an extended structure is observed as the strongly peaked curve changes to a more plateaued curve at high q with increasing [NaCl].
Figure 4. Contrast variation reveals DNA conformation during salt-induced disassembly. (a) Radius of gyration (Rg) for 601-NCP and 5S-NCP in equilibrium with different NaCl concentration with and without sucrose. An expansion in size from 45 to 130 Å is detected for both constructs with increasing [NaCl]. At 1 M NaCl and 50% sucrose, the 5S-NCP DNA (72 ± 3 Å) is more expanded than the 601-NCP (63 ± 1 Å). (b) P(R)s for 601-NCP in equilibrium with varied [NaCl] and 0% sucrose. A general extension of the NCP is observed with increasing [NaCl]. (c) Models used for calculating theoretical P(R)s for the wrapped (DNA component from the NCP crystal structure 1AOI) and unwrapped (linear 147 bp Widom 601 DNA) states. (d) P(R) peaks at three length scales are attributed to structural features as follows: d1—diameter of duplex DNA; d2—distance between overlapping DNA ends; d3—diameter of wrapped structure. (e) P(R)s for 601-NCP in equilibrium with varied [NaCl] and 50% sucrose. With the signal from proteins eliminated, P(R) reveals how DNA conformation changes as the NCP is destabilized by increasing [NaCl]. (f) Models representing ensembles of conformations selected by EOM that produce theoretical SAXS profiles that best fit the [NaCl]-dependent SAXS data. Percentages reporting weights of models and χ2 values assessing overall fit to experimental SAXS data are shown.
Figure 5. I(0,t) and Rg(t) analysis monitoring protein dissociation and expansion of NCP size as DNA is released. (a and b) In 0% sucrose, I(0) values (black circles) monitor the time-dependent release of histone components for the 601-NCP and 5S-NCP, respectively. The 601-NCP remains intact for the first 200 ms and is described by a single exponential decay, whereas the 5S-NCP appears to dissociate faster, but shows a double exponential decay. In 50% sucrose, I(0) values (light/cyan circles) are decreased due to the reduced contrast and remain relatively unchanged since the signal arises from DNA alone. (c and d) Time-dependent changes in the radius of gyration reveals DNA unwrapping for 601-NCP and 5S-NCP, respectively. Dynamics were monitored on time scales ranging from 20 ms to 60 s after mixing. Equilibrium values for intact (in 0.2 M NaCl, corrected for contrast – see Supplementary Text: I(0) Analysis) and fully dissociated (in 2.0 M NaCl for 10 min) NCP states are shown for comparison. The gray dashed lines in (c) and (d) represent the Rgs for 601-NCP (=82.15 Å) and 5S-NCP (=95.37 Å) if the ‘J’-shaped DNAs (Figure 6c and d) are bound to intact histone octamers (models shown in Supplementary Figure S7a).
Figure 6. Time-resolved SAXS with contrast variation reveals DNA conformation of kinetic intermediates. (a) Pairwise distance distribution functions, P(R), computed from time-resolved scattering profiles of 601-NCP and 5S-NCP in 0% sucrose. (b) Time-resolved P(R)s for 601-NCP and 5S-NCP in 50% sucrose revealing DNA conformational changes during salt-induced disassembly. (c and d) Comparison of experimental scattering profiles for (c) 601-NCP and (d) 5S-NCP in 50% sucrose with best fitting theoretical scattering profiles for symmetric (black lines) and asymmetric (red lines) models for the wrapped, intermediate and unwrapped DNAs (offset to aid visualization). Theoretical profiles are calculated from the models shown as insets. The intermediate DNA models were determined using EOM and the goodness of fits was assessed by comparing χ2 values. (e and f) P(R)s for the ensembles (red) selected by EOM analysis (models shown with χ2 fit to SAXS data) compared with the experimental P(R)s (black) determined from (e) the 200 ms kinetic intermediate of the 601-NCP in 50% sucrose and (f) 160 ms data of the 5S-NCP in 50% sucrose (for details see Supplementary Text: Minimum Chi-square (χ2) Fit, Ensemble Optimization Method and Supplementary Figure S8).
Figure 7. Timeline of salt-induced disassembly of 601-NCP and 5S-NCP. For 601-NCP, DNA opens rapidly from one end and reaches a metastable conformation within the first 20 ms. The histone octamer is disrupted by the asymmetric unwinding, but retains strong electrostatic interactions with 601 DNA and maintains a ‘J’-shaped structure for ∼200 ms. This long-lived intermediate then dissociates at a rate of 0.74 ± 0.08 s−1. 5S-NCPs exhibit much faster dissociation dynamics. After 20 ms, the DNA is mostly unwrapped and extended but still bound to the histone components. No stable intermediates are detected and 5S-NCPs disassemble within 1 s (two rates measured: 41.6 ± 13.9 and 1.13 ± 0.74 s−1).
Andrews,
Nucleosome structure(s) and stability: variations on a theme.
2011, Pubmed
Andrews,
Nucleosome structure(s) and stability: variations on a theme.
2011,
Pubmed
Andrews,
A coupled equilibrium approach to study nucleosome thermodynamics.
2011,
Pubmed
Arimura,
Structural analysis of the hexasome, lacking one histone H2A/H2B dimer from the conventional nucleosome.
2012,
Pubmed
Banks,
Equilibrium folding of the core histones: the H3-H4 tetramer is less stable than the H2A-H2B dimer.
2003,
Pubmed
Bao,
Nucleosomes containing the histone variant H2A.Bbd organize only 118 base pairs of DNA.
2004,
Pubmed
Bernadó,
Structural characterization of flexible proteins using small-angle X-ray scattering.
2007,
Pubmed
Bertin,
H2A and H2B tails are essential to properly reconstitute nucleosome core particles.
2007,
Pubmed
,
Xenbase
Bertin,
Role of histone tails in the conformation and interactions of nucleosome core particles.
2004,
Pubmed
Bertin,
H3 and H4 histone tails play a central role in the interactions of recombinant NCPs.
2007,
Pubmed
Böhm,
Nucleosome accessibility governed by the dimer/tetramer interface.
2011,
Pubmed
Chakravarthy,
Structural characterization of the histone variant macroH2A.
2005,
Pubmed
,
Xenbase
Chua,
The mechanics behind DNA sequence-dependent properties of the nucleosome.
2012,
Pubmed
,
Xenbase
Dyer,
Reconstitution of nucleosome core particles from recombinant histones and DNA.
2004,
Pubmed
Gansen,
Nucleosome disassembly intermediates characterized by single-molecule FRET.
2009,
Pubmed
Gloss,
The effect of salts on the stability of the H2A-H2B histone dimer.
2002,
Pubmed
,
Xenbase
Hoch,
Protein-protein Förster resonance energy transfer analysis of nucleosome core particles containing H2A and H2A.Z.
2007,
Pubmed
,
Xenbase
Howell,
Elucidating internucleosome interactions and the roles of histone tails.
2013,
Pubmed
Inoko,
X-ray scattering study of the shape of the DNA region in nucleosome core particle with synchrotron radiation.
1992,
Pubmed
Killian,
Recent advances in single molecule studies of nucleosomes.
2012,
Pubmed
Kireeva,
Nucleosome remodeling induced by RNA polymerase II: loss of the H2A/H2B dimer during transcription.
2002,
Pubmed
Koopmans,
Single-pair FRET microscopy reveals mononucleosome dynamics.
2007,
Pubmed
Li,
Rapid spontaneous accessibility of nucleosomal DNA.
2005,
Pubmed
Lowary,
New DNA sequence rules for high affinity binding to histone octamer and sequence-directed nucleosome positioning.
1998,
Pubmed
Luger,
Characterization of nucleosome core particles containing histone proteins made in bacteria.
1997,
Pubmed
,
Xenbase
Luger,
Rise of the molecular machines.
2010,
Pubmed
Mangenot,
Salt-induced conformation and interaction changes of nucleosome core particles.
2002,
Pubmed
Mazurkiewicz,
On the mechanism of nucleosome assembly by histone chaperone NAP1.
2006,
Pubmed
Miyagi,
Dynamics of nucleosomes assessed with time-lapse high-speed atomic force microscopy.
2011,
Pubmed
Park,
A new fluorescence resonance energy transfer approach demonstrates that the histone variant H2AZ stabilizes the histone octamer within the nucleosome.
2004,
Pubmed
,
Xenbase
Russell,
Rapid compaction during RNA folding.
2002,
Pubmed
Simpson,
Chromatin reconstituted from tandemly repeated cloned DNA fragments and core histones: a model system for study of higher order structure.
1985,
Pubmed
Svergun,
Structural model of the 50 S subunit of Escherichia coli ribosomes from solution scattering. I. X-ray synchrotron radiation study.
1994,
Pubmed
Thåström,
Measurement of histone-DNA interaction free energy in nucleosomes.
2004,
Pubmed
Tims,
Dynamics of nucleosome invasion by DNA binding proteins.
2011,
Pubmed
Tomschik,
Nucleosome dynamics as studied by single-pair fluorescence resonance energy transfer: a reevaluation.
2009,
Pubmed
Yager,
Salt-induced release of DNA from nucleosome core particles.
1989,
Pubmed
Yang,
Biophysical analysis and small-angle X-ray scattering-derived structures of MeCP2-nucleosome complexes.
2011,
Pubmed
Zlatanova,
The nucleosome family: dynamic and growing.
2009,
Pubmed