Click here to close
Hello! We notice that you are using Internet Explorer, which is not supported by Xenbase and may cause the site to display incorrectly.
We suggest using a current version of Chrome,
FireFox, or Safari.
Acta Pharmacol Sin
2014 Jul 01;357:862-8. doi: 10.1038/aps.2014.30.
Show Gene links
Show Anatomy links
Metergoline inhibits the neuronal Nav1.2 voltage-dependent Na(+) channels expressed in Xenopus oocytes.
Lee JH
,
Liu J
,
Shin M
,
Hong M
,
Nah SY
,
Bae H
.
???displayArticle.abstract???
AIM: Metergoline is an ergot-derived psychoactive drug that acts as a ligand for serotonin and dopamine receptors. The aim of this study was to investigate the regulatory effects of metergoline on the neuronal Nav1.2 voltage-dependent Na(+) channels in vitro.
METHODS: Xenopus oocytes were injected with cRNAs encoding rat brainNav1.2 α and β1 subunits. Voltage-activated Na(+) currents were recorded using two-electrode voltage clamp technique. Drugs were applied though perfusion.
RESULTS: Both metergoline and lidocaine reversibly and concentration-dependently inhibited the peak of Na(+) currents with IC50 values of 3.6 ± 4.2 and 916.9 ± 98.8 μmol/L, respectively. Metergoline (3 μmol/L) caused a 6.8 ± 1.2 mV depolarizing shift of the steady-state activation curve of the Na(+) currents, and did not alter the inactivation curve. In contrast, lidocaine (3 μmol/L) caused a 12.7 ± 1.2 mV hyperpolarizing shift of the inactivation curve of the Na(+) currents without changing the steady-state activation curve. Both metergoline and lidocaine produced tonic and use-dependent inhibition on the peak of Na(+) currents.
CONCLUSION: Metergoline exerts potent inhibition on the activity of neuronal Nav1.2 channels, which may contribute to its actions on the central nervous system.
Figure 1. Effects of metergoline on neuronal Nav1.2 channel currents and the current-voltage relationship. (A–C) Oocytes were injected with wild-type Nav1.2 α- and β1-subunit cRNA and maintained for three to four days before Na+ currents were recorded in ND96 using the two-electrode voltage clamp technique. The traces are representative of six separate oocytes from three different frogs in the absence (Con) or presence of 10 μmol/L metergoline or washout. Metergoline showed substantial inhibition on the peak currents of Nav1.2. (D) The current-voltage relationship was obtained using voltage steps between −50 mV and +50 mV taken in 5-mV increments. Voltage steps were applied in the absence (•) or presence (○) of 10 μmol/L metergoline or after washout of metergoline (▾). The peaks of the evoked currents, normalized to the peak current evoked by the voltage step to −10 mV in the absence of metergoline, were used in the I–V plot. The data represent the mean±SEM (n=7–9/group).
Figure 2. Tonic inhibition of Nav1.2 channel currents by metergoline and lidocaine. (A) The peak inward current amplitudes (○) elicited by 200-ms depolarizations to −10 mV from a holding potential of −100 mV, evoked every 5 s. Data were obtained in eight separate oocytes from three different frogs. Metergoline (10 μmol/L) or lidocaine (300 μmol/L) were applied during the period indicated by the solid bars. (B) Averaged traces of Nav1.2 channel currents taken at the time “a”, “b”, and “c” in (A). (C and D) Concentration-response curves of metergoline or lidocaine-mediated inhibition of the peak currents of the Nav1.2 channel. Metergoline inhibited the large inward peak currents of the Nav1.2 channel in a concentration-dependent manner. The solid lines were fit using the Hill equation, as described in the Materials and methods section. The data represent the mean±SEM (n=12–15/group).
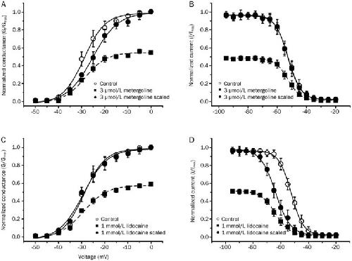
Figure 3. The effect of metergoline and lidocaine on the steady-state activation and inactivation of the Nav1.2 channel current. (A and C) Effect of metergoline or lidocaine on the steady-state activation and inactivation of Nav1.2 channel current was examined as described in a previous report15. In brief, the voltage-dependence of Na+ channel activation was calculated by measuring the peak current at test potentials ranging from −50 mV to +10 mV evoked in 5 mV increments. The voltage-dependence of conductance was compared in the absence (○) or presence (▪) of 10 μmol/L metergoline or 1 mmol/L lidocaine. The conductance curve in the presence of metergoline or lidocaine is scaled to the maximum conductance (•). Inactivation was measured using a two-pulse protocol in which oocytes were held at −100 mV and depolarized to potentials from −90 mV to −20 mV for 500 ms, followed by a test-pulse to −10 mV for 10 ms to determine channel availability. Inactivation curves are shown in the absence (○) or presence (▪) of 10 μmol/L metergoline or 1 mmol/L lidocaine. Inactivation curves in the presence of metergoline or lidocaine are scaled to the maximum (•). The data represent the mean±SEM (n= 8–10/group). The curves represent a two-state Boltzmann function as described in the Materials and methods section.
Figure 4. Use-dependent blockade of the Nav1.2 channel current by metergoline or lidocaine. (A) and (B), Sixty 20-ms depolarizing pulses to −10 mV were applied from a holding potential of −100 mV at 10 Hz in the absence or presence of metergoline [1 μmol/L (○) and 3 μmol/L (▾) in panel A] or lidocaine [300 μmol/L (○) and 1000 μmol/L (▾) in panel B] in oocytes expressing neuronal Nav1.2 channels. The peak currents were normalized to the current during the first pulse in the presence of agents to compare control current. Treatment with metergoline and lidocaine induced use-dependent inhibition of the Nav1.2 channel. Data represent the mean±SEM (n=5–7/group).
Alt,
A role for AMPA receptors in mood disorders.
2006, Pubmed
Alt,
A role for AMPA receptors in mood disorders.
2006,
Pubmed
Bean,
Lidocaine block of cardiac sodium channels.
1983,
Pubmed
Ben-Zion,
Enhancement of CO2-induced anxiety in healthy volunteers with the serotonin antagonist metergoline.
1999,
Pubmed
Beretta,
1-Methyl-8-beta-carbobenzyloxy-aminomethyl-10-alpha-ergoline, a potent and long-lasting 5-hydroxytryptamine antagonist.
1965,
Pubmed
Caballero,
Metergoline as an inhibitor of prolactin release.
1987,
Pubmed
Catterall,
Molecular properties of voltage-sensitive sodium channels.
1986,
Pubmed
Cho,
Controlling side-chain density of electron donating polymers for improving their packing structure and photovoltaic performance.
2011,
Pubmed
Dascal,
The use of Xenopus oocytes for the study of ion channels.
1987,
Pubmed
,
Xenbase
Dick,
Sodium channel blockade may contribute to the analgesic efficacy of antidepressants.
2007,
Pubmed
Eisenach,
Intrathecal amitriptyline acts as an N-methyl-D-aspartate receptor antagonist in the presence of inflammatory hyperalgesia in rats.
1995,
Pubmed
Galeotti,
Involvement of potassium channels in amitriptyline and clomipramine analgesia.
2001,
Pubmed
Ghelardini,
Antinociception induced by amitriptyline and imipramine is mediated by alpha2A-adrenoceptors.
2000,
Pubmed
Graeff,
Effect of metergoline on human anxiety.
1985,
Pubmed
Gray,
The involvement of the opioidergic system in the antinociceptive mechanism of action of antidepressant compounds.
1998,
Pubmed
Halford,
Metergoline antagonizes fluoxetine-induced suppression of food intake but not changes in the behavioural satiety sequence.
1996,
Pubmed
HODGKIN,
A quantitative description of membrane current and its application to conduction and excitation in nerve.
1952,
Pubmed
Hooker,
Evaluation of [(11)C]metergoline as a PET radiotracer for 5HTR in nonhuman primates.
2010,
Pubmed
Kennett,
Evidence that mCPP may have behavioural effects mediated by central 5-HT1C receptors.
1988,
Pubmed
Lee,
Characteristics of ginsenoside Rg3-mediated brain Na+ current inhibition.
2005,
Pubmed
,
Xenbase
Nöthling,
Abortifacient and endocrine effects of metergoline in beagle bitches during the second half of gestation.
2003,
Pubmed
Roca,
Effects of metergoline on symptoms in women with premenstrual dysphoric disorder.
2002,
Pubmed
Sawynok,
Peripheral antinociceptive actions of desipramine and fluoxetine in an inflammatory and neuropathic pain test in the rat.
1999,
Pubmed
Turner,
Double-blind, placebo-controlled study of single-dose metergoline in depressed patients with seasonal affective disorder.
2002,
Pubmed
Watson,
Antidepressant drugs as adjuvant analgesics.
1994,
Pubmed
Wood,
Voltage-gated sodium channels.
2001,
Pubmed
Zarrindast,
GABA(B) receptor mechanism and imipramine-induced antinociception in ligated and non-ligated mice.
2000,
Pubmed